51.2 mAP!商汤提出目标检测新网络 TSD | CVPR 2020

2020 年 4 月 7 日 CVer

目前很多研究表明目标检测中的分类分支和定位分支存在较大的偏差,论文从sibling head改造入手,跳出常规的优化方向,提出TSD方法解决混合任务带来的内在冲突,从主干的proposal中学习不同的task-aware proposal,同时结合PC来保证TSD的性能,在COCO上达到了51.2mAP

本文转载自:晓飞的算法工程笔记 公众号

论文: Revisiting the Sibling Head in Object Detector

  • 论文地址:https://arxiv.org/abs/2003.07540

Introduction


  经典RoI-based定位算法使用sibling head(2-fc)对proposal同时进行分类和回归,由于任务的本质不同,分类任务和定位任务是完全不同的,关注的特征也不一样,如图1所示。分类任务往往需要平移不变性,而定位任务则需要平移可变性。

  具体属性的表现如公式10所示, 为IoU阈值, 为共用的特征提取器。因此,共用的特征提取器以及相同的proposal都是目标检测学习的主要障碍。
  与以往的方法不同,论文观察到限制定位算法的根本问题在于分类分支和定位分支在空间维度上存在偏差,不是通过设计特征提取器或更好的结构能解决的。因此,论文提出TSD方法,从空间维度和特征提取两方面同时对分类任务和定位任务进行拆解,并且结合精心设计的渐进约束(PC)帮助学习。
  论文的贡献如下:

  • 深入探讨RoI-based检测算法中混合任务带来的障碍,并揭示限制检测性能的瓶颈
  • 提出TSD(task-aware spatial disentanglement)解决混合任务的冲突,能够学习到task-specific特征表达能力
  • 提出PC(progressive constraint)来扩大TSD和sibling head间的性能间隔
  • 在COCO和OpenImage上验证了有效性,单模型最高可达51.2mAP

Methods


  如图2所示,在训练时,TSD和原来的结构共存,定义主干输出的预测框为 ,TSD输出最终的定位结果 和最终的分类结果 ,原sibling head输出的结果为 ,GT为 ,类别为

TSD (task-aware spatial disentanglement)

  经典的Faster RCNN基于 同时最小化预测框的分类误差和损失误差,如公式1, 为特征提取, 为分别从特征进行分类和定位的预测函数。由于分类和定位所用到的特征不太一样,一些研究将特征提取拆分为 ,尽管这样的拆分能带来一些提升,但任务混合在空间上的内在冲突仍然潜在(分类和定位所需的bbox其实不一样)

  为了解决这个潜在的问题,TSD直接在空间上对分类和定位进行分解,如公式2,从原预测框 中预测出分类框 以及定位框 为pointwise的形变, 为proposal-wise的变化,具体如图2(b)所示。然后再通过不同的特征提取和head进行分类和定位的预测, 。由于分解了分类和定位的预测区域,TSD能够学习task-aware的特征表达。

TSD learning

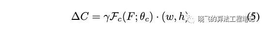
  对于定位,使用三层全连接 来生成proposal-wise变化 用于将 转换为 ,每层的输出为 为预设的调节标量。 的计算如公式4,即将 进行整体移动,新点的值使用双线性插值计算,使得 可微。

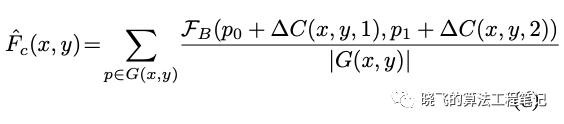
  对于分类,将规则的 变形为不规则的 为三层全连接层,每层的输出为 ,为了减少参数,首层全连接与 共用。 为pointwise的x坐标和y坐标变化, 为池化后特征 的大小,根据公式6使用 生成池化后的特征图 ,这里的池化操作跟Deformable Convolution的一样。 为像素总数,具体大小跟池化前后的特征图大小有关, 为区域中的坐标, 为双线性插值,使 可导。

Progressive constraint

  在训练阶段,使用公式1对TSD和sibling head进行联合训练,此外还设计了渐进约束(progressive constraint, PC)来辅助TSD的学习,如图2(c)。

  对于分类分支,PC如公式7, 类的置信度, 约预设的间隔, 类似于ReLU函数,即约束TSD的预测置信度需要比sibling head至少高 ,否则即学习不够,产生损失

  对于定位分支,PC如公式8, 为原方式的最终预测结果, 为TSD转换后的最终预测结果,仅对正样本进行计算,即约束TSD的预测结果的IoU需要比sibling head至少高

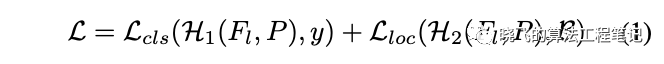
  最终的损失函数为公式9,结合了所有的损失,推理的时候把sibling head分支和PC去掉。
  论文在此处提出的约束方法很好,但是会存在一个问题,若sibling head学习充分了,留给TSD的提升空间本身就小于间隔,这样产生的损失显然有些不合理,所以是否在这种情况应该调整间隔,在可提升空间和预设间隔之间去个最小值。

Experiments


Ablation studies

  • Task-aware disentanglement

  这里对比了TSD与不同的分解策略,比如 即从stride为8的特征图开始分解。

  • Joint training with sibling head
  • Effectiveness of PC
  • Derived proposal learning manner for
  • Delving to the effective PC

Applicable to variant backbones

  基于Faster R-CNN + TSD替换不同主干网络的结果

Applicable to Mask R-CNN

Generalization on large-scale OpenImage

Comparison with state-of-the-Arts

Analysis and discussion

  • Performance in different IoU criteria
  • Performance in different scale criteria
  • What did TSD learn

  从图5可以看出,TSD的定位能够学习不易回归的边界,而分类则专注于局部特征以及目标的上下文信息,这里的点为区域 转换后的中心点

Conclusion


  目前很多研究表明目标检测中的分类分支和定位分支存在较大的偏差,论文从sibling head改造入手,跳出常规的优化方向,提出TSD方法解决混合任务带来的内在冲突,从主干的proposal中学习不同的task-aware proposal,同时结合PC来保证TSD的性能,在COCO上达到了51.2mAP

重磅!CVer-目标检测 微信交流群已成立


扫码添加CVer助手,可申请加入CVer-目标检测 微信交流群,目前已汇集3500人!涵盖2D/3D目标检测、小目标检测、遥感目标检测等。互相交流,一起进步!


同时也可申请加入CVer大群和细分方向技术群,细分方向已涵盖:目标检测、图像分割、目标跟踪、人脸检测&识别、OCR、姿态估计、超分辨率、SLAM、医疗影像、Re-ID、GAN、NAS、深度估计、自动驾驶、强化学习、车道线检测、模型剪枝&压缩、去噪、去雾、去雨、风格迁移、遥感图像、行为识别、视频理解、图像融合、图像检索、论文投稿&交流等群。


一定要备注:研究方向+地点+学校/公司+昵称(如目标检测+上海+上交+卡卡),根据格式备注,可更快被通过且邀请进群

▲长按加群


▲长按关注我们

麻烦给我一个在看!

登录查看更多
0

相关内容

【CVPR 2020-商汤】8比特数值也能训练卷积神经网络模型
专知会员服务
26+阅读 · 2020年5月7日
专知会员服务
164+阅读 · 2020年4月21日
CVPR2020 | 商汤-港中文等提出PV-RCNN:3D目标检测新网络
专知会员服务
45+阅读 · 2020年4月17日
ICCV 2019 | 精确的端到端的弱监督目标检测网络
AI科技评论
11+阅读 · 2019年12月9日
已删除
将门创投
8+阅读 · 2019年6月13日
已删除
将门创投
6+阅读 · 2019年4月10日
【学界】AAAI 2019 论文解读 | 基于区域分解集成的目标检测
GAN生成式对抗网络
8+阅读 · 2019年3月4日
ECCV 2018 | CornerNet:目标检测算法新思路
极市平台
13+阅读 · 2018年8月11日
基于深度学习的图像目标检测(下)
机器学习研究会
12+阅读 · 2018年1月1日
专栏 | CVPR 2017论文解读:特征金字塔网络FPN
机器之心
8+阅读 · 2017年7月25日
S4Net: Single Stage Salient-Instance Segmentation
Arxiv
10+阅读 · 2019年4月10日
UPSNet: A Unified Panoptic Segmentation Network
Arxiv
4+阅读 · 2019年1月12日
Arxiv
6+阅读 · 2018年7月9日
Arxiv
5+阅读 · 2018年5月16日
Arxiv
5+阅读 · 2018年4月17日
Arxiv
3+阅读 · 2018年3月5日
Arxiv
7+阅读 · 2018年1月24日
VIP会员
相关资讯
ICCV 2019 | 精确的端到端的弱监督目标检测网络
AI科技评论
11+阅读 · 2019年12月9日
已删除
将门创投
8+阅读 · 2019年6月13日
已删除
将门创投
6+阅读 · 2019年4月10日
【学界】AAAI 2019 论文解读 | 基于区域分解集成的目标检测
GAN生成式对抗网络
8+阅读 · 2019年3月4日
ECCV 2018 | CornerNet:目标检测算法新思路
极市平台
13+阅读 · 2018年8月11日
基于深度学习的图像目标检测(下)
机器学习研究会
12+阅读 · 2018年1月1日
专栏 | CVPR 2017论文解读:特征金字塔网络FPN
机器之心
8+阅读 · 2017年7月25日
相关论文
S4Net: Single Stage Salient-Instance Segmentation
Arxiv
10+阅读 · 2019年4月10日
UPSNet: A Unified Panoptic Segmentation Network
Arxiv
4+阅读 · 2019年1月12日
Arxiv
6+阅读 · 2018年7月9日
Arxiv
5+阅读 · 2018年5月16日
Arxiv
5+阅读 · 2018年4月17日
Arxiv
3+阅读 · 2018年3月5日
Arxiv
7+阅读 · 2018年1月24日
Top
微信扫码咨询专知VIP会员