推荐 :从实战角度解读数据科学

2017 年 12 月 4 日 数据分析 品觉

从实战角度解读数据科学

原文:What is hardcore data science—in practice?

来源:https://www.oreilly.com/ideas/what-is-hardcore-data-science-in-practice


导读:

  • 典型的数据科学工作流程如下:第一步永远是找出问题,然后收集相关数据,可能来自于数据库或者开发记录。视你所在机构的数据可用性而定,这可能就已经非常困难了,你必须先弄清楚谁能让你有权访问那些数据,然后弄清楚谁能确保你顺利拿到那些数据。得到数据后,接着对其进行预处理,提取数据特征,以期获取有用信息,帮助解决问题。


  • 从小处着手的主要原因在于,这个过程不是只进行一次,而是会迭代很多次。从本质上来说,数据科学项目本身是探究性的,所得结果在某种程度上是开放性的。目标可能很明确,但在刚开始的时候,常常不知道哪些数据可用,或者可用数据是否适合。毕竟,选择采用机器学习这种方法,已经意味着你不能妄想只靠编写一套程序就能解决问题。你必须采用一种数据驱动的方法。


  •  在实践中,这两个不同之处意味着开发人员和数据科学家在一起工作时常常会出问题。标准的软件工程实践并不适合数据科学家的探究性工作模式,因为两者致力于的目标不同。代码检查和分支—检查—整合这套有序的工作流程,在数据科学家这边完全行不通,只会拖慢他们的进度。同理,把探究性模式应用于开发系统也行不通。


  • 我已经大致剖析了把数据科学引入软件开发的典型架构。大家必须弄明白一个关键的概念,那就是这类架构需要不断适应和改进(就像使用实时数据的所有数据驱动项目一样)。能够迅速迭代、尝试新方法和在A/B测试中用实时数据测试结果,这些是最重要的。


原文翻译:


本文作者MikioBraun在欧洲最大的时尚电商平台之一Zalando领导推荐和搜索功能交付团队。Mikio拥有机器学习专业的博士学位,在搜索领域工作多年,

现在专注于搜索结果在电商领域的高效利用工作。

 

 在过去几年里,数据科学已经被各行各业广泛接纳。数据科学起初在更大程度上来说是一个研究课题,源于科学家们为了理解人类智能、打造人工智能而做出的努力。后来,事实证明它能带来真正的商业价值。

 

举个例子。Zalando公司是欧洲最大的时装零售商之一,就在大量地利用数据科学来提供数据驱动的推荐和其他功能。在很多地方,包括产品页面、目录页面、广告邮件和重定向页面上,都会为用户提供“推荐”这样的后端服务。

 



生成推荐

 

有很多种方法可以生成数据驱动的推荐。协同过滤程序会收集整个用户群在产品浏览、愿望清单和购买等方面的用户行为,然后处理这些信息,确定哪些商品拥有类似的用户模式。这种方法的优点在于计算机不必了解商品本身的任何信息,缺点是必须要有庞大的流量,不然无法获得关于商品的充足信息。另一种方法只着眼于商品的各种属性,比如推荐同一品牌或者颜色相近的其他商品。当然,有很多途径可以延伸使用这些方法或者把它们综合运用起来。

 


 

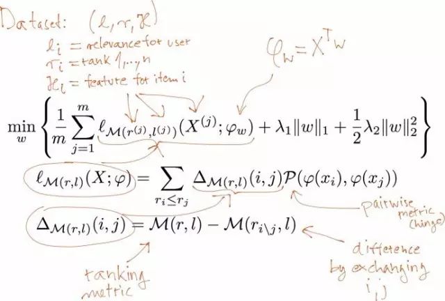
还有更简单的一些方法,基本只通过计数来生成推荐,但在实际操作上,这类方法的复杂度几乎没有上限。例如,就个性化推荐而言,我们一直在研究对从各种角度对商品进行排序的机器学习排名方法。上图显示的是用于优化这一方法的成本函数,主要是为了说明数据科学有时具有的复杂程度。该函数采用包含正则项的对偶加权排名指标。虽然在数学上非常精确,但也非常抽象。这种方法不仅能用于电子商务领域的推荐,还能用于解决各种各样的排名问题,前提是排名对象具备适合的特征。

 

把数学方法引入产业界

 

那么,如何将上面提到的这类非常正规的数学方法引入产品开发?数据科学和工程之间又是怎样对接的?哪种组织和团队架构最适合采用这种方法?这些是非常重要且合理的问题,因为它们决定了对一名数据科学家或者一整支数据科学家团队的投资到最后是否真能取得回报。

 

在后文中,我将根据我个人从事机器学习研究工作和在Zalando公司领导数支数据科学家和工程师团队的实战经验,对这些问题进行探讨。

 

了解数据科学和软件开发的区别

 

让我们先着眼于数据科学系统和后端开发系统,看看如何才能把这两个系统结合起来。

 


典型的数据科学工作流程如下:第一步永远是找出问题,然后收集相关数据,可能来自于数据库或者开发记录。视你所在机构的数据可用性而定,这可能就已经非常困难了,你必须先弄清楚谁能让你有权访问那些数据,然后弄清楚谁能确保你顺利拿到那些数据。得到数据后,接着对其进行预处理,提取数据特征,以期获取有用信息,帮助解决问题。将这些特征输入机器学习算法,再将得出的模型用测试数据进行评估,以预测模型用于未来数据的效果。

 

 这一管道通常会一次性建设完毕,往往由数据科学家使用Python等编程语言,手动完成各个步骤。Python有很多的数据分析库和数据可视化库。根据数据量的大小,也可能使用Spark或Hadoop这样的分布式计算系统,但数据科学家往往先从数据的一个子集着手。

 

为什么先从小处着手?

 

小处着手的主要原因在于,这个过程不是只进行一次,而是会迭代很多次。从本质上来说,数据科学项目本身是探究性的,所得结果在某种程度上是开放性的。目标可能很明确,但在刚开始的时候,常常不知道哪些数据可用,或者可用数据是否适合。毕竟,选择采用机器学习这种方法,已经意味着你不能妄想只靠编写一套程序就能解决问题。你必须采用一种数据驱动的方法。

 

这意味着该管道将会迭代和改进很多次,尝试不同的数据特征、不同的预处理方式、不同的机器学习算法,甚至可能回到原点,添加更多的数据源。

  

整个过程本质上是迭代的,常常具有高度的探究性。在模型表现看起来比较像样后,就该准备用现实数据来测试了。这时便轮到开发系统出场。

 


 

区分开发系统和数据科学

 

开发系统和数据科学系统之间的最主要区别可能在于,开发系统是持续运行的实时系统。数据必须得到处理,模型必须不断更新。输入事件也常常被用来计算点击率等关键绩效指标。模型经常每隔几小时就使用可用数据重新训练一次,然后加载入开发系统中,通过采用REST架构的接口提供数据。

  

出于性能和稳定性的考虑,那些系统常常用Java之类的编程语言编写。

 

 

如果把开发系统和数据科学系统放在一起比较,就会得出以上这张图。右上方是数据科学系统,使用Python这样的编程语言或者Spark这样的分布式计算系统,但通常包含手动触发的一次性计算和为了优化系统而进行的迭代。其结果是一个模型,它本质上就是一堆描述学习模型的数字。然后,开发系统会加载该模型。开发系统会是一套更为传统的的企业系统,用Java这样的语言编写,并且保持持续运行。

 

当然,上图有点简化。实际上,模型必须反复训练,因此还必须将某个版本的数据处理管道嵌入开发系统,以便时不时地更新模型。

 

请注意图中的A/B测试,它会在实时系统中执行,对应的是数据科学系统中的评估步骤。通常来说,A/B测试和模型评估不完全具有可比性,因为在没有真正把推荐商品显示给用户看的情况下,A/B测试很难模拟出线下推荐的效果,但A/B测试应该有助于模型性能的提升。

 

 最后要注意的是,这整个系统不是建立后就“完事”。如同必须先迭代和精调数据科学系统的数据分析管道一样,整个实时系统也需要随着数据分布情况的变化进行迭代,并且为数据分析打开新的可能性。我认为,这种“外部迭代”既是最大的挑战,也是最重要的挑战,因为它将决定你能否持续改善系统,保证你最初对数据科学的投资不会付诸东流。

 

数据科学家和开发人员:合作模式

 

到目前为止,我们主要讨论了各系统在软件开发中的典型情况。人们对开发系统真正能够达成的稳健度和高效性的期望高低不一。有时,直接部署一套用Python编写的模型就足够了,但探究部分和开发部分通常就此分道扬镳。

 

如何协调数据科学家和开发人员之间的合作?这是一个重大的挑战。从某种程度上来说,“数据科学家”还是一个新职业,但他们所做的工作明显有别于开发人员所做的工作。这两者很容易在沟通上存在误解和障碍。


数据科学家的工作通常具有高度的探究性。数据科学项目常常始于一个模糊的目标,或者有关哪种数据和方法可用的设想。你往往只能试验你的想法,洞悉你的数据。数据科学家会编写大量代码,但其中很大一部分代码都是为了测试想法,并不会直接用在最终的解决方案中。

 


 

而开发人员把更多的精力用于编写代码。他们的目标就是编写系统,打造具有所需功能性的程序。开发人员有时也从事探究性的工作,比如原型建造、概念验证或者基准测试,但他们的主要工作就是写代码。

 

这些不同之处也在代码日渐开发出来的方式上表现得非常明显。开发人员常常尽量遵循一个明确定义的过程,其中涉及为独立的工作流创建分支程序,接着对各个分支进行检查,然后再并入主干。开发人员可以并行工作,但需要把已核准的分支集成到主干程序中,然后再从主干上建立新的分支,如此往复。这一切是为了确保主干能以有序的方式完成开发。

 


 

正如我上文所说,数据科学家也会编写大量代码,但这些代码常常是为了探索和尝试新的想法。所以,你可能会先开发出一个1.0版,但并不太符合你的预期,接着便有了2.0版,进而产生2.1和2.2版。然后你放弃了这个方向,又做出了3.0和3.1版。这时你意识到,如果把2.1版和3.1版的一些想法结合起来,就能得到更好的解决方案,因此有了3.3和3.4版,这便是最终的解决方案。

 


 

有意思的是,你会很想保留那些走进死胡同的版本,因为以后你可能还会再用到它们。你也可能会把其中一些令你满意的成果加入一个日渐壮大的工具箱,它就像是你个人的机器学习库。开发人员喜欢删除“死亡代码”(也是因为他们知道以后随时都能重新恢复那些代码,而且他们知道如何快速地做到这一点),而数据科学家则喜欢保留代码,以防万一。

 

 在实践中,这两个不同之处意味着开发人员和数据科学家在一起工作时常常会出问题。标准的软件工程实践并不适合数据科学家的探究性工作模式,因为两者致力于的目标不同。代码检查和分支—检查—整合这套有序的工作流程,在数据科学家这边完全行不通,只会拖慢他们的进度。同理,把探究性模式应用于开发系统也行不通。

 

那么,我们如何让数据科学家和开发人员之间的合作对双方都最有利?第一反应可能是把二者分开。例如,彻底分开代码库,让数据科学家独立工作,制定规范文档,然后由开发人员加以实现。这种方法可行,但效率很低,而且容易出错,因为重新实现可能引入错误,尤其是在开发人员不熟悉数据分析算法的情况下。另外,进行外部迭代以改善整个系统,也取决于开发人员是否有足够的能力来实现数据科学家的规范文档。

 

 

 

幸好,很多数据科学家也想成为更好的软件工程师,很多软件工程师也有心成为更好的数据科学家。因此,我们已经开始尝试更加直接一点、有助于加快整个过程的合作模式。

 

例如,数据科学家和开发人员的代码库仍然可以分开,但数据科学家可通过一个明确定义的接口,把他们的算法和一部分的开发系统钩连起来。显然,与开发系统进行通信的代码必须遵守更严格的软件开发实践,但仍然由数据科学家负责。这样一来,他们不仅能在内部迅速迭代,还能在开发系统中迭代。

 


 


这种架构模式的具体实现方式的一种,便是采用微服务架构,并让开发系统能够查询数据科学家的微服务以获得建议。这样一来,原本被数据科学家用于离线分析的整个管道也能同时用于执行A/B测试,甚至可在无需开发人员重新实现所有代码的状态下直接添加进开发系统。这也更强调数据科学家的软件工程技能,但我们发现拥有那套技能的数据科学家越来越多。为了反映这一事实,Zalando公司已经把数据科学家的头衔改为了“研究工程师(数据科学方向)”

 

依靠像这样的方法,数据科学家能够迅速行动,用离线数据迭代,遵从软件开发的具体要求迭代,整个团队能把稳定的数据分析解决方案逐渐移植到开发系统中。

 

不断适应和改进

 

到此为止,我已经大致剖析了把数据科学引入软件开发的典型架构。大家必须弄明白一个关键的概念,那就是这类架构需要不断适应和改进(就像使用实时数据的所有数据驱动项目一样)。能够迅速迭代、尝试新方法和在A/B测试中用实时数据测试结果,这些是最重要的。

 

根据我的经验来看,让数据科学家和开发人员各自为政是无法做到这一点的。但同时,必须承认他们的工作模式不同,因为他们的目标不同:数据科学家的工作更具探究性,而开发人员更关注于打造软件和系统。如果让双方以一种最适合这些目标的方式工作,并在他们之间定义一个明确的接口,就有可能把双方结合在一起,迅速地尝试新方法。这要求数据科学家具备更多的软件工程技能,或者至少要有能够架通两个世界的工程师提供支持。


本次转自:品觉 微信公众号(pinjueche.com)

车品觉简介

畅销书《决战大数据》作者;红杉资本中国基金专家合伙人;浙江大学管理学院客席教授;全国信标委员;数据标准工作组副组长;美丽心灵基金会桑珠利民基金副主席。

原阿里巴巴集团副总裁,首任阿里数据委员会会长现担任中国信息协会大数据分会副会长、中国计算机学会大数据专家委员会副主任、粤港信息化专家委员、中国计算数学学会第九届理事、清华大学教育指导委员(大数据项目)、浙江大学管理学院客席教授等职。

版权声明:本号内容部分来自互联网,转载请注明原文链接和作者,如有侵权或出处有误请和我们联系。

合作联系qq:365242293 ;


更多相关知识请回复:“ 月光宝盒 ”;

数据分析(ID : ecshujufenxi )互联网科技与数据圈自己的微信,也是WeMedia自媒体联盟成员之一,WeMedia联盟覆盖5000万人群。

登录查看更多
0

相关内容

数据科学(英語:data science)是一门利用数据学习知识的学科,其目标是通过从数据中提取出有价值的部分来生产数据产品。 它结合了诸多领域中的理论和技术,包括应用数学、统计、模式识别、机器学习、数据可视化、数据仓库以及高性能计算。 数据科学通过运用各种相关的数据来帮助非专业人士理解问题。
【2020新书】从Excel中学习数据挖掘,223页pdf
专知会员服务
93+阅读 · 2020年6月28日
【干货书】机器学习Python实战教程,366页pdf
专知会员服务
346+阅读 · 2020年3月17日
《人工智能2020:落地挑战与应对 》56页pdf
专知会员服务
197+阅读 · 2020年3月8日
【2020新书】简明机器学习导论,电子书与500页PPT
专知会员服务
205+阅读 · 2020年2月7日
医疗知识图谱构建与应用
专知会员服务
390+阅读 · 2019年9月25日
推荐系统(一):推荐系统基础
菜鸟的机器学习
25+阅读 · 2019年9月2日
数据科学即将迎来“无代码”时代
大数据文摘
4+阅读 · 2018年10月21日
关于机器学习你要了解的 5 件事
机器学习算法与Python学习
7+阅读 · 2018年9月7日
从场景到调参,爱奇艺的推荐算法演化之路
聊聊架构
10+阅读 · 2018年3月23日
各厂推荐算法!
程序猿
17+阅读 · 2018年1月13日
【推荐系统】搜狐个性化视频推荐架构设计和实践
产业智能官
9+阅读 · 2017年12月26日
2017全球大数据产业八领域典型公司盘点分析
人工智能学家
3+阅读 · 2017年12月6日
一文解读聚类中的两种流行算法
量子位
6+阅读 · 2017年11月20日
Talking-Heads Attention
Arxiv
15+阅读 · 2020年3月5日
Arxiv
19+阅读 · 2018年3月28日
Arxiv
7+阅读 · 2018年1月30日
Arxiv
7+阅读 · 2018年1月24日
VIP会员
相关VIP内容
相关资讯
推荐系统(一):推荐系统基础
菜鸟的机器学习
25+阅读 · 2019年9月2日
数据科学即将迎来“无代码”时代
大数据文摘
4+阅读 · 2018年10月21日
关于机器学习你要了解的 5 件事
机器学习算法与Python学习
7+阅读 · 2018年9月7日
从场景到调参,爱奇艺的推荐算法演化之路
聊聊架构
10+阅读 · 2018年3月23日
各厂推荐算法!
程序猿
17+阅读 · 2018年1月13日
【推荐系统】搜狐个性化视频推荐架构设计和实践
产业智能官
9+阅读 · 2017年12月26日
2017全球大数据产业八领域典型公司盘点分析
人工智能学家
3+阅读 · 2017年12月6日
一文解读聚类中的两种流行算法
量子位
6+阅读 · 2017年11月20日
相关论文
Top
微信扫码咨询专知VIP会员