英伟达入局AIGC!Magic3D新模型力压谷歌DreamFusion

2022 年 11 月 22 日 新智元



  新智元报道  

编辑:David 昕朋
【新智元导读】AIGC的赛道上,又多了一个实力派!英伟达发布Magic3D生成模型,对标谷歌DreamFusion,直言解决了对家的两大缺点。

从DALL·E到Stable Diffusion,最近,基于AIGC的技术和应用成为业界和学界的又一宠儿。

Stable Diffusion背后的公司Stability AI甚至凭借这个模型获得多家投资机构青睐,一跃成为独角兽。

如果说资本的嗅觉是最敏锐的,那么科技巨头先后入场也就不足为奇了,这块细分领域迅速地「卷」起来了!

大厂接连入局AIGC,怎能少了英伟达


9月,谷歌发布了基于文本提示生成3D模型的DreamFusion,声称不需要 3D 训练数据,也不需要修改图像扩散模型,证明了预训练图像扩散模型作为先验模型的有效性。

10月,Meta推出新模型Make-A-Video,可以从文本一键生成视频,初步实现了「动动嘴,做视频」。

单说文字直接生成视频这个方面,Make-A-Video 甚至战胜了不少专业的动画设计专业的学生。

上周,英伟达也宣布入场!

该公司研究人员发布了Magic3D,这是一个可以从文字描述中生成3D模型的AI模型。

在输入诸如「一只坐在睡莲上的蓝色毒镖蛙」这样的提示后,Magic3D在大约40分钟内生成了一个3D网格模型,并配有彩色纹理。

在论文中,英伟达将Magic3D定位为对DreamFusion的回应。

论文链接:https://arxiv.org/pdf/2211.10440.pdf

与DreamFusion使用文本到图像模型生成2D图像,然后优化为体积NeRF(神经辐射场)数据的方式类似,Magic3D同样是将低分辨率生成的粗略模型优化为高分辨率的精细模型,由此产生的Magic3D方法,可以比DreamFusion更快地生成3D目标。

从上面Magic3D的架构示意图可以看出,Magic3D以「由粗到细」的方式从输入的文本提示中生成高分辨率的三维内容。

整个生成过程分为两个阶段。

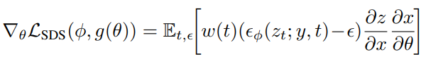
第一阶段,研究团队使用eDiff-I作为低分辨率文本-图像扩散先验。通过优化Instant NGP获得初始3D表示。

之后通过反复抽样和渲染低分辨率图像,不断计算Score Distillation Sampling的损失来训练Instant NGP。

优化后使用DMTet,从Instant NGP中提取一个粗略模型,并使用哈希网格和稀疏加速结构对其进行加速。

该扩散先验用于计算场景的梯度,根据64×64的低分辨率图像在渲染图像上定义的损失进行建模。

第二阶段,研究团队使用高分辨率潜在扩散模型(LDM),不断抽样和渲染第一阶段的粗略模型。通过交互渲染器进行优化,反向生成512×512的高分辨率渲染图像。

Magic3D还可以对3D网格进行基于提示的实时编辑。想改变生成模型,只要改改文字提示,就能立即生成新的模型。

另外,Magic3D可以在几代生成图像中均保留相同的主题(一般称为「一致性」),不会出现越画越离谱的情况,并将2D图像(如立体派绘画)的风格应用于3D模型。

通过该模型,不仅可以获得高分辨率的3D模型,还保证了降低了运算强度。

Magic3D模型中,运算时间主要与高分辨率渲染图像和LDM编码器的梯度相关,保证了运算强度的可控。

在生成和训练速度方面,在使用8块英伟达 A100 GPU情况下,两阶段运行时间加起来共计40分钟。

不过,英伟达此次没有随论文发布任何Magic3D的代码。

谷歌DreamFusion要加油了


英伟达团队指出,DreamFusion存在两大缺陷。

首先,通过该模型,无法获得3D模型的高分辨率几何体或纹理,因为扩散模型仅对64x64的图像生效。

其次,这种方法的扩展性表现并不好。DreamFusion的场景渲染模型使基于Mip-NeRF 360的大型MLP。该模型在体渲染时需要海量样本,这在计算上费时费力。

因此,DreamFusion生成高分辨率的图像需要更大的计算成本,去评估每个样本的神经网络。

英伟达团队使用Instant NGP的哈希特征编码,大大降低高分辨率图像特征表示的计算成本。

使用与DreamFusion相同的文本提示。对于每个3D模型,团队从两个视图渲染它,每个视图都有无纹理渲染,并删除背景以专注于实际的 3D 形状。

可以发现,Magic3D生成的3D模型在整体和纹理上都更胜一筹。

作为对比,我们向用户并排展示了两个3D生成模型的视频,这两个视频分别由谷歌的DreamFusion和Magic3D使用相同的文本提示从标准视图中生成的,由用户选择更逼真的那个。

在总共1191个反馈意见中,有61.7%的用户认为Magic3D生成的模型质量比DreamFusion更高。

研究人员表示,随着模型的完善,所产生的技术可以加速游戏和VR应用的开发,可能最终会在电影和电视的特效制作中实现落地应用。

「我们希望通过Magic3D,可以使3D合成技术进一步普及,并激发每个人在3D内容上的创造力。」

经过近十年的技术发展,人们对AIGC的探索已经进入了商业化、规模化的阶段。

随着越来越多的科技巨头加入这个赛道,创造出令人惊叹的AI生成作品,有理由相信,AIGC的大航海时代已经来临。

参考资料:
https://arstechnica.com/information-technology/2022/11/nvidias-magic3d-creates-3d-models-from-written-descriptions-thanks-to-ai/
https://deepimagination.cc/Magic3D/
https://arxiv.org/pdf/2211.10440.pdf



登录查看更多
1

相关内容

NVIDIA(全称NVIDIA Corporation,NASDAQ:NVDA,发音:IPA:/ɛnvɪdɪə/,台湾官方中文名为輝達),创立于1993年4月,是一家以设计显示芯片和芯片组为主的半导体公司。NVIDIA亦会设计游戏机核心,例如Xbox和PlayStation 3。NVIDIA最出名的产品线是为个人与游戏玩家所设计的GeForce系列,为专业工作站而设计的Quadro系列,以及为服务器和高效运算而设计的Tesla系列。 NVIDIA的总部设在美国加利福尼亚州的圣克拉拉。是一家无晶圆(Fabless)IC半导体设计公司。"NVIDIA"的读音与英文"video"相似,亦与西班牙文evidia(英文"envy")相似。现任总裁为黄仁勋。
去噪扩散概率模型,46页ppt
专知会员服务
63+阅读 · 2023年1月4日
【AAAI2023】用于复杂场景图像合成的特征金字塔扩散模型
【NeurIPS 2022】扩散模型的深度平衡方法
专知会员服务
40+阅读 · 2022年11月5日
IBM | 增强配体与靶标契合的小分子图生成模型
专知会员服务
7+阅读 · 2022年7月5日
【SIGGRAPH 2022】域增强的任意图像风格对比迁移方法
专知会员服务
26+阅读 · 2022年4月20日
【CVPR2022】用于全身图像生成的 InsetGAN
专知会员服务
26+阅读 · 2022年3月17日
深度生成模型综述
专知会员服务
52+阅读 · 2022年1月2日
专知会员服务
184+阅读 · 2020年11月23日
国家自然科学基金
4+阅读 · 2014年12月31日
国家自然科学基金
0+阅读 · 2013年12月31日
国家自然科学基金
0+阅读 · 2013年12月31日
国家自然科学基金
0+阅读 · 2013年12月31日
国家自然科学基金
0+阅读 · 2012年12月31日
国家自然科学基金
0+阅读 · 2012年12月31日
国家自然科学基金
0+阅读 · 2012年12月31日
国家自然科学基金
0+阅读 · 2011年12月31日
Arxiv
0+阅读 · 2023年1月26日
Arxiv
0+阅读 · 2023年1月25日
Arxiv
0+阅读 · 2023年1月25日
VIP会员
相关VIP内容
去噪扩散概率模型,46页ppt
专知会员服务
63+阅读 · 2023年1月4日
【AAAI2023】用于复杂场景图像合成的特征金字塔扩散模型
【NeurIPS 2022】扩散模型的深度平衡方法
专知会员服务
40+阅读 · 2022年11月5日
IBM | 增强配体与靶标契合的小分子图生成模型
专知会员服务
7+阅读 · 2022年7月5日
【SIGGRAPH 2022】域增强的任意图像风格对比迁移方法
专知会员服务
26+阅读 · 2022年4月20日
【CVPR2022】用于全身图像生成的 InsetGAN
专知会员服务
26+阅读 · 2022年3月17日
深度生成模型综述
专知会员服务
52+阅读 · 2022年1月2日
专知会员服务
184+阅读 · 2020年11月23日
相关基金
国家自然科学基金
4+阅读 · 2014年12月31日
国家自然科学基金
0+阅读 · 2013年12月31日
国家自然科学基金
0+阅读 · 2013年12月31日
国家自然科学基金
0+阅读 · 2013年12月31日
国家自然科学基金
0+阅读 · 2012年12月31日
国家自然科学基金
0+阅读 · 2012年12月31日
国家自然科学基金
0+阅读 · 2012年12月31日
国家自然科学基金
0+阅读 · 2011年12月31日
Top
微信扫码咨询专知VIP会员