ICLR 2022 | 新注意力!用于ViT的QuadTree Attention

2022 年 3 月 2 日 CVer

点击下方卡片,关注“CVer”公众号

AI/CV重磅干货,第一时间送达

转载自:集智书童
Quadtree Attention for Vision Transformers
论文:https://openreview.net/forum?id=fR-EnKWL_Zb
代码:https://github.com/Tangshitao/QuadtreeAttention

Transformers在许多视觉任务中都很成功,因为它们具有捕捉长期依赖性的能力。然而,它们的二次计算复杂度阻碍了将它们应用于需要密集预测的视觉任务之中,如目标检测、特征匹配、立体视觉等。

本文引入QuadTree Attention,将计算复杂度从二次降低到线性。QuadTree Transformer构建token pyramid,并以一种从粗到细的方式计算Attention。在每个level上,选择注意力得分最高的top-K个patches,这样在下一level上,只在这top-K个patches对应的相关区域内进行注意力评估。

作者证明了QuadTree Attention在各种视觉任务中达到了最先进的性能,例如ScanNet的特征匹配性能提高了2.7%,FLOPs减少了约50%,ImageNet分类的Top-1准确率提高了0.6-1.4%,COCO目标检测FLOPs降低了30%,精度提高了1.3-1.6%。

1简介

Transformer可以通过注意力模块捕获长期依赖关系,并在自然语言处理任务中显示出巨大的成功。近年来,Transformer也被用于计算机视觉任务,用于图像分类、目标检测、语义分割、特征匹配等。通常情况下,图像被分成几个小的patches,这些小patches被Flatten并作为单词符号输入Transformer,以评估注意力得分。而在Token数量上,即图像patch的数量上,Transformer的计算复杂度是二次的。因此,将Transformer应用于计算机视觉应简化所涉及的计算。

为了在视觉任务中利用标准Transformer,许多工作选择在低分辨率或稀疏Token上应用它。ViT使用16×16像素的粗图像块来限制Token的数量。DPT将ViT的低分辨率结果提升到高分辨率特征图,以实现密集任务的预测。SuperGlue将Transformer应用于稀疏图像关键点。Germain和Li等人专注于通信和立体匹配应用,也将Transformer应用于低分辨率特征图。

然而,正如在若干工作中所展示的,高分辨率Transformer的应用有利于各种任务。因此,设计高效的Transformer以降低计算复杂度已成为许多研究的重点。线性近似Transformer使用线性方法近似标准的注意力计算。然而,实证研究表明,线性Transformer在视觉任务方面较差。为了降低计算成本,PVT使用下采样的key和value,这对捕获像素级细节是有害的。相比之下,Swin Transformer将局部窗口中的注意力限制在一个注意力块中,这可能会损害长期依赖关系(这是Transformer最重要的优点)。

与之前的所有工作不同,本文设计了一个高效的视觉Transformer,它可以捕捉精细的图像细节和长期依赖关系。在观察到大多数图像区域是不相关的启发下,构建了Token pyramids,并以从粗到细的方式计算注意力。这样,当对应的粗粒度区域没有前景时,可以快速跳过细粒度的不相关区域。

图1

如图1所示,在level-1,用B中的所有patch计算A中的蓝色patch的注意力,并选择top-K个patch(这里K=2),这也是用蓝色高亮显示的;在level-2中,对于A图中4个Patches内的sub-patch(即level-1的蓝色patch对应的sub-patch),这里只使用level-1 B图中top-K个patch对应的sub-patch来计算它们的注意力。所有其他的阴影sub-patch被跳过以减少计算。这里用黄色和绿色标出A图中的2个sub-patch。B图中对应的top-K个patch也用同样的颜色高亮显示。这个过程在level-3进行迭代,在level-3中,只显示与level-1的绿色sub-patch相对应的sub-sub-patch

通过这种方式,该方法既能获得精细的规模注意力,又能保持长期的联系。最重要的是,在整个过程中只有稀疏的注意力被评估。因此,本文方法具有较低的内存和计算成本。

在实验中,证明了QuadTree Transformer在需要cross attention的任务(如特征匹配和立体视觉)和只使用Self-Attention的任务(如图像分类和目标检测)中的有效性。

与相关的Efficient Transformer相比,QuadTree Transformer实现了最先进的性能,显著减少了计算量。

在特征匹配方面,在ScanNet中实现了60.3 AUC@20,比线性Transformer高2.7,但FLOPs类似。

在立体匹配中,实现了与标准Transformer相似的端点误差,但减少了约50%的FLOPs和40%的内存。

在图像分类方面,在ImageNet中获得了82.6%的top-1准确率,比ResNet高6.2%,比Swin Transformer-T高1.3%,且参数更少,FLOPs数更少。

在目标检测方面,QuadTree Attention+RetinaNet在COCO中获得了46.2 AP,比PVTv2 Backbone高1.6,但FLOPs降低了约35%。

2相关工作

2.1 Efficient Transformers

变形金刚在自然语言处理和计算机视觉方面都取得了巨大的成功。由于二次型计算的复杂性,在处理长序列令牌时无法进行充分注意的计算。因此,许多工作都在设计高效的变压器,以降低计算复杂度。Efficient Transformers可分为3类:

  1. Linear approximate attention:通过对softmax注意力进行线性化来近似全注意矩阵,通过先计算key和value的乘积来加速计算;

  2. Point-Based Linear Transformers:使用学习过的固定大小的诱导点对输入符号进行关注,从而将计算量降低到线性复杂度。然而,在不同的工作条件下,这些线性Transformer的性能都不如标准Transformer。

  3. Sparse attention:包括Longformer、Big Bird等,每个query token都是针对key和value token的一部分,而不是整个序列。

与这些研究不同的是,QuadTree Attention可以根据粗糙水平上的注意力分数快速跳过无关token。因此,在保持较高效率的同时,实现了较少的信息损失。

2.2 Vision Transformers

Transformers在许多视觉任务中都表现出了非凡的表现。ViT将Transformers应用于图像识别,证明了Transformers在大规模图像分类方面的优越性。然而,由于Softmax注意力的计算复杂度,在密集的预测任务中,如目标检测、语义分割等,很难应用Transformers。

为了解决这个问题,Swin Transformer限制了局部窗口中的注意力计算。Focal Transformers使用2层窗口来提高捕获远程连接的能力,以实现局部注意力方法。金字塔视觉Transformers(PVT)通过下采样key和value token来减少全局注意力方法的计算量。尽管这些方法在各种任务中都显示出了改进,但它们在捕获长期依赖或精细水平注意力方面都存在缺陷。与这些方法不同的是,QuadTree Attention通过在单个块中计算出从全图像级别到最优token级别的注意力,同时捕获局部和全局注意力。此外,K-NN Transformers从与最相似的top-K个token中聚合消息,但KNN计算所有对query token和key token之间的注意力得分,因此仍然具有二次复杂度。

除了Self-Attention,许多任务在很大程度上都能从Cross Attention中受益。Superglue过程检测具有Self-Attention和Cross Attention的局部描述符,并在特征匹配方面显示出显著的改进。标准Transformer可以应用于SuperGlue,因为只考虑稀疏的关键点。SGMNet通过seeded matches进一步减少了计算量。LoFTR在低分辨率特征图上利用线性Transformer生成密集匹配。对于立体匹配,STTR沿着极线应用Self-Attention和Cross Attention,并通过梯度检查点减少了内存消耗。然而,由于需要处理大量的点,这些工作要么使用有损性能的线性Transformer,要么使用有损效率的标准Transformer。

相比之下,QuadTree Transformer与线性Transformer相比具有显著的性能提升,或与标准Transformer相比效率提高。此外,它还可以应用于Self-Attention和Cross Attention。

3QuadTree Transformer

3.1 Attention in Transformer

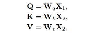
Vision Transformers在许多任务中都取得了巨大的成功。Transformer的核心是注意力模块,它可以捕获特征嵌入之间的远程信息。给定2个图像嵌入点 ,注意力模块在它们之间传递信息。自注意力机制是指 相同时的情况,而Cross Attention则是指 不同时更普遍的情况。它首先通过下面的等式生成query Q、key K和value V,

其中, 都是可学习的参数。然后,通过计算query和key之间的注意力得分来进行消息聚合,如下:

其中,C是嵌入通道的维数。上述过程具有 的计算复杂度,其中N是Vision Transformer中图像patch的数量。这种二次复杂度阻碍了Transformer被应用于需要高分辨率输出的任务。为了解决这个问题,PVT采用了下采样K和V,而Swin Transformer限制了局部窗口内的注意力计算。

3.2 QuadTree Attention

为了降低Vision Transformer的计算成本,提出了QuadTree Attention。顾名思义,借用了 quadtrees的概念, quadtrees通常用于递归地将二维空间细分为4个象限或区域。QuadTree Attention以粗到细的方式计算注意力。根据粗级的结果,在细级快速跳过不相关的图像区域。这种设计在保持高效率的同时,减少了信息损失。

与常规Transformer一样,首先将 线性投影到query、key和value token上。为了方便快速的注意力计算,本文通过下采样特征映射构造L-level金字塔用于query Q、key K和value V token。

  • 对于query和key token,使用平均池层;

  • 对于value token,如果是交叉注意力任务则使用平均池化,如果时Self-Attention任务,则使用stride为2的Conv-BN-ReLU。

如图1所示,在计算了粗粒度的注意力分数后,对于每个query token,选择注意力分数最高的top-K个key token。在细粒度上,query sub token只需要用那些对应于粗粒度上所选K个key token之一的key sub token来计算。这个过程不断重复,直到达到最好的水平。在计算了注意力分数之后,在所有粒度上聚合信息,这里设计了2个架构,称为QuadTree-AQuadTree-B

1、QuadTree-A

考虑到最佳级别的第 个query token ,需要从所有key token计算其收到的消息 。该设计通过收集不同金字塔层次的部分信息来组装完整的信息。具体地说,

其中, 表示在level-l计算的partial messages。这个partial messages 从区域 内的token在level-l聚集信息。通过这种方式,来对自较少相关区域的信息进行粗粒度计算,而对来自高度相关区域的信息以精细粒度计算。

图2

该方案如图2(b)所示,messages 是由不同图像区域不同颜色的3个partial messages生成的,共同覆盖整个图像空间。绿色区域表示最相关的区域,在最精细的level上评价和计算,而红色区域是最不相关的区域,在最粗的level上进行评价和计算。

区域 可以定义为 ,其中图像区域 对应于 的top-K token。区域 如图2(c)。所示区域 覆盖了整个图像。

partial messages的计算如下:

其中, 是在level-l的query和key token之间的注意力得分。图2(a)显示了与 相同颜色计算 时涉及的query和key token。注意力分数被递归地计算出来,

这里, 是对应的 parent query和key token和 的得分。根据公式1在同一parent query token的2×2 token中评估tentative attention得分 对于QuadTree-A,使用平均池化层对所有query、key和value token进行下采样。

2、QuadTree-B

QuadTree-A中从所有层次上递归计算的注意力分数 ,这使得在更精细的层次上的分数变小,并减少了精细图像特征的贡献。此外,精细水平的得分也在很大程度上受到粗水平的不准确性的影响。因此,设计了一个不同的方案,称为QuadTree-B来解决这个问题。具体来说,计算 作为来自不同level的partial messages的加权平均值,

其中 是一个学习得到的权重。如图2(c)所示,这里的partial messages相互重叠,计算结果为:

其中,Attention是attention message的计算,如式1。在这里, 是通过在区域 内叠加所有的key和value而形成的矩阵。

QuadTree-A和QuadTree-B都只涉及稀疏注意力评价。因此,该方法大大降低了计算复杂度。QuadTree Attention的计算复杂度与Token的数量是线性的。

3、Multiscale position encoding

注意力的计算对token来说是排列不变的,因此会丢失位置信息。为了解决这个问题,作者在每个层次上采用局部增强的位置编码(LePE) 来设计一个多尺度的位置编码。具体来说,对于level-l,对value token 应用非共享深度卷积层来编码位置信息。

3.3 与其他注意力机制的对比

为了与其他注意力机制进行公平的比较,作者在相同的backbone和训练设置下测试了这些注意力机制。

表5

具体来说,将PVTv2-Bb中原有的注意力模块替换为Swin Transformer和Focal Transformer中使用的注意力方法。为了更公平的比较,采用与PVTv2、Swin和Focal Transformer相同的位置编码LePE。如表5所示,QuadTree Attention在分类任务和检测任务中都比Swin和PVTv2获得了更好的性能。

与Focal Attention相比,QuadTree Attention在目标检测上的结果提高了1.0,这可能是因为QuadTree Attention总是能够覆盖整个图像,而Focal Attention在第一阶段只覆盖了图像的1/6。

图5

对于Cross Attention任务,本文提供了可视化的注意力分数,如附录e中的图5所示。QuadTree Attention可以注意到比PVT和Linear attention更多的相关区域。

4实验

4.1 Cross-Attention Task

1、特征匹配

表1

2、立体匹配

表2

4.2 Self-Attention Task

1、图像分类

表3

2、目标检测

表4



CVer-Transformer交流群成立


扫码添加CVer助手,可申请加入CVer-Transformer 微信交流群,方向已涵盖:目标检测、图像分割、目标跟踪、人脸检测&识别、OCR、姿态估计、超分辨率、SLAM、医疗影像、Re-ID、GAN、NAS、深度估计、自动驾驶、强化学习、车道线检测、模型剪枝&压缩、去噪、去雾、去雨、风格迁移、遥感图像、行为识别、视频理解、图像融合、图像检索、论文投稿&交流、PyTorch和TensorFlow等群。


一定要备注:研究方向+地点+学校/公司+昵称(如Transformer+上海+上交+卡卡),根据格式备注,可更快被通过且邀请进群


▲长按加小助手微信,进交流群


CVer学术交流群(知识星球)来了!想要了解最新最快最好的CV/DL/ML论文速递、优质开源项目、学习教程和实战训练等资料,欢迎扫描下方二维码,加入CVer学术交流群,已汇集数千人!


扫码进群

▲点击上方卡片,关注CVer公众

整理不易,请点赞和在看

登录查看更多
0

相关内容

专知会员服务
30+阅读 · 2021年7月30日
专知会员服务
36+阅读 · 2021年5月12日
【CVPR2021】用Transformers无监督预训练进行目标检测
专知会员服务
58+阅读 · 2021年3月3日
注意力机制模型最新综述
专知会员服务
271+阅读 · 2019年10月20日
注意力机制介绍,Attention Mechanism
专知会员服务
171+阅读 · 2019年10月13日
Pale Transformer:新视觉ViT主干
CVer
0+阅读 · 2022年1月2日
国家自然科学基金
1+阅读 · 2015年12月31日
国家自然科学基金
1+阅读 · 2014年12月31日
国家自然科学基金
2+阅读 · 2014年12月31日
国家自然科学基金
0+阅读 · 2014年12月31日
国家自然科学基金
0+阅读 · 2013年12月31日
国家自然科学基金
0+阅读 · 2013年12月31日
国家自然科学基金
0+阅读 · 2011年12月31日
国家自然科学基金
3+阅读 · 2011年12月31日
国家自然科学基金
0+阅读 · 2009年12月31日
国家自然科学基金
0+阅读 · 2008年12月31日
Arxiv
2+阅读 · 2022年4月19日
Arxiv
3+阅读 · 2022年4月19日
Transformers in Medical Image Analysis: A Review
Arxiv
40+阅读 · 2022年2月24日
Arxiv
19+阅读 · 2020年12月23日
Arxiv
27+阅读 · 2017年12月6日
Arxiv
13+阅读 · 2017年12月5日
VIP会员
相关VIP内容
专知会员服务
30+阅读 · 2021年7月30日
专知会员服务
36+阅读 · 2021年5月12日
【CVPR2021】用Transformers无监督预训练进行目标检测
专知会员服务
58+阅读 · 2021年3月3日
注意力机制模型最新综述
专知会员服务
271+阅读 · 2019年10月20日
注意力机制介绍,Attention Mechanism
专知会员服务
171+阅读 · 2019年10月13日
相关基金
国家自然科学基金
1+阅读 · 2015年12月31日
国家自然科学基金
1+阅读 · 2014年12月31日
国家自然科学基金
2+阅读 · 2014年12月31日
国家自然科学基金
0+阅读 · 2014年12月31日
国家自然科学基金
0+阅读 · 2013年12月31日
国家自然科学基金
0+阅读 · 2013年12月31日
国家自然科学基金
0+阅读 · 2011年12月31日
国家自然科学基金
3+阅读 · 2011年12月31日
国家自然科学基金
0+阅读 · 2009年12月31日
国家自然科学基金
0+阅读 · 2008年12月31日
相关论文
Arxiv
2+阅读 · 2022年4月19日
Arxiv
3+阅读 · 2022年4月19日
Transformers in Medical Image Analysis: A Review
Arxiv
40+阅读 · 2022年2月24日
Arxiv
19+阅读 · 2020年12月23日
Arxiv
27+阅读 · 2017年12月6日
Arxiv
13+阅读 · 2017年12月5日
Top
微信扫码咨询专知VIP会员