理解神经网络的激活函数

2018 年 1 月 8 日 论智 Avinash Sharma V
作者:Avinash Sharma V
编译:weakish

最近我有一个同事老是问我“为什么我们用这么多激活函数?”,“为什么这个函数效果比那个好?”,“你怎么知道要用哪个函数?”,“这是很难的数学?”等等。所以我想,我何不给对神经网络只有基本了解的人写篇文章,介绍下激活函数和相应的数学呢?

注意:本文假设你对人工“神经元”有基本的了解。

激活函数

简单来说,人工神经元计算输入的“加权和”,加上偏置,接着决定是否需要“激活”(好吧,其实是激活函数决定是否激活,但是现在让我们先这样理解吧)。

考虑一个神经元。

上式中,Y的值可能是负无穷大到正无穷大之间的任意值。神经元并不知道值的界限。所以我们如何决定神经元是否需要激活呢?

为此,我们决定增加“激活函数”。

阶跃函数


我们首先想到的是一个基于阈值的激活函数。如果Y的值大于一个特定值,就定义为“激活”。如果小于阈值,则不激活。

激活函数 A = “激活” if Y > 阈值 else not

或者,A = 1 if Y > 阈值, 否则 0

好吧,我们刚刚定义的是一个阶跃函数(step function)

当值大于0(阈值)时,输出为1(激活),否则输出为0(不激活)。

很好。很清楚,这可以作为神经元的激活函数。然而,这个方法有一些特定的缺陷。

假设你正创建一个二元分类器,输出“是”或“否”(激活或未激活)。一个阶跃函数可以做到这一点。实际上这正是阶跃函数做的事,输出1或0。然后,想想如果你想要连接更多这样的神经元来引入更多的分类,比如类一、类二、类三,等等。当不止一个神经元“激活”时会发生什么?所有的神经元将输出1(基于阶跃函数)。然后你如何决定最终结果属于哪个分类呢?嗯,很难,很复杂。

你可能想要用当且仅当一个神经元输出为1来表示分类结果。啊!这更难训练了。更好的选择是,激活函数不是二元的,可以表达“50%激活”、“20%激活”之类的概念。这样,当不止一个神经元激活的时候,你可以找到“激活程度最高”的神经元(其实比max更优的选择是softmax,不过目前我们就用max吧)。

当然,如果不止1个神经元表示“100%激活”了,问题仍然存在。不过,由于输出存在中间值,因此学习过程将更平滑、更容易(较少波动),不止1个神经元100%激活的概率要比使用阶跃函数训练小很多(当然,这也取决于训练的数据)。

好,所以我们希望输出中间(模拟)激活值,而不是仅仅输出“激活”或“不激活”(二元值)。

我们第一个想到的是线性函数。

线性函数

A = cx

以上是一个直线函数,激活与函数输入(神经元的加权和)成比例。

所以这将给出一定范围内的激活,而不是二元激活。我们当然可以连接若干神经元,如果不止一个神经元激活了,我们可以基于最大值(max或softmax)做决定。所以这很好。那么,这有什么问题呢?

如果你熟悉用于训练的梯度下降,你会注意到这个函数的导数是一个常数。

A = cx对x的导数是c。这意味着梯度与x无关。这将是一个常数梯度。如果预测出现了错误,反向传播进行的改动将是常数,而不依赖于输入delta(x)!!!

这可不怎么好!(并非总是如此,但请容许我这么说。)此外,还有一个问题。想想连接起来的层。每个层由线性函数激活。这个激活接着作为下一层的输入,下一层同样基于线性函数激活,重复此过程,一直到最后一层。

不管我们有多少层,如果这些层的激活函数都是线性的,最后一层的最终激活函数将是第一层的输入的线性函数!停顿一会,想想这个。

这意味着,这两层(或N层)可以被一个单独的层替换。啊!我们刚刚失去了堆叠网络层的能力。不管我们堆叠多少层,整个网络始终等价于带线性激活的单层神经网络(线性函数的线性组合仍然是一个线性函数)。

让我们继续吧。

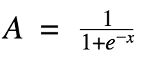
sigmoid函数

好吧,这曲线看上去很平滑,有点像阶跃函数。那这有什么好处呢?花点时间想一想。

首先,它是非线性的。这意味着该函数的组合也是非线性的。太棒了!我们可以堆叠网络层了。至于非线性激活?是的,它是非线性激活!和阶跃函数不同,它将给出模拟激活。同时,它也具备平滑的梯度。

不知道你注意到了没有,当X位于-2和2之间时,Y的值非常陡峭。这意味着,此区间内X的任意微小变动都将导致Y显著变动。这意味着,该函数趋向于将Y的值导向曲线的两端。

看起来这个性质对分类器而言很有用?没错!确实是这样。它趋向于将激活导向曲线的两边。这在预测上形成了清晰的差别。

另外一个优势是,相对于线性函数(-inf, inf)的值域,该函数的值域为(0, 1)。因此我们的激活函数是有界的。

sigmoid函数是现在使用这广泛的函数之一。那么,它有什么问题呢?

不知道你注意到了没有,越是接近sigmoid的两端,相对X的改变,Y就越趋向于作出非常小的反应。这意味着在该区域的梯度会很小。也就是“衰减的梯度”问题 。嗯,所以当激活函数接近曲线两端的“邻近地平线”部分时发生了什么?

梯度会很小,或者消失了(由于值极小,无法做出显著的改变了)。网络拒绝进一步学习,或者学习速度剧烈地变慢了(取决于具体案例,直到梯度/计算碰到了浮点值的限制)。不过,我们有一些变通措施,因此在分类问题中,sigmoid仍旧非常流行。

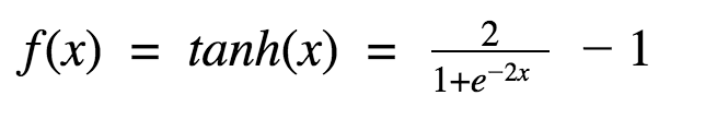
Tanh函数

另一个常用的激活函数是tanh函数。

嗯,这看起来和sigmoid很像嘛。实际上,这是一个经过拉升的sigmoid函数!

好,tanh的性质和我们之前讨论的sigmoid类似。它是非线性的,因此我们可以堆叠网络层。它是有界的(-1, 1),所以不用担心激活膨胀。值得一提的是,tanh的梯度比sigmoid更激烈(导数更陡峭)。因此,选择sigmoid还是tanh将取决于你对梯度强度的需求。和sigmoid类似,tanh也存在梯度衰减问题。

tanh也是一个非常流行和广泛使用的激活函数。

ReLu

接着,是ReLu函数,

  
    
    
    
  1. A(x) = max(0, x)

ReLu函数如上所示。当x是正值时,它输出x,否则输出0。

乍看起来这和线性函数有一样的问题,因为在正值处它是线性的。首先,RuLu是非线性的。ReLu的组合也是非线性的!(实际上它是一个很好的逼近子。ReLu的组合可以逼近任何函数。)很好,这意味着我们可以堆叠网络层。不过,它并不是有界的。ReLu的值域是[0, inf)。这意味着它将膨胀激活函数。

我想指出的另一点是激活的稀疏性。想象一个具有很多神经元的大型神经网络。使用sigmoid或tanh会导致几乎所有神经元以模拟的方式激活(没忘吧?)这意味着需要处理几乎所有的激活以描述网络的输出。换句话说,激活是密集的。这样成本很高。理想情况下,我们希望网络中的一些神经元不激活,从而使激活变得稀疏和高效。

ReLu在这方面很有用。想象一个具备随机初始权重(或归一化的权重)的网络,基于ReLu的特性(x的负值将输出0),基本上50%的网络将生成0。这意味着更少的神经元将被激活(稀疏激活),网络也更轻量。哇,棒!ReLu看起来真不错!是的,它确实不错,但没什么东西不存在缺陷……甚至是RuLu。

ReLu的水平线部分(X的负值)意味着梯度会趋向于0。当激活位于ReLu的水平区域时,梯度会是0,导致权重无法随着梯度而调整。这意味着,陷入此状态的神经元将停止对误差/输入作出反应(很简单,因为梯度是0,没有什么改变)。这被称为死亡ReLu问题。这一问题会导致一些神经元直接死亡、失去响应,导致网络的很大一部分进入被动状态。有一些缓和这一问题的ReLu变体,将水平线转为非水平部分,例如,当x<0时y = 0.01x,使图像从水平线变为略微倾斜的直线。这就是弱修正ReLu(leaky ReLu)。还有其他一些变体。主要的想法是让梯度不为零,这样网络可以逐渐从训练中恢复。

相比tanh和sigmoid,ReLu在算力上更经济,因为它使用的是比较简单的数学运算。设计深度神经网络的时候,这是需要考虑的一个重要因素。

好,该选哪个呢?

现在来考虑该用哪个激活函数的问题。我们是否应该总是使用ReLu呢?还是sigmoid或tanh?好,是也不是。当我们知道尝试逼近的函数具有某些特定性质时,我们可以选择能够更快逼近函数的激活函数,从而加快训练过程。例如,sigmoid对分类器而言很有效(看看sigmoid的图像,是不是展示了一个理想的分类器的性质?),因为基于sigmoid的组合逼近的分类函数要比诸如ReLu之类的函数更容易。当然,你也可以使用自己定制的函数!如果你并不清楚试图学习的函数的本质,那我会建议你从ReLu开始,然后再试其他。在大多数情况下,ReLu作为一个通用的逼近子效果很不错。

在本文中,我尝试描述了一些常用的激活函数。还有其他的激活函数,但基本的思想是一样的。寻找更好的激活函数的研究仍在进行。希望你理解了激活函数背后的思想,为什么要使用激活函数,以及如何选用激活函数。

原文地址:https://medium.com/the-theory-of-everything/understanding-activation-functions-in-neural-networks-9491262884e0

登录查看更多
7

相关内容

在人工神经网络中,给定一个输入或一组输入,节点的激活函数定义该节点的输出。一个标准集成电路可以看作是一个由激活函数组成的数字网络,根据输入的不同,激活函数可以是开(1)或关(0)。这类似于神经网络中的线性感知器的行为。然而,只有非线性激活函数允许这样的网络只使用少量的节点来计算重要问题,并且这样的激活函数被称为非线性。
【新书册】贝叶斯神经网络,41页pdf
专知会员服务
180+阅读 · 2020年6月3日
一份循环神经网络RNNs简明教程,37页ppt
专知会员服务
173+阅读 · 2020年5月6日
神经网络的拓扑结构,TOPOLOGY OF DEEP NEURAL NETWORKS
专知会员服务
35+阅读 · 2020年4月15日
麻省理工学院MIT-ICLR2020《神经网络能推断出什么?》
专知会员服务
51+阅读 · 2020年2月19日
一文搞懂反向传播
机器学习与推荐算法
18+阅读 · 2020年3月12日
激活函数还是有一点意思的!
计算机视觉战队
12+阅读 · 2019年6月28日
干货 | 深入理解深度学习中的激活函数
计算机视觉life
16+阅读 · 2019年1月29日
深度学习必须理解的25个概念
机器学习算法与Python学习
5+阅读 · 2018年6月7日
激活函数初学者指南
论智
6+阅读 · 2018年5月15日
基于Numpy实现神经网络:反向传播
论智
5+阅读 · 2018年3月21日
入门 | 一文概览深度学习中的激活函数
深度学习世界
4+阅读 · 2017年11月3日
干货|浅谈神经网络中激活函数的设计
机器学习研究会
5+阅读 · 2017年10月28日
干货 | 深度学习之损失函数与激活函数的选择
机器学习算法与Python学习
15+阅读 · 2017年9月18日
Arxiv
5+阅读 · 2018年10月23日
Arxiv
11+阅读 · 2018年10月17日
Next Item Recommendation with Self-Attention
Arxiv
5+阅读 · 2018年8月25日
Arxiv
22+阅读 · 2018年2月14日
Arxiv
5+阅读 · 2018年1月30日
Arxiv
5+阅读 · 2018年1月16日
Arxiv
7+阅读 · 2018年1月10日
VIP会员
相关资讯
一文搞懂反向传播
机器学习与推荐算法
18+阅读 · 2020年3月12日
激活函数还是有一点意思的!
计算机视觉战队
12+阅读 · 2019年6月28日
干货 | 深入理解深度学习中的激活函数
计算机视觉life
16+阅读 · 2019年1月29日
深度学习必须理解的25个概念
机器学习算法与Python学习
5+阅读 · 2018年6月7日
激活函数初学者指南
论智
6+阅读 · 2018年5月15日
基于Numpy实现神经网络:反向传播
论智
5+阅读 · 2018年3月21日
入门 | 一文概览深度学习中的激活函数
深度学习世界
4+阅读 · 2017年11月3日
干货|浅谈神经网络中激活函数的设计
机器学习研究会
5+阅读 · 2017年10月28日
干货 | 深度学习之损失函数与激活函数的选择
机器学习算法与Python学习
15+阅读 · 2017年9月18日
相关论文
Top
微信扫码咨询专知VIP会员