干货|吴恩达Coursera课程教你学习神经网络!

2017 年 10 月 25 日 机器学习研究会

吴恩达Coursera机器学习课程系列笔记讲解

课程笔记|吴恩达Coursera机器学习 Week1 笔记-机器学习基础

干货|机器学习零基础?不要怕,吴恩达机器学习课程笔记2-多元线性回归

干货|机器学习零基础?不要怕,吴恩达课程笔记第三周!逻辑回归与正则


Neural Networks: Representation



1
 Motivation


之前讲的Linear regression和Logistric regression都是线性分类器(linear classification),因为它们都只能用一条线来分类。

然而很多情况下,我们的分界线不见得是一条简单的曲线,可能就是一条弯来弯去的曲线,所以我们需要一个非线性分类器来划分这个数据集。

我们可以使用如下的式子去假设这个非线性模型:但是如果特征很多很多,比如说一幅图像,我们用每一个像素去表示一个特征的话,这个计算量将是无比巨大的,所以更普及的一个方法是使用神经网络(Neural Networks)。

神经网络,顾名思义,就是模仿了人类大脑的构造了,一层一层的进行计算,最后得出一个结果。

每一层对上一层的数据进行一个抽象得出一系列的决策,然后下一层在对这一层得出的决策再进行一个抽象的到更高层次的决策,就这样一层一层下去,直到最后一层的出一个终极决策,输出结果。

我们的大脑中使用“神经元(neuron)”去感知,去连接其他的神经。

类比一下,在神经网络中也是如此,我们在每一层中,弄几个神经元来感知(=计算),然后讲决策传个下一层的神经元……以此类推直至最后一个输出层的神经元。


2
 Model Representation



首先看一下一个神经元是怎么工作的:

然后再来看由多个这样的神经元组成的简单的三层神经网络是怎么样工作的:

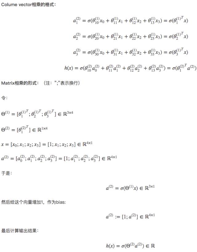
下面,我们把这一系列的计算公式展开来,然后再合并成colume vector相乘的格式,最后再合并成matrix相乘的形式。sigmoid函数用 σ(z)来表示。

以上便是一个三层的神经网络的工作流程,再复杂的也是这样一层一层计算的。


转自:机器学习算法与自然语言处理


完整内容请点击“阅读原文”

登录查看更多
2

相关内容

Coursera 是由斯坦福大学的计算机科学教授吴恩达和达芙妮·科勒(Daphne Koller)联合创建的一个营利性的教育科技公司。
深度学习自然语言处理概述,216页ppt,Jindřich Helcl
专知会员服务
216+阅读 · 2020年4月26日
专知会员服务
119+阅读 · 2019年12月24日
【机器学习课程】Google机器学习速成课程
专知会员服务
170+阅读 · 2019年12月2日
复旦大学邱锡鹏老师《神经网络与深度学习》书册最新版
神经网络与深度学习,复旦大学邱锡鹏老师
专知会员服务
122+阅读 · 2019年9月24日
【吴恩达deeplearning.ai笔记二】通俗讲解神经网络上
机器学习研究会
4+阅读 · 2018年3月10日
吴恩达机器学习课程
平均机器
9+阅读 · 2018年2月5日
【干货】卷积神经网络CNN学习笔记
机器学习研究会
15+阅读 · 2017年12月17日
课程笔记|吴恩达Coursera机器学习 Week1 笔记-机器学习基础
机器学习研究会
4+阅读 · 2017年10月18日
课程 | Andrew Ng 深度学习课程笔记3
黑龙江大学自然语言处理实验室
3+阅读 · 2017年9月15日
Efficiently Embedding Dynamic Knowledge Graphs
Arxiv
14+阅读 · 2019年10月15日
Question Generation by Transformers
Arxiv
5+阅读 · 2019年9月14日
Arxiv
20+阅读 · 2019年9月7日
Conditional BERT Contextual Augmentation
Arxiv
8+阅读 · 2018年12月17日
Relational recurrent neural networks
Arxiv
8+阅读 · 2018年6月28日
Arxiv
6+阅读 · 2018年1月29日
Arxiv
25+阅读 · 2018年1月24日
VIP会员
相关资讯
【吴恩达deeplearning.ai笔记二】通俗讲解神经网络上
机器学习研究会
4+阅读 · 2018年3月10日
吴恩达机器学习课程
平均机器
9+阅读 · 2018年2月5日
【干货】卷积神经网络CNN学习笔记
机器学习研究会
15+阅读 · 2017年12月17日
课程笔记|吴恩达Coursera机器学习 Week1 笔记-机器学习基础
机器学习研究会
4+阅读 · 2017年10月18日
课程 | Andrew Ng 深度学习课程笔记3
黑龙江大学自然语言处理实验室
3+阅读 · 2017年9月15日
相关论文
Efficiently Embedding Dynamic Knowledge Graphs
Arxiv
14+阅读 · 2019年10月15日
Question Generation by Transformers
Arxiv
5+阅读 · 2019年9月14日
Arxiv
20+阅读 · 2019年9月7日
Conditional BERT Contextual Augmentation
Arxiv
8+阅读 · 2018年12月17日
Relational recurrent neural networks
Arxiv
8+阅读 · 2018年6月28日
Arxiv
6+阅读 · 2018年1月29日
Arxiv
25+阅读 · 2018年1月24日
Top
微信扫码咨询专知VIP会员