【智能制造】【APS】数字化智造下APS软件的架构与展望

2018 年 1 月 7 日 产业智能官

APS(Advanced Planning and Scheduling) 高级计划与排程均衡供应链与生产过程中各种资源;在不同的供应链与生产瓶颈阶段给出最优的生产计划与排程;实现快速计划排程并对需求变化做出快速反应。使用各种先进算法技术的软件。

 

APS系统最初运用是在一个企业的范围内进行生产计划排程的运算和优化,后被扩展到供应链的计划上,这包括供应商、分销商和出货点的需求。

 

不同的APS软件供应商选用不同的优化算法搭建自己的高级计划系统软件,需要根据解决不同的问题来决定采用哪种算法引擎。 

 

各个软件公司都各自及时推出了APS软件。尽管种类很多,但是多数APS都能找到共同的结构特征。一般,APS由若干软件模块组成,这些软件模块又分成若干组件构成,每个软件模块执行某项特定的计划任务。

 

SCOR模型论述了供应链计划中最重要的几个任务,并从两个方面,即计划时间跨度(planning horizon )和供应链流程(supply chainprocess)方面对其分类。

 

SCP矩阵的某一特定部分(如中期采购、生产和配送计划)通常由各自的软件模块进行处理。这些模块的名称因APS供应商而不同,但是它们所支持的计划任务基本上是相同的。

 

通常APS不都能支持所有计划任务。目前,我们仅对软件模块结构和所涉及到的规划任务做大致的了解:

 

战略网络计划(StrategicNetwork Planning)包括所有四个长期规划,特别是工厂选址(plant location)和分销结构 (physical distributionstructure,设计。战略销售计划(strategic sales panning)所引发的一些问题(如在某个市场上该投放哪些产品)也可以包括在内。基本上,该计划决定了供应链设计和供应商与客户之间基本物料的流动。

 

战略销售计划进一步的任务(如长期需求预测)和和中期销售计划一般由需求规划(Demand Planning)模块支持。

 

大多数APS软件供应商都提供需求履行和CTP(DemandFulfillment&CTP)组件,我们用它来制订短期销售计划(short-term sales planning)。   

 

主计划(MasterPlanning)在中期计划的层次上协调采购、生产和配送。一般会同时考虑配送计划、产能计划和中期人员汁划。此外,它也支持主生产计划(Master production scheduling).

 

如果制订生产计划与排程(Production Planning and Scheduling)的任务由两个不同模块承担,那么第一个模块负责确定生产批量(lot sizing),第二个模块则用于制订机器排程(Machine scheduling)和车间控制(shop floor control)。

 

但通常来说,是由一个单独的模块来处理这三项工作。因为非常详尽,所以短期计划层次上制订的计划特别受生产系统组织结构的影响。因此,必须明确所有瓶颈。如果企业采用多级生产流程和产品结构,还必须用一体化管理的方式对其进行协调。为了满足特定行业的特殊要求,一些软件供应商还提供其他种类的生产计划与排程模块。

 

短期运输计划(transport planning)由相应的模块来完成。有时候,还要增加分销计划(distributionplanning)模块来制订比主计划更详尽的物料流动计划。

 

展开BOM与订购物料(BOM explosion and Odering ofmaterial)的工作常常留给ERP系统,ERP传统上就是用以支持这些功能的,而且无论如何这些工作都是交易系统完成的。至于那些非瓶颈物料,完全可以在ERP系统内展开BOM。但ERP系统无法支持原材料和零部件的“高级”采购计划,这些计划应该涉及备选供应商、数量折扣、供给量的上下限(上限受原材料供给量不足的影响,下限受中期供应协议的影响)等因素。只有少数APS供应商推出了特殊的采购与物料需求计划(Purchasing&Material Requirements Planning)模块,该模块可以直接支持(中期到)短期的采购决策。有时,至少会存在一个协作(Collaboration)模块,它有助于加速传统上制造商及其供给者之间互动(协作)的采购流程。不过这种“高级”模块并不多。     

 

APS模块都致力于决策规划。但是,系统的输入信息(inbound,供应商不可靠、机器设备故障)和输出信息(outbound,未知的客户需求)都存在着不确定性。为了抵御这种不确定性,就必须利用缓冲系统,即或者保有安全库存,或者设定安全时间。缓冲不确定性是涉及整个供应链流程的工作,并且实际上无法将该项工作分配给任何一个单独的模块来完成,因为缓冲或容裕度因特定行业和制造策略而不同。多层的优化安全库存计算和分配一般在需求计划模块处理。

 

不同行业的供应链的计划工作存在很大的差异。短期计划工作更是如此。APS软件供应商正在逐渐意识到这一点。因此,他们就同—项计划工作提供几个组件,甚至几个模块,来针对特定类型供应链的特性。

 

软件模块可以被看作某种“计划包”(planning kit)。用户可以购买、安装、使用那些业务需要的模块。大部分情况下,无须安装APS供应商提供的所有模块。有时候(但不经常),也可以将不同供应商的APS模块结合在一起使用。         

 

另一种方法也可能某些APS供应商并不提供所有计划工作所需的软件模块,看起来他们又好像对提供完整解决方案很感兴趣。这时,就可以推出供应商和客户的协作模块。更多时候,APS供应商会将APS模块同ERP、CRM软件捆绑在一起销售,构成一全面的供应链管理软件。因此,当你在浏览各软件公司网页的时候,有时很难找到这套软件中的计划模块(特别功能上),也很难证实前面所提到的APS结构。

 

所以,很多情况下,有三种情况下看不到APS术语,一是被SCM供应链模块所包含;二是被MES制造执行改进的MOM生产运作模块包含;三是以为ERP的计划MRPII已有APS计划逻辑。

 

有时候,软件模块也用来执行一些原先设计中没有的计划任务。例如,可以用主计划模块制订分销配送计划。如果各模块的模型特征非常相似,且同样的计算方法可用于解决不同类型的问题,这种情形就会发生。

 

   除已经提到的软件模块外,供应商经常还提供额外的软件组件来协调不同模块的工作,同时与其他软件系统(如ERP系统或数据库Data Warehouse)相结合使用。

 

但是,做技术准备来建立不同软件模块之间的信息联系只是第一步。关键问题在于哪些信息应及时流到哪一点上。所以问题在于设计、实施计划概念,这些计划概念将根据企业和整个供应链的目标以最有效的方式协调那些软件模块。并且必须满足不同类型供应链的特殊规划要求。通常情况下,APS供应商为特定行业提供解决方案,也就是说他们设计一套软件模块来更好地服务某一行业。

 

软件供应商也经常提供(通常使用互联网技术)对位于不同地点供应链伙伴进行一体化管理的工具。这些软件组件为整个供应链的中、长期计划提供必要数据,并将集中计划的结果传送到各单位。大多数情况下,都要有一个警报系统来集中计划和各自计划之间的互动。由于互联网、云计算技术可以用于各种用途,所以APS供应商将提供越来越多的电子商务工具,例如为购买原材料开放虚拟市场所用的工具。       

 

供应链主要关注“协作”,而非以市场为基础的协调。市场主要是通过价格机制来完成两方或多方之间的协调,因此,协调的本质是竞争,而协作或联合计划(Collaborative planning)的重点是供应链管理所追求的合作。

 

和与供应商的协作。从供应链中某成员的角度来看,两方面的协作对其SCP钜阵(销售和采购方面)都非常重要。两种协作的差异在于与客户的协作是离心型(divergent)结构,而与供应商的协作是向心型(convergent)结构。

 

销售协作(Sales Collaboration)的一个主要应用是中期联合需求计划(mid-termcollaborative demand planning),双方以迭代的方法联合做出预测。在这一过程中,需要对预测进行协调和调整,例如以审判法预测,而不仅仅是汇总数据。特别是在缺货情况下,短期联合预测通过提供备选的产品配置、交货日期和价格等方面的附加信息来支持普通CTP流程。

 

中期采购协作(Procurement Collaboration)流程的任务是就采购计划达成协议,而该采购计划源于主计划。企业需要将产品总量分解,并根据各供应商的供给能力进行分配。迭代式的协作流程能够很好地评估供应商的能力,并加以充分利用。因此,有可能生成避免物料短缺的采购计划和交货安排。    

 

APS系统的供应链建模以支持其长期到短期的决策。对与订单履行流程相关的计划排程任务的一体化管理引领着我们进入了一个新的智能时代,一个对整个企业、整个供应链与生产过程活动进行计划排程的时代。

 

因此,APS系统带来的丰硕成果不仅体现在竞争力的三个关键要素,成本、质量和时间。还将使:

 

  1、流程更加透明;

  2、提高灵活性;

  3、发现系统的制约因素。

 

整个供应链与生产过程中随处可得的信息将产生更加透明的订单履行流程。这使得企业和供应链可以为客户提供有关订单状况的准确信息。一旦由于意外事件导致订单交付延迟,系统也可以及时发出警告。但是在此之前,决策者也寻找、考察其他履行订单的方法,可能是从别的仓库、别的工厂发货,也可以是提供更高级的配件。

 

不仅如此,透明的流程可以减少整个供应链与制造价值链上的浪费,因为过量库存或资源的利用率过低造成的浪费可以被及时发现,且可以提出改进的方法。更重要的是,APS系统的最优化功能可以从一开始就使浪费最少。

 

随着市场和客户期望的迅速改变,供应链与生产过程不仅要对这些变化做出反应,还要能预测新的趋势。有些时候,整个供应链与生产过程中的关键成员就有可能达到这种效果。而另一些时候,灵活性开始扮演重要角色。

 

灵活性可以从两个方面进行讨论:

 

一是能在现有存货水平、装备和人员基础上应对实际需求的变化;二是随着时间的推移,供应链与制造随市场的变化而进行调整,这就是称为敏捷性。APS系统可以同时对这两个方面进行支持。例如,CTP模块可以给出利用当前存货最有效的方法,同样,生产计划与排程模块也可以迅速对新订单组合再次进行最优化处理。APS系统也可以加强供应链的灵活性,因为冻结的(不可改变的)时间跨度显著地缩短了。最后,中期的主计划不仅可以协调各分权的决策单位,还可以随时间的推移制订计划,保持合理的灵活性。

 

为提高竞争力,持续改进过程的关键就是要发现系统的约束因素。不同的计划层次都可以发现系统的约束因素。比如,中期主计划不仅给出既定条件下的最佳解决方案,也同时揭示了瓶颈因素,也就是使我们无法实现更高目标的因素。找出解除约束因素的方法就可以更进一步提高企业的竞争力。这样,我们就可以找到几个可供选择的方案。与过去相比,现在给出方案、找到答案不再是几个星期的事,而只是几个小时的问题。因此,管理人员和计划人员可以比以前更紧密、更有效地合作。

 

有人会认为上述一些看法仅仅是幻想,但是正如一些成功的实践所表明的,已经有一些行业使用APS,而且已经显示出显著的进步。为了将成功扩大到更多的企业制造过程和供应链,必须注意三个主要问题:

 

1、提高APS系统建模和解决问题的能力; 

2、将APS系统的应用范围从车间设备扩展到多中心的供应链; 

3,向管理人员、员工和咨询人员提供特殊培训。    

 

由于大多数APS系统都还在发展,我们希望在不久的将来能引入更多的特色,但是,模型的标准结构还将保持稳定。一些模型的经验表明,对给定生产流程的建模还有一些局限性,因为供应链必须迅速适应新的市场潮流,所以模型应该既易于学习,又能迅速实施,支持随需而变的个性化需求的SOA架构。同样,人们也希望由同一个APS系统提供商提供的所有系统都使用类似的语言(不幸的是,现实并非如此)。

 

    另外,我们也发现并不是所有生成的模型都能在合理的时间内解决问题,或者无法给出令人满意的解决方法,但对模型作微小改动就可以明显提高其解决问题的能力。因此,我们仍在寻找方法来提高模型容量,有效地解决更庞大的问题。

 

    迄今为止,APS系统最适用于集中控制的供应链计划与智能生产调度。尽管从原理上来说,在多中心供应链上实施APS不会有任何信息交换的问题,但是我们无法假定所有人都愿意在“一目了然”(如成本和可用的生产能力)的基础上进行运作。虽然己经引入了联合计划,对于“如何调整不同计划主体制订的计划”的认识仍然在起步阶段。近来,有人提出一些建议,如将供应链上两个相邻计划主体之间的接口看成是“代理”关系。

 

但面对多品种小批量个性定制并达到大规模定制的复杂系统,复杂因素下的集中优化已被分而治之即分布式优化。故APS也必须支持工业4.0的分布式制造Agent代理计划达到集中与分散智能的协作。即SCP、APS、CPS、PCS的松耦合集成。随着工业CPS平台的成熟,真正的智能制造分布式多智能体范式就可实现,智能的满足客户服务。

 

随着AI人工智能的介入到APS系统中,尤其是AI的深度学习,使得APS模型算法可以自我完善,并能自适应的制造中的高度柔性,真正做到自主、分布的系统智慧自治。但要迈过三道坎:


1、工业知识场景训练数据模型的快速提练。

2、能存储足够大的数据量。

3、学习的计算速度、能力与成本等等。

 

为了更有效地使用APS,管理人员和员工必须接受特殊培训,使他们能够解释解决方案,能辨别出与供应链其他部分的接口,能建立假定条件并对警告做出适当的反应。现在的咨询人员除了掌握项目管理、变化管理以及信息科学的基本知识以外,还必须有针对APS不同模块为供应链与制造建模的知识和经验。模型既不能太详尽,也不能太概括,要能支持决策系统,还要有一定的计算能力。不完全的模型不但不能提升反而会削弱供应链与制造的有效。

 

引进APS不单纯是在公司现有软件中加入新的软件包,恰好相反,它将取代许多过去的所谓计划软件。同时,一些过去需要由多名员工参与的决策(如为车间排程)将会自动生成。因此,一些员工将被调到其它岗位,这也许会造成某些抵触情绪。另一方面,APS强大的最优化能力将产生比以前更好的计划,还会以图形交互式方法附带产生对其它方案考察的结果,从而使人们更满意。

 

最后,我们必须谨记引进APS系统将改变企业或供应链与生产运作的方法。满足不同市场细分的业务流程应该在组织结构上反映出来。为了能实现供应链与生产整体的最优,而不陷入次优的陷阱,那些包括不同法律主体或利润中心包括最近的生物组织如阿米巴等的企业必须建立一个有效的奖励机制。最近一些有关APS实施项目的案例证明上述建议应当认真对待。

 

某些APS用户或许发现供应商的承诺、咨询人员和APS软件的能力与他们的期望有些偏差。为了让各个成员的看法更现实,一个好办法就是找到样板。同样,伟大的梦想不可能一蹴而就,逐步引进供应链管理(SCM)、智能制造思想和软件支持系统似乎更合时宜。

 

最近,在数字化工厂转型与智能制造风潮下,APS供应商非常努力地将各行业企业的计划制定和APS的能力结合起来,例如解决多层次供应链安全库存的问题或者引入不同计划层次上不同批量规模的问题,尤其是车间的复杂优化调度。为了更好地适应而采取的进一步战略就是设计个性化的模型,这个模型只集中解决特定行业的特殊需求。

 

供应链管理(SCM)与智能制造和APS 同信息技术和通信技术的新发展密切相关。由于云计算、电子商务和互联网、物联网、大数据技术的迅速发展,订单履行流程就需面对新的挑战。

 

现在,我们必须重新探讨如“供应链的实施”或“数字化工厂转型”等课题,现在,一些软件供应商甚至宣称APS仅仅是一个大软件包的一部分。尽管如此,我们仍然应该牢记APS作为供应链、生产计划的优化引擎,整合各模块和数据流仍然是个艰巨的任务。

 

    至于SCM、MES整体的未来发展,在工业4.0的驱动下,人们将看到SCM将不仅仅专注于订单执行与履行流程,还将整合其相邻流程,如PLM、MES/MOM、EAM、QMS、WMS、BI、BPM等流程。


公众号: 高效计划与智能调度排程研究会

微信号: APS_Society

网站:   www.itapss.org

 

中国很多企业处于亚健康状态,其特征是“三高”即高交期、高库存、高成本。精益生产、MES、APS、供应链优化是消除企业三高的良方,建立高效的计划执行体系,系统的实现卓越制造。




如何运用模拟退火算法进行优化排产?

本文来自公众号:超级数学建模

微信号 :supermodeling


     各位模友,我是你的新朋友小智,原本我正在做算法建模,超模君莫名其妙地拜托我写篇关于算法模型的文章。


实在拗不过超模君,那小智就来讲一讲最近正在看的Job-shop benchmark问


因为一个项目研发的需要,小智啃了几本书(临时抱佛脚虽然不好,但却很有效),结果在一本经典书籍《智能优化算法及其应用》刚好看到Job-shop benchmark问题。

FT06问题


     车间作业调度问题(Job-shop scheduling problem),是生产运营管理领域研究的重要课题。进行作业调度问题的研究对于有效缩短产品加工时间,降低产品生产成本,提高企业生产效率等方面有重要的实际应用价值。


因此在该问题研究过程中,逐渐形成一些基准问题,即Job-shop benchmark问题,目前许多学术论文都以这些基准问题作为对比,检验自己的算法是否能够达到最优解,或者是击中最优解的效率是怎么样。


上文截图中的问题是FT06问题,这个问题的最优解即总加工时间为55。因此,如果要解FT06问题,只需确定总加工时间为55,甚至小于55的作业排序方案。


通俗来说,也就是通过建模调度优化工作流程,有效减少工作时


为了让模友能更好地理解Job-shop问题,小智就以FT06问题为例给大家讲解讲解。


     首先,小智先给大家简单说明这FT06问题究竟是什么。


FT06问题实际上可以看作是有6个玩具需要在6台机器上加工,求解最优解。而把FT06问题中的数字翻译一下,则变成下面两个矩阵:加工顺序矩阵加工时间矩阵




其中,加工顺序矩阵中的数字,代表玩具在各台机器的加工顺序;而加工时间矩阵中的数字,代表玩具在各台机器加工所需要的时间。


除此之外,工厂对玩具的加工还有特殊的流程控制:


1、一台机器在同一时刻只能加工一个玩具;

2、一个玩具在同一时刻只能在一台机器上加工。


好了,相信大家对问题已经有所了解,接下来小智打算用模拟退火的方式来解答求解。


在求解之前,先来回顾一下模拟退火算法



1983 年,S. Kirkpatrick 等人尝试将退火思想引入到组合优化领域,没想到产生奇效,进而创造出模拟退火算法。事实上,模拟退火算法是基于蒙特卡罗思想的随机寻优算法,其出发点是基于物理中固体物质的退火过程与一般组合优化问题之间的相似性。


     通俗点来说,就是材料中粒子的不同结构对应于粒子的不同能量水平,在高温条件下,粒子的能量较高,可以自由运动和重新排列


如果从高温开始非常缓慢地降温,粒子在每个温度下会达到热平。当系统完全被冷却时,最终将形成处于低能状态的晶体。


退火过程即固体物质的降温过程中,固体物质内部不断进行重新排列,并逐渐排列成最低能量状态的结构。


算法上的优化过程则是当前解内部不断进行重新排列,并逐渐排列成实现目标函数最小值的解(求目标函数最大值的问题可以转变为求最小值的问题)


所以会发现,退火过程和优化过程存在明显的相似性。


Metropolis算法简单描述退火过程。


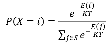
假设材料在状态之下的能量为E(i),那么材料在温度 T 时从状态 进入状态 j 遵循如下规律:

  • 如果 E(i) ≤ E(j),则接受该状态被转换。

  • 如果 E(i) > E(j),则状态转换以如下概率被接受:

其中, 是玻尔兹曼常数, T 是材料温度。    


在特定温度下,经过充分的转换以后,材料达到热平衡。这个时候材料处于状态i的概率满足玻尔兹曼分布:

其中, X 表示材料当前状态的随机变量, S 表示状态空间集合。


那么,当温度非常高时,


其中,|S| 表示集合 S 中状态的数量。


这表示,在温度无限大的情况下,所有状态的出现概率相同。


而当温度下降到很低时,设:

那么:

其中:

 E2 为仅次于 Emin 的最低能量状态,所以:

也就是说:


当温度降到极低时,材料进入最小能量状态的概率为1!


当温度降到极低,材料进入最小能量状态的概率为1!


当温度降到极低,材料进入最小能量状态的概率为1!


因此,如果我们运用退火思想放在优化问题上,在降温过程中问题的解进行充分地“热交换”,即进行充分地重新排列,同样可以帮助我们寻找最优解,理论上也会具有达到全局最优解的性能


这个算法也就是我们常说的“模拟退火算法


      到此为止,算法已回顾完毕,小智决定借助模拟退火的思想来进行优化,此时感觉就像面朝大海春暖花开。


MMP,刚填完一个坑来一坑,这个时候又遇到了一个问题:怎么构造工厂作业排序优化问题的解?


因为在解答该问题中,需要先构造一个可行解,之后才能对这个可行解进行优化。



在小智抖脚思考许久后,决定还是用最简单的数列来计算。


对于以下这串数字,小智称之为自然循环数列:123456, 123456, 123456, 123456, 123456, 123456。


看得懂什么意思吗?如果看不懂,那就对了!


其实,这里的意思是,尝试先构造一个可行解,序列从左到右,可以翻译为,先加工玩具1的工序1,再到加工玩具2的工序1,……,再到加工玩具6的工序1,再到加工玩具1的工序2,再到加工玩具2的工序2……如此类推。


理论上说,假如没有机器的限制,玩具1完成加工工序1的那一刻,可以开始加工玩具2。


       但是,因为有机器的限制,如果玩具1的某个步骤要在机器1上加工,假设此时机器1正在加工别的玩具,那么只有等到机器1完成加工的那一刻,才可以开始加工玩具1的下一步骤。


所以,玩具 i 的第 k 个工序在机器 m 上进行加工,其开始时间为:



我们运用这个原则,以自然循环数列为例,按照文章最开头的机器约束矩阵和加工时间矩阵,作一个甘特图,说明这个数列实际上可以表示工厂作业排序优化问题的解。



这里小智要解释一下,这个甘特图表示了工厂生产玩具的工作流程。图中每一个方块表示一个任务,方块当中标志的数字是指玩具的编号。这个甘特图,横坐标表示时间轴,纵坐标表示机器。从这个甘特图可以发现,一共有M1-M6,六台机器。


最后可以发现,按照这个工作顺序生产玩具,一共生产时间为64分钟。


此时小智重点观察自然循环序列前两位:12,按照这个顺序来执行加工任务,以甘特图来印证:


Step1:执行玩具1的工序1,由机器2来执行,时间为10分钟,对应甘特图机器坐标为M2,时间坐标为0-10。


Step2:执行玩具2的工序1,由机器5来执行,时间为3分钟,对应甘特图机器坐标为M5,时间坐标为0-3。


第3-6步基本类似。我们再聚焦自然循环列第7-10位:1234。按照这个顺序继续执行加工任务, 以甘特图来印证:


Step7:执行玩具1的工序2,由机器3来执行,时间为9分钟。玩具1工序1的结束时间为10,而且机器3先前没有其他任务安排,所以玩具1工序2任务的甘特图机器坐标为M3,时间坐标为10-19。


Step8:执行玩具2的工序2,由机器1来执行,时间为6分钟。玩具2工序1的结束时间为3,而且机器1先前没有其他任务安排,所以玩具2工序2任务的甘特图机器坐标为M1,时间坐标为3-9。


Step 9:执行玩具3的工序2,由机器5来执行,时间为9分钟。玩具3工序1的结束时间为5,机器5先前有任务安排,加工的最后时间为8,所以玩具3工序2的开始时间为 max(5, 8) = 8,甘特图机器坐标为M5,时间坐标为8-17。


Step10:执行玩具4的工序2,由机器1来执行,时间为7分钟。玩具3工序1的结束时间为14,机器1先前有任务安排,加工的最后时间为9,所以玩具4工序2的开始时间为 max(14, 9) = 14,甘特图机器坐标为M1,时间坐标为14-21。

……


流程走到这里,相信大家对整个过程比较明朗了。


按照这个过程,自然循环序列就转变为一张甘特图,进而可以计算出整体的完成时间。


进一步地而言,任何自然循环序列打乱以后的序列,都可以表示这个工厂作业生产优化问题的解。


此时,我们就应该明白解的构造方式了。那接下来这道问题中另一关键点,那就是老解如何变换才能产生新解


由于目前解的构造方式是一组编码,因此可以对这组编码进行重排,即可产生新解,但也需要考虑到保留当前解的有效成分。


考虑以最简单的方式来产生新解,随机调换:在当前解中随机选择两个位置,并对调它们的数值


更换第6个位置和第26个位置的数,产生新解


     算法思想、解的构造、解的产生,这三大问题终于解决了,小智开始设计模拟退火的实现过程了:


第1步,初始化,取一个足够大的初始温度 T0,令当前温度 T = T0,给定一个初始解S1

第2步,随机调换当前解 S的两个位置的数值,产生一个新解 S

第3步,计算增量,Δ = f(S2)– f(S1),其中f为计算解的总生产时间的函数。

第4步,如果 Δ < 0 则接受 S2 作为新的当前解,S2 = S。否则,计算 S2 的接受概率,即在[0,1] 这个区间上面产生一个均匀分布的随机数rand,如果>rand,则接受 S2 作为新的当前解,否则保留当前解 S1 

第5步,进行温度衰减,这里采取 T = α × T

第6步,如果温度没有衰减到设定值 Tend  以下,继续执行第2~5步。


大功告成,小智不禁长长地呼了一口气。


最后,设定模拟退火算法的参数 T= 1α = 0.999Tend = 10-3,执行模拟退火算法。


这个是当前解对应的优化过程展示,可以发现当前解对应的总加工时间不断下降,最后稳定在55分钟处


啥,是不是还没看懂上面这个图想表达的意思,那就看看下面这个甘特图。



利用模拟退火算法,求出工厂玩具排序问题的最优总生产时间为55分钟,达到了FT06问题的最优解。


而这也正是模拟退火算法的应用所在,通过不断的内部调整,使得结果不断优化,最后达到较佳的状态。

 

搞定,今晚可以让超模君请我吃鸡腿了!




人工智能赛博物理操作系统

AI-CPS OS

人工智能赛博物理操作系统新一代技术+商业操作系统“AI-CPS OS:云计算+大数据+物联网+区块链+人工智能)分支用来的今天,企业领导者必须了解如何将“技术”全面渗入整个公司、产品等“商业”场景中,利用AI-CPS OS形成数字化+智能化力量,实现行业的重新布局、企业的重新构建和自我的焕然新生。


AI-CPS OS的真正价值并不来自构成技术或功能,而是要以一种传递独特竞争优势的方式将自动化+信息化、智造+产品+服务数据+分析一体化,这种整合方式能够释放新的业务和运营模式。如果不能实现跨功能的更大规模融合,没有颠覆现状的意愿,这些将不可能实现。


领导者无法依靠某种单一战略方法来应对多维度的数字化变革。面对新一代技术+商业操作系统AI-CPS OS颠覆性的数字化+智能化力量,领导者必须在行业、企业与个人这三个层面都保持领先地位:

  1. 重新行业布局:你的世界观要怎样改变才算足够?你必须对行业典范进行怎样的反思?

  2. 重新构建企业:你的企业需要做出什么样的变化?你准备如何重新定义你的公司?

  3. 重新打造自己:你需要成为怎样的人?要重塑自己并在数字化+智能化时代保有领先地位,你必须如何去做?

AI-CPS OS是数字化智能化创新平台,设计思路是将大数据、物联网、区块链和人工智能等无缝整合在云端,可以帮助企业将创新成果融入自身业务体系,实现各个前沿技术在云端的优势协同。AI-CPS OS形成的字化+智能化力量与行业、企业及个人三个层面的交叉,形成了领导力模式,使数字化融入到领导者所在企业与领导方式的核心位置:

  1. 精细种力量能够使人在更加真实、细致的层面观察与感知现实世界和数字化世界正在发生的一切,进而理解和更加精细地进行产品个性化控制、微观业务场景事件和结果控制。

  2. 智能:模型随着时间(数据)的变化而变化,整个系统就具备了智能(自学习)的能力。

  3. 高效:企业需要建立实时或者准实时的数据采集传输、模型预测和响应决策能力,这样智能就从批量性、阶段性的行为变成一个可以实时触达的行为。

  4. 不确定性:数字化变更颠覆和改变了领导者曾经仰仗的思维方式、结构和实践经验,其结果就是形成了复合不确定性这种颠覆性力量。主要的不确定性蕴含于三个领域:技术、文化、制度。

  5. 边界模糊:数字世界与现实世界的不断融合成CPS不仅让人们所知行业的核心产品、经济学定理和可能性都产生了变化,还模糊了不同行业间的界限。这种效应正在向生态系统、企业、客户、产品快速蔓延。

AI-CPS OS形成的数字化+智能化力量通过三个方式激发经济增长:

  1. 创造虚拟劳动力,承担需要适应性和敏捷性的复杂任务,即“智能自动化”,以区别于传统的自动化解决方案;

  2. 对现有劳动力和实物资产进行有利的补充和提升,提高资本效率

  3. 人工智能的普及,将推动多行业的相关创新,开辟崭新的经济增长空间


给决策制定者和商业领袖的建议:

  1. 超越自动化,开启新创新模式:利用具有自主学习和自我控制能力的动态机器智能,为企业创造新商机;

  2. 迎接新一代信息技术,迎接人工智能:无缝整合人类智慧与机器智能,重新

    评估未来的知识和技能类型;

  3. 制定道德规范:切实为人工智能生态系统制定道德准则,并在智能机器的开

    发过程中确定更加明晰的标准和最佳实践;

  4. 重视再分配效应:对人工智能可能带来的冲击做好准备,制定战略帮助面临

    较高失业风险的人群;

  5. 开发数字化+智能化企业所需新能力:员工团队需要积极掌握判断、沟通及想象力和创造力等人类所特有的重要能力。对于中国企业来说,创造兼具包容性和多样性的文化也非常重要。


子曰:“君子和而不同,小人同而不和。”  《论语·子路》云计算、大数据、物联网、区块链和 人工智能,像君子一般融合,一起体现科技就是生产力。


如果说上一次哥伦布地理大发现,拓展的是人类的物理空间。那么这一次地理大发现,拓展的就是人们的数字空间。在数学空间,建立新的商业文明,从而发现新的创富模式,为人类社会带来新的财富空间。云计算,大数据、物联网和区块链,是进入这个数字空间的船,而人工智能就是那船上的帆,哥伦布之帆!


新一代技术+商业的人工智能赛博物理操作系统AI-CPS OS作为新一轮产业变革的核心驱动力,将进一步释放历次科技革命和产业变革积蓄的巨大能量,并创造新的强大引擎。重构生产、分配、交换、消费等经济活动各环节,形成从宏观到微观各领域的智能化新需求,催生新技术、新产品、新产业、新业态、新模式。引发经济结构重大变革,深刻改变人类生产生活方式和思维模式,实现社会生产力的整体跃升。





产业智能官  AI-CPS



用“人工智能赛博物理操作系统新一代技术+商业操作系统“AI-CPS OS:云计算+大数据+物联网+区块链+人工智能)在场景中构建状态感知-实时分析-自主决策-精准执行-学习提升的认知计算和机器智能;实现产业转型升级、DT驱动业务、价值创新创造的产业互联生态链






长按上方二维码关注微信公众号: AI-CPS,更多信息回复:


新技术“云计算”、“大数据”、“物联网”、“区块链”、“人工智能新产业:智能制造”、“智能农业”、“智能金融”、“智能零售”、“智能城市、“智能驾驶”新模式:“财富空间、“数据科学家”、“赛博物理”、“供应链金融”


官方网站:AI-CPS.NET



本文系“产业智能官”(公众号ID:AI-CPS)收集整理,转载请注明出处!



版权声明产业智能官(公众号ID:AI-CPS推荐的文章,除非确实无法确认,我们都会注明作者和来源。部分文章推送时未能与原作者取得联系。若涉及版权问题,烦请原作者联系我们,与您共同协商解决。联系、投稿邮箱:erp_vip@hotmail.com





登录查看更多
6

相关内容

ERP 是 Enterprise Resource Planning(企业资源计划)的简称。 ERP是针对物资资源管理(物流)、人力资源管理(人才流)、财务资源管理(财流)、信息资源管理(信息流)集成一体化的企业管理系统。
最新《深度多模态数据分析》综述论文,26页pdf
专知会员服务
302+阅读 · 2020年6月16日
德勤:2020技术趋势报告,120页pdf
专知会员服务
192+阅读 · 2020年3月31日
强化学习和最优控制的《十个关键点》81页PPT汇总
专知会员服务
107+阅读 · 2020年3月2日
数据标注研究综述,软件学报,19页pdf
专知会员服务
95+阅读 · 2020年2月20日
【精益】精益生产与智能制造的联系和支撑
产业智能官
39+阅读 · 2019年9月14日
【数字化】数字化转型正在成为制造企业核心战略
产业智能官
35+阅读 · 2019年4月22日
【APS】PCB企业如何实现APS自动排程系统
产业智能官
13+阅读 · 2018年9月24日
【智能制造】智能制造的核心——智能决策
产业智能官
12+阅读 · 2018年4月11日
【智能制造】智能制造技术与数字化工厂应用!
产业智能官
13+阅读 · 2018年2月21日
【智能制造】离散型制造业如何实现智能制造​
产业智能官
7+阅读 · 2017年10月16日
Learning Dynamic Routing for Semantic Segmentation
Arxiv
8+阅读 · 2020年3月23日
Image Segmentation Using Deep Learning: A Survey
Arxiv
47+阅读 · 2020年1月15日
Arxiv
36+阅读 · 2019年11月7日
Neural Image Captioning
Arxiv
5+阅读 · 2019年7月2日
A General and Adaptive Robust Loss Function
Arxiv
8+阅读 · 2018年11月5日
Arxiv
12+阅读 · 2018年9月5日
VIP会员
相关资讯
Top
微信扫码咨询专知VIP会员