ECCV 2020 | CDC:真实世界图像超分辨率网络,分而治之思想的探索应用

2020 年 8 月 12 日 CVer

点击上方“CVer”,选择加"星标"置顶

重磅干货,第一时间送达

本文转载自:AIWalker

标题&作者团队

paper: https://arxiv.org/abs/2008.01928

Code: https://urlify.cn/RZjuQz

Abstract

该文提出了一个大尺度多样性的真实世界图像超分数据集DRealSR,同时提出了一种“分而治之”(Component Divide-and-Conquer, CDC)的超分网络,它探索了low-level图像成分引导的图像超分。DRealSR克服了传统合成图像降质的局限性,构建了一个新的多样性的图像超分基准数据集。一般而言,不同区域的图像超分目的存在一定差异性:平坦区域的平滑性,边缘区域的锐利度,纹理区域的增强性。传统的L1/L2损失超分模型性容易受平坦区域和边缘区域主导,进而导致难以很好的复原复杂纹理。

作者提出了一种“分而治之”的模型与梯度加权损失用于图像超分,该CDC将图像拆分为三个成分并采用三个CABs学习注意力mask以及中间超分结果,同时采用“分而治之”的学习方式。所提GW损失同时提供了一种灵活的策略平衡图像不同成分的训练难度。最后作者通过充分的实验验证了所提方案的优异性能。

该文的主要贡献包含以下几点:

  • 一个大尺度真实世界超分数据集;
  • 一种“分而治之”的图像超分模型;
  • 一种梯度加权损失函数。

Dataset

为什么要重新构建一个真实世界超分数据集呢?这是因为现有图像超分模型训练往往采用合成数据(bicubic降质),而真实世界数据往往复杂的多。它不仅存在降质类型的多样,还存在跨设备的多样性。

鉴于此,作者采用5个数码相机(佳能、索尼、尼康、松下,Olympus)采集自然场景数据(包含室内与室外场景),采用SIFT进行对齐,同时还对LR与HR图像的亮度进行了校正。

注:该数据集已经开源,在官方代码主页上有,链接为:https://pan.baidu.com/share/init?surl=ey9JF4S5wLnE5Iw5z67R8A,提取码:osiy。有需要的同学可以与笔者联系哦,公众号后台留言即可。

CDCSR

前面已经提到:不同区域的超分目标是不同的,传统的“一视同仁”的L1/L2损失往往会受平坦区域和边缘区域主导,而忽视了纹理细节区域。下图给出了不同区域的重建难度示意图,由于图像中包含大量的平坦区域与边缘区域,这就导致了图像过过度拟合这些区域,从而导致生成的图像比较模糊。

image-20200806203648569

考虑到不同区域的重建难度问题,作者构建了一种HGSR网络,见下图。它采用分而治之的思想对图像的不同区域进行不同的监督处理,同时为不同区域赋予不同的梯度加权损失。

image-20200806203150699

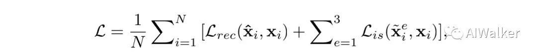
从上图可以看到:它将网络的不同阶段赋予不同的语义信息,比如底层的平坦,中层的边缘,高层的纹理+角点等等。在训练过程中对不同区域添加不同的监督信息。整体的损失函数定义如下:

image-20200806204233268

Hourglass SRNet

写到这里突然不想继续往下写了,因为网络架构方面的东西真的好简单。就简单的介绍一下该文的Hourglass模块吧,见下图。可以看到:它其实就是在UNet的基础上进行了特殊处理。

image-20200806204405951

Experiments

直接上结果吧,不再介绍了,感兴趣的同学建议看原文。下表给出了所提方法、所提数据集交互验证时的性能对比。注:这里进行的两种真实世界超分数据集。

image-20200806204650775

下图给出了超分的视觉效果对比。

image-20200806204929354

最后,作者给出了所提超分网络与其他超分网络在合成数据与DRealSR上的性能对比。

image-20200806205012592

全文到此结束吧,感兴趣的同学请去查看一下原文吧,原文还是挺不错的,哈哈。

推荐阅读


955 不加班的公司名单:955.WLB

北京提供计算机视觉CV算法岗的公司名单

AI算法岗都灰飞烟灭了,我该如何找工作?


下载1


在CVer公众号后台回复PRML,即可下载758页《模式识别和机器学习》PRML电子书和源码该书是机器学习领域中的第一本教科书,全面涵盖了该领域重要的知识点。本书适用于机器学习、计算机视觉、自然语言处理、统计学、计算机科学、信号处理等方向。


PRML


下载2


在CVer公众号后台回复:CVPR2020,即可下载CVPR2020 2020代码开源的论文合集

在CVer公众号后台回复:ECCV2020,即可下载ECCV 2020代码开源的论文合集


重磅!CVer-超分辨率交流群成立


扫码添加CVer助手,可申请加入CVer-超分辨率 微信交流群,目前已满300人,欢迎交流学习。


同时也可申请加入CVer大群和细分方向技术群,细分方向已涵盖:目标检测、图像分割、目标跟踪、人脸检测&识别、OCR、姿态估计、超分辨率、SLAM、医疗影像、Re-ID、GAN、NAS、深度估计、自动驾驶、强化学习、车道线检测、模型剪枝&压缩、去噪、去雾、去雨、风格迁移、遥感图像、行为识别、视频理解、图像融合、图像检索、论文投稿&交流、PyTorch和TensorFlow等群。


一定要备注:研究方向+地点+学校/公司+昵称(如超分辨率+上海+上交+卡卡),根据格式备注,可更快被通过且邀请进群


▲长按加微信群


▲长按关注CVer公众号

整理不易,请给CVer点赞和在看

登录查看更多
1

相关内容

【NeurIPS 2020】一种端到端全自由度抓取姿态估计网络简介
专知会员服务
20+阅读 · 2020年10月18日
近期必读的七篇 ECCV 2020【少样本学习(FSL)】相关论文
专知会员服务
29+阅读 · 2020年8月8日
【泡泡图灵智库】基于草图的图像检索的零元学习
泡泡机器人SLAM
12+阅读 · 2019年9月16日
CVPR 2019 论文大盘点-超分辨率篇
极市平台
77+阅读 · 2019年6月23日
CVPR 2018 | 无监督语义分割之全卷积域适应网络
极市平台
8+阅读 · 2018年6月28日
基于GAN的极限图像压缩框架
论智
12+阅读 · 2018年4月15日
【选介】基于全卷积网络的迭代非盲反卷积
机器学习研究会
7+阅读 · 2017年9月12日
Arxiv
0+阅读 · 2020年10月12日
Precise Detection in Densely Packed Scenes
Arxiv
3+阅读 · 2019年4月8日
Arxiv
3+阅读 · 2018年4月10日
VIP会员
Top
微信扫码咨询专知VIP会员