为什么搜索与推荐场景用AUC评价模型好坏?

2020 年 8 月 5 日 AINLP


文 | 吴海波


在互联网的排序业务中,比如搜索、推荐、广告等,AUC(Area under the Curve of ROC)是一个非常常见的评估指标。网上关于AUC的资料很多,知乎上也有不少精彩的讨论,本文尝试基于自身对AUC的理解做个综述,水平有限,欢迎指出错误。

俗话说,提出正确的问题就成功了一半,本文先提出以下几个问题,希望大家读完能够加深对下列问题的理解。

  1. AUC有几种理解?
  2. AUC的什么特性让它如此受欢迎?
  3. AUC的值和什么有关,多高是高?
  4. AUC提高了是否代表线上指标会提高?
  5. 有没有更好的指标替代AUC?

几种AUC的理解

一般有两大类解释,一种是基于ROC线下面积,需要理解混淆矩阵,包括精确率、召回率、F1 值、ROC等指标的含义。另外一种是基于概率的解释,模型的排序能力。

在参考[1]和[4]中,关于AUC定义本身的讨论非常详细,上述两大类都有不同形式的解释。还包括如何用AUC做目标去优化,AUC的各种计算方法,本文不再赘述,有兴趣的同学自己去看下。

AUC的排序特性

对比accuracy、precision等指标,AUC指标本身和模型预测score绝对值无关,只关注排序效果,因此特别适合排序业务。

为何与模型预测score值无关为何是很好的特性呢?假设你采用precision、F1等指标,而模型预测的score是个概率值,就必须选择一个阈值来决定哪些样本预测是1哪些是0,不同的阈值选择,precision的值会不同,而AUC可以直接使用score本身,参考的是相对顺序,更加好用。

相对于ROC线下面积的解释,个人更喜欢排序能力的解释。参考[2]的解释通俗易懂:

例如0.7的AUC,其含义可以大概理解为:给定一个正样本和一个负样本,在70%的情况下,模型对正样本的打分高于对负样本的打分。可以看出在这个解释下,我们关心的只有正负样本之间的分数高低,而具体的分值则无关紧要。

AUC对均匀正负样本采样不敏感

正由于AUC对分值本身不敏感,故常见的正负样本采样,并不会导致auc的变化。比如在点击率预估中,处于计算资源的考虑,有时候会对负样本做负采样,但由于采样完后并不影响正负样本的顺序分布。

即假设采样是随机的,采样完成后,给定一条正样本,模型预测为score1,由于采样随机,则大于score1的负样本和小于score1的负样本的比例不会发生变化。

但如果采样不是均匀的,比如采用word2vec的negative sample,其负样本更偏向于从热门样本中采样,则会发现auc值发生剧烈变化。

AUC值本身有何意义

我们在实际业务中,常常会发现点击率模型的auc要低于购买转化率模型的auc。正如前文所提,AUC代表模型预估样本之间的排序关系,即正负样本之间预测的gap越大,auc越大。

通常,点击行为的成本要低于购买行为,从业务上理解,点击率模型中正负样本的差别要小于购买力模型,即购买转化模型的正样本通常更容易被预测准。

细心的童鞋会想,既然AUC的值和业务数据本身有关,那么它的值为多少的时候算好呢?

AUC值本身的理论上限

假设我们拥有一个无比强大的模型,可以准确预测每一条样本的概率,那么该模型的AUC是否为1呢?现实常常很残酷,样本数据中本身就会存在大量的歧义样本,即特征集合完全一致,但label却不同。因此就算拥有如此强大的模型,也不能让AUC为1.

因此,当我们拿到样本数据时,第一步应该看看有多少样本是特征重复,但label不同,这部分的比率越大,代表其“必须犯的错误”越多。学术上称它们为Bayes Error Rate,也可以从不可优化的角度去理解。

我们花了大量精力做的特征工程,很大程度上在缓解这个问题。当增加一个特征时,观察下时候减少样本中的BER,可作为特征构建的一个参考指标。

AUC与线上业务指标的宏观关系

AUC毕竟是线下离线评估指标,与线上真实业务指标有差别。差别越小则AUC的参考性越高。比如上文提到的点击率模型和购买转化率模型,虽然购买转化率模型的AUC会高于点击率模型,但往往都是点击率模型更容易做,线上效果更好。

购买决策比点击决策过程长、成本重,且用户购买决策受很多场外因素影响,比如预算不够、在别的平台找到更便宜的了、知乎上看了评测觉得不好等等原因,这部分信息无法收集到,导致最终样本包含的信息缺少较大,模型的离线AUC与线上业务指标差异变大。

总结起来,样本数据包含的信息越接近线上,则离线指标与线上指标gap越小。而决策链路越长,信息丢失就越多,则更难做到线下线上一致。

AUC提升和业务指标不一致

好在实际的工作中,常常是模型迭代的auc比较,即新模型比老模型auc高,代表新模型对正负样本的排序能力比老模型好。理论上,这个时候上线abtest,应该能看到ctr之类的线上指标增长。

实际上经常会发生不一致,首先,我们得排除一些低级错误:

1. 排除bug,线上线下模型predict的结果要符合预期。

2. 谨防样本穿越。比如样本中有时间序类的特征,但train、test的数据切分没有考虑时间因子,则容易造成穿越。

更多细节请看参考[5]和[3]

AUC计算逻辑不足与改进

AUC计算是基于模型对全集样本的的排序能力,而真实线上场景,往往只考虑一个用户一个session下的排序关系。这里的gap往往导致一些问题。正如参考[3]中的举例的几个case,比较典型。主要包括两点:

  1. 线上会出现新样本,在线下没有见过,造成AUC不足。这部分更多是采用online learning的方式去缓解,AUC本身可改进的不多。
  2. 线上的排序发生在一个用户的session下,而线下计算全集AUC,即把user1点击的正样本排序高于user2未点击的负样本是没有实际意义的,但线下auc计算的时候考虑了它。

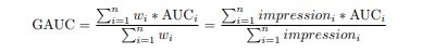
阿里在论文:Deep Interest Network for Click-Through Rate Prediction中提出了group auc来处理上述问题。公式如下:

即以user为group,在对user的impression做加权平均。私以为,只是对用户做group还不够,应该是基于session去做group。

最后,AUC这个问题是在模型优化到一定程度才需要考虑的。大部分情况下,如果模型的auc有大幅提升,线上效果一般是一致的。如果不一致,请先从产品形态去思考有没有坑。


文末福利
后台回复关键词 入群
即刻加入NLP、算法岗求职等讨论群
这里有顶会审稿人、大厂研究员、知乎大V
等你来撩哦~

关注星标

带你解锁最前沿的NLP、搜索与推荐技术

参考文献


[1]如何理解机器学习和统计中的AUC?
https://www.zhihu.com/question/39840928 
[2] 多高的AUC才算高:
https://zhuanlan.zhihu.com/p/24217322 
[3] 线下AUC提升为什么不能带来线上效果提升?--测试和评估的一些真相: 
https://zhuanlan.zhihu.com/p/35459467 
[4] 精确率、召回率、F1 值、ROC、AUC 各自的优缺点是什么? 
https://www.zhihu.com/question/30643044 
[5] 如何解决离线auc和线上点击率不一致的问题? 
https://www.zhihu.com/question/305823078/answer/552640544

推荐阅读

这个NLP工具,玩得根本停不下来

征稿启示| 200元稿费+5000DBC(价值20个小时GPU算力)

完结撒花!李宏毅老师深度学习与人类语言处理课程视频及课件(附下载)

从数据到模型,你可能需要1篇详实的pytorch踩坑指南

如何让Bert在finetune小数据集时更“稳”一点

模型压缩实践系列之——bert-of-theseus,一个非常亲民的bert压缩方法

文本自动摘要任务的“不完全”心得总结番外篇——submodular函数优化

Node2Vec 论文+代码笔记

模型压缩实践收尾篇——模型蒸馏以及其他一些技巧实践小结

中文命名实体识别工具(NER)哪家强?

学自然语言处理,其实更应该学好英语

斯坦福大学NLP组Python深度学习自然语言处理工具Stanza试用

关于AINLP

AINLP 是一个有趣有AI的自然语言处理社区,专注于 AI、NLP、机器学习、深度学习、推荐算法等相关技术的分享,主题包括文本摘要、智能问答、聊天机器人、机器翻译、自动生成、知识图谱、预训练模型、推荐系统、计算广告、招聘信息、求职经验分享等,欢迎关注!加技术交流群请添加AINLPer(id:ainlper),备注工作/研究方向+加群目的。


阅读至此了,分享、点赞、在看三选一吧🙏

登录查看更多
4

相关内容

专知会员服务
21+阅读 · 2020年10月4日
机器学习的可解释性
专知会员服务
178+阅读 · 2020年8月27日
最新《因果推断导论: 从机器学习视角》新书稿,132页pdf
专知会员服务
279+阅读 · 2020年8月25日
【推荐系统/计算广告/机器学习/CTR预估资料汇总】
专知会员服务
88+阅读 · 2019年10月21日
注意力机制模型最新综述
专知会员服务
271+阅读 · 2019年10月20日
一文读懂机器学习模型的选择与取舍
DBAplus社群
13+阅读 · 2019年8月25日
机器学习中如何处理不平衡数据?
机器之心
13+阅读 · 2019年2月17日
决策树
Datartisan数据工匠
4+阅读 · 2018年4月19日
推荐|机器学习中的模型评价、模型选择和算法选择!
全球人工智能
10+阅读 · 2018年2月5日
机器学习(36)之协同过滤典型算法概述【精华】
机器学习算法与Python学习
4+阅读 · 2018年1月20日
如何评价无监督聚类算法
人工智能头条
4+阅读 · 2017年7月7日
Talking-Heads Attention
Arxiv
15+阅读 · 2020年3月5日
Arxiv
3+阅读 · 2018年10月18日
VIP会员
相关VIP内容
专知会员服务
21+阅读 · 2020年10月4日
机器学习的可解释性
专知会员服务
178+阅读 · 2020年8月27日
最新《因果推断导论: 从机器学习视角》新书稿,132页pdf
专知会员服务
279+阅读 · 2020年8月25日
【推荐系统/计算广告/机器学习/CTR预估资料汇总】
专知会员服务
88+阅读 · 2019年10月21日
注意力机制模型最新综述
专知会员服务
271+阅读 · 2019年10月20日
相关资讯
一文读懂机器学习模型的选择与取舍
DBAplus社群
13+阅读 · 2019年8月25日
机器学习中如何处理不平衡数据?
机器之心
13+阅读 · 2019年2月17日
决策树
Datartisan数据工匠
4+阅读 · 2018年4月19日
推荐|机器学习中的模型评价、模型选择和算法选择!
全球人工智能
10+阅读 · 2018年2月5日
机器学习(36)之协同过滤典型算法概述【精华】
机器学习算法与Python学习
4+阅读 · 2018年1月20日
如何评价无监督聚类算法
人工智能头条
4+阅读 · 2017年7月7日
Top
微信扫码咨询专知VIP会员