dropout的隐式偏置

2018 年 6 月 29 日 论智
来源:arXiv
编译:weakish

现代的深度神经网络通常具有海量参数,甚至高于训练数据的大小。这就意味着,这些深度网络有着强烈的过拟合倾向。缓解这一倾向的技术有很多,包括L1、L2正则、及早停止、组归一化,以及dropout。在训练阶段,dropout随机丢弃隐藏神经元及其连接,以打破神经元间的共同适应。尽管dropout在深度神经网络的训练中取得了巨大的成功,关于dropout如何在深度学习中提供正则化机制,目前这方面的理论解释仍然很有限。

最近,约翰·霍普金斯大学的Poorya Mianjy、Raman Arora、Rene Vidal在ICML 2018提交的论文On the Implicit Bias of Dropout,重点研究了dropout引入的隐式偏置。

基于权重系联的线性自动编码器

为了便于理解dropout的作用机制,研究人员打算在简单模型中分析dropout的表现。具体而言,研究人员使用的简单模型是只包含一个隐藏层的线性网络。该网络的目标是找到最小化期望损失(平方损失)的权重矩阵U、V:

上式中,x为输入,y为标注输出,D为输入x的分布,h表示隐藏层。

学习算法为带dropout的随机梯度下降,其目标为:

其中,dropout率为1-θ,具体的算法为:

这一算法的目标等价于(推导过程见论文附录A.1):

其中,λ = (1-θ)/θ

研究人员又令U = V,进一步简化模型为权重系联的单隐藏层线性自动编码器。相应地,该网络的目标为:

研究人员证明了,如果矩阵U是以上目标的全局最优解,那么U的所有列范数相等。这意味着,dropout倾向于给所有隐藏节点分配相等的权重,也就是说,dropout给整个网络加上了隐式的偏置,倾向于让隐藏节点都具有类似的影响,而不是让一小部分隐藏节点具有重要影响。

上图可视化了参数λ的不同取值的效果。该网络为单隐藏层线性自动编码器,搭配一维输入、一维输出,隐藏层宽度为2。当λ = 0时,该问题转换为平方损失最小化问题。当λ > 0时,全局最优值向原点收缩,所有局部极小值均为全局最小值(证明过程见论文第4节)。当λ增大时,全局最优值进一步向原点收缩。

单隐藏层线性网络

接着,研究人员将上述结果推广到了单隐藏层线性网络。回忆一下,这一网络的目标为:

和权重系联的情形类似,研究人员证明了,如果矩阵对(U, V)是以上目标的全局最优解,那么,‖ui‖‖vi‖ = ‖u1‖‖v1‖,其中,i对应隐藏层的宽度。

研究人员进一步证明,前面提到的单隐藏层线性神经网络的目标等价于正则化的矩阵分解(regularized matrix factorization)

利用矩阵分解这一数学工具,研究人员证明了全局最佳值可以在多项式时间内找到:

试验

研究人员试验了一些模型,以印证前面提到的理论结果。

上图可视化了dropout的收敛过程。和之前的可视化例子类似,模型为单隐藏层线性自动编码器,一维输入、一维输出,隐藏层宽度为2。输入取样自标准正态分布。绿点为初始迭代点,红点为全局最优点。从图中我们可以看到,在不同的λ取值下,dropout都能迅速收敛至全局最优点。

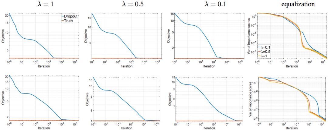
研究人员还在一个浅层线性网络上进行了试验。该网络的输入x ∈ ℝ80,取样自标准正态分布。网络输出y ∈ ℝ120,由y = Mx生成,其中M ∈ ℝ120x80均匀取样自右、左奇异子空间(指数谱衰减)。下图展示了不同参数值(λ ∈ {0.1, 0.5, 1})与不同隐藏层宽度(r ∈ {20, 80})的组合。蓝色曲线为dropout不同迭代次数下对应的目标值,红线为目标的最优值。总共运行了50次,取平均数。

上:r = 20;下:r = 80

上图最后一列为“重要性评分”的方差。重要性评分的计算方法为:‖uti‖‖vti‖,其中t表示时刻(迭代),i表示隐藏层节点。从上图我们看到,随着dropout的收敛,“重要性评分”的方差单调下降,最终降至0. 且λ较大时,下降较快。

结语

这项理论研究确认了dropout是一个均质地分配权重的过程,以阻止共同适应。同时也从理论上解释了dropout可以高效地收敛至全局最优解的原因。

研究人员使用的是单隐藏层的线性神经网络,因此,很自然地,下一步的探索方向为:

  1. 更深的线性神经网络

  2. 使用非线性激活的浅层神经网络,例如ReLU(ReLU可以加速训练)

原文地址:https://arxiv.org/abs/1806.09777

登录查看更多
2

相关内容

【ICML2020】持续图神经网络,Continuous Graph Neural Networks
专知会员服务
151+阅读 · 2020年6月28日
【MIT-ICML2020】图神经网络的泛化与表示的局限
专知会员服务
43+阅读 · 2020年6月23日
【Nature论文】深度网络中的梯度下降复杂度控制
专知会员服务
41+阅读 · 2020年3月9日
一文搞懂反向传播
机器学习与推荐算法
18+阅读 · 2020年3月12日
【论文笔记】图卷积的解释性技术
专知
18+阅读 · 2019年9月28日
误差反向传播——RNN
统计学习与视觉计算组
18+阅读 · 2018年9月6日
从零开始深度学习:dropout与正则化
数萃大数据
7+阅读 · 2018年7月22日
面试整理:关于代价函数,正则化
数据挖掘入门与实战
8+阅读 · 2018年3月29日
干货 | 深度学习之损失函数与激活函数的选择
机器学习算法与Python学习
15+阅读 · 2017年9月18日
Do RNN and LSTM have Long Memory?
Arxiv
19+阅读 · 2020年6月10日
Meta-Learning with Implicit Gradients
Arxiv
13+阅读 · 2019年9月10日
VIP会员
相关资讯
一文搞懂反向传播
机器学习与推荐算法
18+阅读 · 2020年3月12日
【论文笔记】图卷积的解释性技术
专知
18+阅读 · 2019年9月28日
误差反向传播——RNN
统计学习与视觉计算组
18+阅读 · 2018年9月6日
从零开始深度学习:dropout与正则化
数萃大数据
7+阅读 · 2018年7月22日
面试整理:关于代价函数,正则化
数据挖掘入门与实战
8+阅读 · 2018年3月29日
干货 | 深度学习之损失函数与激活函数的选择
机器学习算法与Python学习
15+阅读 · 2017年9月18日
Top
微信扫码咨询专知VIP会员