CPNDet:简单地给CenterNet加入two-stage,性能更快更强!

2020 年 11 月 13 日 CVer

本文为CenterNet作者发表的,论文提出anchor-free/two-stage目标检测算法CPN,使用关键点提取候选框再使用两阶段分类器进行预测。论文整体思路很简单,但CPN的准确率和推理速度都很不错,比原本的关键点算法更快,源码也会公开,到时可以一试

本文转载自:晓飞的算法工程笔记 公众号

论文: Corner Proposal Network for Anchor-free,Two-stage Object Detection

  • 论文地址:https://arxiv.org/abs/2007.13816
  • 论文代码:https://github.com/Duankaiwen/CPNDet

Introduction


  目前,amchor-based目标检测方法和anchor-free目标检测方法都涌现了大量的优秀检测方案。论文认为,对于形状特异的目标,anchor-free目标检测方式比较占优,但acnhor-free方法通常会出现大量的误检,如图1所示,需要一个独立的分类器来提升检测的准确率。为此,论文提出CPNDet(Corner Proposal Network),结合了anchor-free和two-stage的检测范式。先基于CornerNet进行角点检测,将有效的角点枚举组合成大量候选预测框。由于候选框包含大量负样本,先训练一个二值分类器过滤大部分的候选预测框,再使用多类别分类器进行标签预测。

Anchor-based or Anchor-free? One-stage or Two-stage?


  这里论文主要讨论anchor-based vs anchor-free以及one-stage vs two-stage的问题。

Anchor-based or Anchor-free?

  Anchor-based方法将大量的anchor平铺在特征图上,然后预测每个anchor是否包含物体以及标签。通常,anchor是与图片特定的位置关联,大小也是相对固定的,bbox回归能够轻微地改变其几何形状。Anchor-free方法则不受预设的anchor限制,直接定位目标的关键点,然后再预测其形状和标签。所以,论文认为anchor-free方法在任意形状目标的定位上更灵活,召回率也更高。

  论文也对anchor-based方法和anchor-free方法在不同大小以及不同比例的目标上的进行召回率对比,结果如上表所示。可以看出anchor-free方法通常有较高的召回率,特别是在长宽比较大的物体上,anchor-based方法由于预设的anchor与目标差异大,召回率偏低。其次,FCOS虽然也是anchor-free方法,但其最后需要预测关键点到边界的距离,这在这种场合下也难以预测。

One-stage or Two stage?

  虽然anchor-free方法解决了寻找目标候选框的约束,但由于缺乏目标的内部信息,难以很好地建立关键点与目标之间的联系,会给检测的准确率带来较大的影响,而关键点和目标之间的联系的建立通常需要丰富的语义信息。

  论文将高召回率CornerNet和CenterNet作为实验目标,结果如上表所示。主干网络的加强能够带来准确率的提升,但仍然有很多的误检。如果去掉无目标的误检( )以及纠正标签的错误识别( )后,准确率能够明显地提升了。上述的实验说明,为了建立关键点与目标间的联系,需要借用two-stage的范式,提取候选框的信息来过滤误检部分。

The Framework of Corner Proposal Network


  基于上面的分析,论文结合acnhor-free方法和two-stage范式提出了Corner-Proposal-Network(CPN),完整的结构如图2所示。首先使用anchor-free方法提取关键点,遍历关键点组合成候选框,最后使用两个分类器分别对候选框进行误检过滤以及标签预测。

Stage 1: Anchor-free Proposals with Corner Keypoints

   第一阶段为anchor-free候选框提取过程,假定每个目标都由两个关键点进行定位,先根据CornerNet输出两组角点的热图,选择top-k个左上角点以及top-k个右下角点。将有效的关键点组合成目标的候选框,关键点组合是否有效主要有两个判断:

  1. 关键点是否属于同一个类别
  2. 左上角点必须在右上角点的左上位置

  尽管论文基于CornerNet提取候选框,但后处理有较大差异。CornerNet使用embedding向量来组合关键点,论文认为embedding向量并不能保证是可学习的,而论文采用独立的分类器进行处理,能够使用完整的中间特征来提升准确率。

Stage 2: Two-step Classification for Filtering Proposals

  基于anchor-free方法提取候选框虽然召回率很高,但会带来大量的误检,论文采用two-step分类方法进行过滤和校正。首先采用轻量的二值分类器过滤80%的候选框,然后使用多分类器预测剩余候选框的类别。
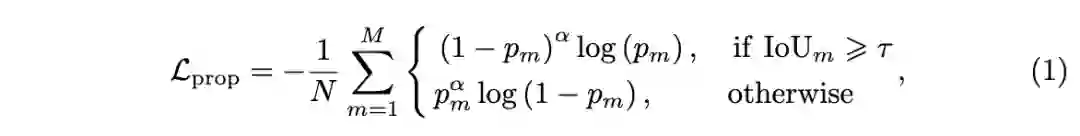
  第一步训练二值分类器来决定候选框是否为目标,采用 的RoIAlign提取每个候选框的在box特征图上的特征,然后使用1个 的卷积层来输出每个预测框的分类置信度,损失函数为:

    为总候选框数, 为正样本数, 候选框为目标的概率, 为IoU阈值,设为0.7。
   第二步用于给剩余的候选框预测类别,由于缺乏目标的内部信息的,关键点的类别通常不太准确,所以需要强大的分类器来根据ROI特征进行预测。首先使用 的ROIAlign提取每个候选框在category特征图上的特征,然后使用 的卷积层输出 维向量, 为类别数量,损失函数为:

为过滤后的候选框数量和正样本数量, 候选框的 类别置信度,其余的参数与第一步类似。

The Inference Process

  推理过程跟训练过程基本一样,由于训练过程包含很多低质量的预测框, 的值是偏向零的,所以推理阶段第一步使用相对低的阈值(0.2)进行过滤,大约保留20%的候选框。在第二步,每个候选框有两个标签,分别为角点预测的标签 和第二阶段分类器预测的标签 ,当其中一个标签分数大于0.5时才将候选框输出,分数计算为 ,再归一化到

Experiments


  与SOTA检测算法进行对比,初始的输入分辨率为

  推理阶段的两个分类器对性能的影响,B-Classifier为二值分类器,M-Classifier为多标签分类器。

  相对于其它keypoint-based方法,CPN误检更低。

  二值分类器与CornerNet的embedding向量的性能对比。

  推理速度对比。

CONCLUSION


  论文提出anchor-free/two-stage目标检测算法CPN,使用关键点提取候选框再使用两阶段分类器进行预测。论文整体思路很简单,但CPN的准确率和推理速度都很不错,比原本的关键点算法更快,论文的细节也值得推敲。

论文PDF下载

后台回复:CPNDet,即可下载上述论文PDF

目标检测综述下载

后台回复:目标检测二十年,即可下载39页的目标检测最全综述,共计411篇参考文献。


下载2


后台回复:CVPR2020,即可下载代码开源的论文合集

后台回复:ECCV2020,即可下载代码开源的论文合集

后台回复:YOLO,即可下载YOLOv4论文和代码


重磅!CVer-目标检测 微信交流群已成立


扫码添加CVer助手,可申请加入CVer-目标检测 微信交流群,目前已汇集4000人!涵盖2D/3D目标检测、小目标检测、遥感目标检测等。互相交流,一起进步!


同时也可申请加入CVer大群和细分方向技术群,细分方向已涵盖:目标检测、图像分割、目标跟踪、人脸检测&识别、OCR、姿态估计、超分辨率、SLAM、医疗影像、Re-ID、GAN、NAS、深度估计、自动驾驶、强化学习、车道线检测、模型剪枝&压缩、去噪、去雾、去雨、风格迁移、遥感图像、行为识别、视频理解、图像融合、图像检索、论文投稿&交流、PyTorch和TensorFlow等群。


一定要备注:研究方向+地点+学校/公司+昵称(如目标检测+上海+上交+卡卡),根据格式备注,可更快被通过且邀请进群

▲长按加群


▲长按关注我们

麻烦给我一个在看

登录查看更多
2

相关内容

小目标检测技术研究综述
专知会员服务
124+阅读 · 2020年12月7日
【AAAI2021】协同挖掘:用于稀疏注释目标检测的自监督学习
深度学习目标检测方法综述
专知会员服务
280+阅读 · 2020年8月1日
深度学习目标检测方法及其主流框架综述
专知会员服务
148+阅读 · 2020年6月26日
【文献综述】深度学习目标检测方法及其主流框架综述
专知会员服务
119+阅读 · 2020年6月26日
3D目标检测进展综述
专知会员服务
193+阅读 · 2020年4月24日
CVPR2020 | 商汤-港中文等提出PV-RCNN:3D目标检测新网络
专知会员服务
45+阅读 · 2020年4月17日
什么是anchor-based 和anchor free?
计算机视觉life
6+阅读 · 2020年1月4日
47.4mAP!最强Anchor-free目标检测网络:SAPD
极市平台
13+阅读 · 2019年12月16日
目标检测中边界框的回归策略
极市平台
17+阅读 · 2019年9月8日
CenterNet:目标即点(代码已开源)
极市平台
25+阅读 · 2019年5月24日
FoveaBox,超越Anchor-Based的检测器
极市平台
10+阅读 · 2019年4月22日
FCOS: 最新的one-stage逐像素目标检测算法
极市平台
15+阅读 · 2019年4月14日
YOLO简史
计算机视觉life
27+阅读 · 2019年3月7日
ECCV 2018 | CornerNet:目标检测算法新思路
极市平台
13+阅读 · 2018年8月11日
Scale-Aware Trident Networks for Object Detection
Arxiv
4+阅读 · 2019年1月7日
Auto-Context R-CNN
Arxiv
4+阅读 · 2018年7月8日
Arxiv
5+阅读 · 2018年4月17日
Arxiv
7+阅读 · 2018年1月24日
Arxiv
8+阅读 · 2018年1月12日
Arxiv
5+阅读 · 2016年12月29日
VIP会员
相关VIP内容
小目标检测技术研究综述
专知会员服务
124+阅读 · 2020年12月7日
【AAAI2021】协同挖掘:用于稀疏注释目标检测的自监督学习
深度学习目标检测方法综述
专知会员服务
280+阅读 · 2020年8月1日
深度学习目标检测方法及其主流框架综述
专知会员服务
148+阅读 · 2020年6月26日
【文献综述】深度学习目标检测方法及其主流框架综述
专知会员服务
119+阅读 · 2020年6月26日
3D目标检测进展综述
专知会员服务
193+阅读 · 2020年4月24日
CVPR2020 | 商汤-港中文等提出PV-RCNN:3D目标检测新网络
专知会员服务
45+阅读 · 2020年4月17日
相关资讯
什么是anchor-based 和anchor free?
计算机视觉life
6+阅读 · 2020年1月4日
47.4mAP!最强Anchor-free目标检测网络:SAPD
极市平台
13+阅读 · 2019年12月16日
目标检测中边界框的回归策略
极市平台
17+阅读 · 2019年9月8日
CenterNet:目标即点(代码已开源)
极市平台
25+阅读 · 2019年5月24日
FoveaBox,超越Anchor-Based的检测器
极市平台
10+阅读 · 2019年4月22日
FCOS: 最新的one-stage逐像素目标检测算法
极市平台
15+阅读 · 2019年4月14日
YOLO简史
计算机视觉life
27+阅读 · 2019年3月7日
ECCV 2018 | CornerNet:目标检测算法新思路
极市平台
13+阅读 · 2018年8月11日
相关论文
Scale-Aware Trident Networks for Object Detection
Arxiv
4+阅读 · 2019年1月7日
Auto-Context R-CNN
Arxiv
4+阅读 · 2018年7月8日
Arxiv
5+阅读 · 2018年4月17日
Arxiv
7+阅读 · 2018年1月24日
Arxiv
8+阅读 · 2018年1月12日
Arxiv
5+阅读 · 2016年12月29日
Top
微信扫码咨询专知VIP会员