【关系抽取】详聊如何用BERT实现关系抽取

2020 年 3 月 21 日 深度学习自然语言处理

常常在想,自然语言处理到底在做的是一件什么样的事情?到目前为止,我所接触到的NLP其实都是在做一件事情,即将自然语言转化为一种计算机能够理解的形式。这一点在知识图谱、信息抽取、文本摘要这些任务中格外明显。不同的任务的差异在于目标的转化形式不一样,因而不同的任务难度、处理方式存在差异。


这个系列文章【文本信息抽取与结构化】,在自然语言处理中是非常有用和有难度的技术,是文本处理与知识提取不可或缺的技术。


BERT这么强大的预训练模型,当然会想着把他利用起来,本篇介绍如何利用BERT进行关系抽取。


作者&编辑 | 小Dream哥

前述

关系分类与提取是一个重要的NLP任务,其主要目标是提取出实体以它们之间的关系。在BERT之前,最有效的关系分类方法主要是基于CNN或RNN。最近,预训练BERT模型在许多NLP的分类和序列标注任务中都获得了非常好的结果。


因此,必然会有工作考虑利用BERT来自关系抽取。关系提取与分类的主要难点在于,其不仅仅依赖于两个目标实体的信息,还依赖于句子本身的语义及语法信息。利用BERT强大的编码能力,预期能够同时抽取到文本中的两种特征。事实上也正是如此,目前效果最好的关系抽取模型正是基于BERT的工作,本片介绍几个利用BERT来做关系抽取的工作。

R-BERT模型

R-BERT(作者这样称呼),是我调研到的第一篇用BERT做RE的模型,所以笔者先介绍这个模型。


1) 模型结构

Wu S , He Y . Enriching Pre-trained Language Model with Entity Information for Relation Classification[J]. 2019.

如上图所示,是R-BERT的模型结构在模型中,需要注意一下三点:

1.为了使BERT模型能够定位两个实体的位置,作者在每个句子的开头添加 "[CLS]" ,在第一个实体前后添加特殊字符 "$" ,在第二个实体前后添加特殊字符"#"


2.R-BERT利用了BERT三部分特征进行最后的关系分类:

    (1)[CLS]最终隐含状态向量,这部分提取了句子

             的语义特征

    (2)两个实体的隐含状态向量,这部分提取了实体 

             特征


3.最后,利用拼接三个特征进行关系分类,接一个softmax进行分类

2) 模型运算

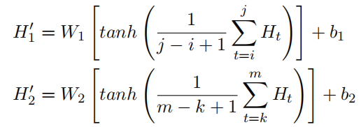
下面来讲一讲如何获取这三个特征,对于[CLS]特征,利用BERT输出的第一个编码向量,做以下的处理即可得到:

对于两个实体的特征,在训练时,拿到BERT输出对应位置的隐藏向量后做如下的处理即可得到:


获取到3个特征之后,如何进行关系分类呢?模型将上述3个特征拼接起来,然后接一个DENSE层,在通过softmax进行分类,具体运算过程如下:

作者还做了去除了实体前后的标识符的实验,发现模型的F1值从89.25%降到87.98%,表明标识符可以帮助提供实体信息;假如仅仅使用BERT输出层的[CLS]句子向量,会使得模型F1值从89.25%降到87.99%;上述实验证明在关系分类任务中,明确实体的位置,能够提升模型的性能。


但是这仅仅是一个关系分类的模型,在前面的文章我们介绍过,在关系抽取模型中,其实end-to-end模型才是更合理的方式,下面介绍一种端到端的BERT关系抽取模型。

2  End-to-End BERT RE

1) 模型结构

Giorgi J , Wang X , Sahar N , et al. End-to-end Named Entity Recognition and Relation Extraction using Pre-trained Language Models[J]. 2019.

如上图所示是该模型的结构示意图,模型可以分为两个部分:实体抽取模块和关系分类模块。


1. 实体识别模块

实体抽取模块和我们前面介绍的实体抽取模块基本相同,感兴趣的同学可以看如下的文章:

【NLP-NER】如何使用BERT来做命名实体识别

该模型中差异仅仅在于,文本经过BERT进行特征抽取之后,接一个Feed-Forward层和sonftmax,而不是CRF。


2. 关系分类模块

我们重点来看关系抽取的模块,该模块的输入由2个部分组成:实体抽取信息以及BERT编码信息。将实体抽取模块输出的BIOES类别信息,编码成固定维度的向量。然后将该向量与BERT的编码向量拼接起来,作为关系抽取模块的输入,如下公式所示:

该输入并行的通过了两个FFN层,称为FFN-head和FFN-tail,如上面的模型结构图所示,得到两个向量。

随后,将这两个向量通过一个 Biaffine层,预测出属于每个关系的类别:

这里U的维度是m*C*m,W的维度是C*2m。m是FFN层输出的向量的维度,C是关系的类别数。

2)损失函数

如上公式所示,是该模型采用的损失函数,其中S_r是模型预测的样本中真正有的关系的预测得分,即r in R(样本标签里的关系)。S_r_c表示模型预测样本有某一个关系的得分,r in C。


当然,NER模型和RE模型要一起优化,所以总的损失函数为:

这个模型的特点是端到端的实现了实体抽取和关系抽取,同时也能够预测多个关系类别。



投稿或交流学习,备注: 昵称-学校(公司)-方向,进入DL&NLP交流群。
方向有很多: 机器学习、深度学习,python,情感分析、意见挖掘、句法分析、机器翻译、人机对话、知识图谱、语音识别等
记得备注呦


登录查看更多
32

相关内容

关系抽取指的是检测和识别文本中实体之间的语义关系,并将表示同一语义关系的提及(mention)链接起来的任务。关系提取任务需要在一组工件(通常来自文本或XML文档)中对语义关系提及进行检测和分类。该任务与信息抽取(IE)的任务非常相似,但是IE还需要删除重复关系(消除歧义),并且通常指的是提取许多不同的关系。

知识荟萃

精品入门和进阶教程、论文和代码整理等

更多

查看相关VIP内容、论文、资讯等
深度学习自然语言处理概述,216页ppt,Jindřich Helcl
专知会员服务
216+阅读 · 2020年4月26日
面向司法案件的案情知识图谱自动构建
专知会员服务
126+阅读 · 2020年4月17日
BERT技术体系综述论文:40项分析探究BERT如何work
专知会员服务
140+阅读 · 2020年3月1日
Transformer文本分类代码
专知会员服务
118+阅读 · 2020年2月3日
最新BERT相关论文清单,BERT-related Papers
专知会员服务
53+阅读 · 2019年9月29日
技术动态 | 跨句多元关系抽取
开放知识图谱
50+阅读 · 2019年10月24日
ACL 2019 | 理解 BERT 每一层都学到了什么
THU数据派
9+阅读 · 2019年9月9日
ACL 2018 论文解读 | 基于深度强化学习的远程监督关系抽取
黑龙江大学自然语言处理实验室
15+阅读 · 2018年12月10日
如何匹配两段文本的语义?
黑龙江大学自然语言处理实验室
7+阅读 · 2018年7月21日
Arxiv
20+阅读 · 2019年9月7日
Arxiv
11+阅读 · 2019年6月19日
Arxiv
21+阅读 · 2019年3月25日
Conditional BERT Contextual Augmentation
Arxiv
8+阅读 · 2018年12月17日
VIP会员
相关资讯
技术动态 | 跨句多元关系抽取
开放知识图谱
50+阅读 · 2019年10月24日
ACL 2019 | 理解 BERT 每一层都学到了什么
THU数据派
9+阅读 · 2019年9月9日
ACL 2018 论文解读 | 基于深度强化学习的远程监督关系抽取
黑龙江大学自然语言处理实验室
15+阅读 · 2018年12月10日
如何匹配两段文本的语义?
黑龙江大学自然语言处理实验室
7+阅读 · 2018年7月21日
Top
微信扫码咨询专知VIP会员