论文浅尝 | 基于迭代的概率规则约束的知识图谱分布式表示

2018 年 5 月 9 日 开放知识图谱 张文

Citation:Shu Guo, Quan Wang, Lihong Wang, Bin Wang, Li Guo.Knowledge Graph Embeddingwith Iterative Guidance from Soft Rules. AAAI 2018.

动机


图谱的分布式表示旨在将知识图谱中的体和关系表示到连续的向量空中,本文考问题是如何将知识库的分布式表示和逻辑规则结合起来,并提出了一个新的表示学方法 RUGE(Rule-Guided Embedding)。


贡献


(1)本文提出了一种新的知识图谱表示学方法 RUGE,RUGE 在向量表示(embeddings)的学习过程中迭代地而非一次性地加入了逻辑规则束。

(2)本文使用的是已有算法自挖掘的规则,RUGE 的有效性明了算法自挖掘的规则的有效性。

(3)本文提出的方法 RUGE 具有很好的通用型,于不同的逻辑规则和不同置信度的规则棒性


方法 RUGE


1. RUGE 方法的入有三个部分:

1) 已标记的三原:知识库中已有三元

2) 未标记的三元:知识库中不存在的三元。在文中未标记的三元只考了能逻辑规则出的三元

3) 概率逻辑规则:本文主要考了一阶谓词逻辑规则,每一个逻辑规则有一个成立的概率实验中使用的概率规则来自于规则挖掘系AMIE+。

 

2. 模型核心想法如下:

3. 三元表示

本文采用了 ComplEx 作为基础的知识库分布式表示学的模型,在ComplEx中,每一个体和关系都被表示为一个复数向量,一个三元 (e_i,r_k,e_j) 的得分函数设计如

其中 Re<x> 表示取 x 实部的值,bar{e}_j 为 e_j 的共轭向量。正确的三元组得分函数值会较高而不正确的三元组得分函数的值会较低。


4. 逻辑规则的表示

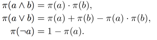
本文借鉴了模糊逻辑的核心思想,将规则的真值看作其组成部件真值的组合。例如一个已经实例化的规则 (e_u, e_s,e_v) =(e_u, e_t,e_v) 的真值将由 (e_u, e_s,e_v) 和 (e_u, e_t,e_v) 的真值决定。根据(Guo et al. 2016)的工作,不同逻辑算子的真值计算如下:

由上三式可推出规则值计算公式:

此规则计算公式是后面规则应用的一个重要依据。


5. 未标记三元组标签预测

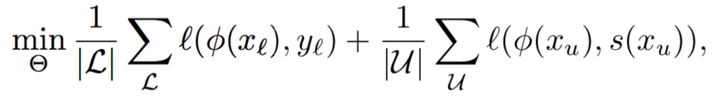
这一步是整个方法的核心,目的在于标记三元标签进预测,并将些三元添加到知识图谱中,再次行知识图谱的分布式表示学习训练,修正向量果。标签预测程主要由两个目

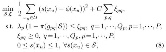
       i.     一:预测标签值要尽可能接近其真的真。由于预测的三元都是未标记的,本文将由当前表示学的向量果按照得分函数算出的果当作其真的真

      ii.      二:预测的真要符合对应逻辑规则束,即通过规则公式算出的真要大于一定的。其中用的规则计算公式如下:

其中 φ(e_u, e_s,e_v) 是当前向量表示算的果,s(e_u, e_t,e_v) 是要预测的真。真值预测训练如下:

过对上式 s(x_u) 导等于 0 可得到 s(x_u) 算公式:

6. 向量表示果的修正

预测标签的三元添加到知识图谱中,和已由的三元一起训练,来修正向量学化的失函数目如下:

上式前半部分是识图谱中真存在的三元束,后半部分为对预测标签的三元束。

 

上步骤在模型训练过程中迭代进行。


实验


链接预测:

实验结果可以看出,规则用提升了表示学果。

 

论文笔记整理:张文,浙江大学博士在,研究方向知识图谱的分布式表示与推理。




OpenKG.CN


中文开放知识图谱(简称OpenKG.CN)旨在促进中文知识图谱数据的开放与互联,促进知识图谱和语义技术的普及和广泛应用。

转载须知:转载需注明来源“OpenKG.CN”、作者及原文链接。如需修改标题,请注明原标题。


点击阅读原文,进入 OpenKG 博客。

登录查看更多
7

相关内容

【斯坦福CS520】向量空间中嵌入的知识图谱推理,48页ppt
专知会员服务
104+阅读 · 2020年6月11日
【人大】大规模知识图谱补全技术的研究进展
专知会员服务
87+阅读 · 2020年5月2日
【斯坦福大学-论文】实体上下文关系路径的知识图谱补全
【AAAI2020知识图谱论文概述】Knowledge Graphs @ AAAI 2020
专知会员服务
134+阅读 · 2020年2月13日
知识图谱本体结构构建论文合集
专知会员服务
110+阅读 · 2019年10月9日
论文浅尝 | 知识图谱三元组置信度的度量
开放知识图谱
24+阅读 · 2019年5月16日
论文浅尝 | 面向知识图谱补全的共享嵌入神经网络模型
开放知识图谱
31+阅读 · 2019年4月7日
论文浅尝 | 基于属性嵌入的知识图谱间实体对齐方法
开放知识图谱
30+阅读 · 2019年3月26日
论文浅尝 | TuckER:基于张量分解的知识图谱补全
开放知识图谱
35+阅读 · 2019年3月17日
论文浅尝 | 用可微的逻辑规则学习完成知识库推理
开放知识图谱
14+阅读 · 2018年7月5日
论文浅尝 | 基于开放世界的知识图谱补全
开放知识图谱
11+阅读 · 2018年7月3日
综述 | 知识图谱向量化表示
PaperWeekly
19+阅读 · 2017年10月25日
Arxiv
14+阅读 · 2019年9月11日
Arxiv
17+阅读 · 2019年3月28日
VIP会员
相关资讯
论文浅尝 | 知识图谱三元组置信度的度量
开放知识图谱
24+阅读 · 2019年5月16日
论文浅尝 | 面向知识图谱补全的共享嵌入神经网络模型
开放知识图谱
31+阅读 · 2019年4月7日
论文浅尝 | 基于属性嵌入的知识图谱间实体对齐方法
开放知识图谱
30+阅读 · 2019年3月26日
论文浅尝 | TuckER:基于张量分解的知识图谱补全
开放知识图谱
35+阅读 · 2019年3月17日
论文浅尝 | 用可微的逻辑规则学习完成知识库推理
开放知识图谱
14+阅读 · 2018年7月5日
论文浅尝 | 基于开放世界的知识图谱补全
开放知识图谱
11+阅读 · 2018年7月3日
综述 | 知识图谱向量化表示
PaperWeekly
19+阅读 · 2017年10月25日
Top
微信扫码咨询专知VIP会员