因果森林总结:基于树模型的异质因果效应估计

2022 年 8 月 11 日 PaperWeekly


©作者 | Zicon

单位 | 广东工业大学

研究方向 | 因果推断



本文中各类 forest-based methods 主要从 split 和 predict 两个角度展开,忽略渐进高斯性等理论推导。




Random Forest

传统随机森林由多棵决策树构成,每棵决策树在第 i 次 split 的时候,分裂准则如下(这里关注回归树):


其中 表示在 的划分情况下, 所在的叶子结点。随机森林构建完成后,给定测试数据 ,预测值为:




Causal Forest


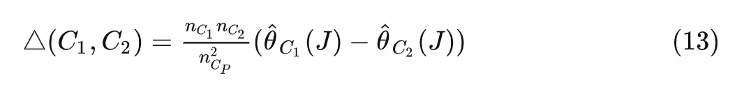
类似地,因果森林由多棵因果树构成,由于需要 Honest estimation(用互不重合的数据 分别进行 split 和 estimate),因此相较于决策树,每棵因果树 split 的分裂准则修改如下:


其中:


在叶子结点内可以认为所有样本同质,所以因果森林构建完成后,给定测试数据 ,其预测值为:



Generalized Random Forest


广义随机森林可以看作是对随机森林进行了推广:原来随机森林只能估计观测目标值 ,现在广义随机森林可以估计任何感兴趣的指标
3.1 predict

先假设我们在已经有一棵训练好的广义随机森林,现在关注给定测试数据,如何预测我们感兴趣的指标?

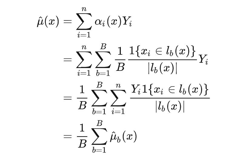
通过公式 (2) 和 (3),传统随机森林预测的做法是:

1. 在单棵树中,将测试数据 所在叶子结点的观测目标值取平均作为该树对 的预测;
2. 在多棵树中,将单棵树的不同预测结果取平均作为最终的预测结果。
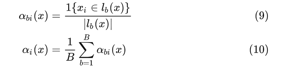
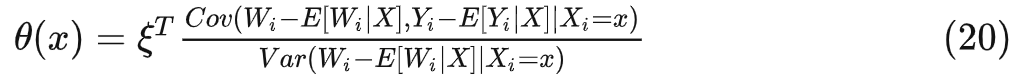
而在广义随机森林中,首先基于因果森林得到各数据 相对于测试数据 的权重 ,之后加权求解局部估计等式,具体地:
权重估计阶段: 将数据 与测试数据 在同一叶子结点中的“共现频率”作为其权重,如下:


加权求解局部估计等式阶段: 下式中 表示我们感兴趣的参数, 表示我们不感兴趣但必须估计的参数, 表示观测到的与我们感兴趣的参数相关的值。


在 predict 阶段,我们可以证明,随机森林恰好是广义随机森林的一个特例,证明如下:
首先,在随机森林的 setting 下, ,我们感兴趣的参数恰好
极大似然函数为 其 score function
因此公式 (11) 为:


因此有 可得:



3.2 split
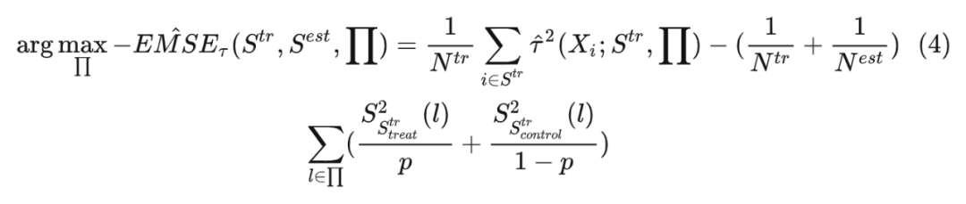
首先,由于广义随机森林的目标是准确估计感兴趣的参数 ,因此针对单一节点 与一组样数据 ,估计参数 的方法是:


接着,我们要将节点 P 分裂为两个子节点 ,分裂的目标是极小化感兴趣的参数的误差:
但是实际上 是不可见的,经过一番推导,最终可以发现最小化 等价于最大化下面的公式:
也就是说,最小化感兴趣的参数的误差等价于最大化两个子节点的异质性。
如果每个 都通过求解式 (12) 获得,那算法的计算复杂度非常高,因此可以通过 gradient-based 的方法去得到 的近似解:
至此,我们可以将 split 分成两个阶段:
标记阶段: 计算父节点的 ,之后针对每个样本计算虚拟的目标值:

回归阶段: 分裂准则为最大化式 (14):


在 split 阶段,也可以证明随机森林是广义随机森林的一个特例:
首先,在随机森林的 setting 下,score function 为
此时:


3.3 局部估计等式

在广义随机森林中,假设下列的数据产生过程:


这里 ,有:


此时  相当于:


带上权重 的时候类似。

3.4 other

causal forest 和 generalized random forest 的分裂准则其实是等价的,只不过式 (4) 考虑了下式的 b 和 c 两部分,式 (13)/(15) 只考虑了 b 部分:





Orthogonal Random Forest


orthogonal random forest 只是在 generalized random forest 的基础上进行了两个改动:
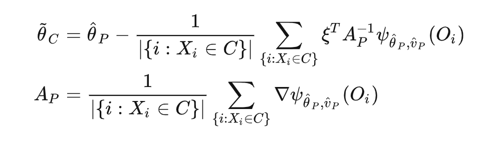
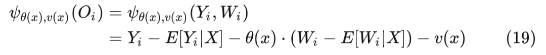
加了 DML: 在一开始先拟合 ,得到残差(first stage);再对残差跑 generalized random forest(second stage)。与广义随机森林的 score function (16) 相比,正交随机森林的 score function 的定义如下:


此时     相当于:

带上权重 的时候类似:
在 predict 阶段强调 locally,即拟合 的时候(DML 的 first stage)使用上权重




TO DO

记录一个还没想明白的问题,路过的大佬有懂的欢迎讨论。

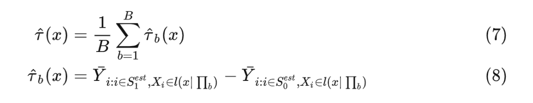
到这里我们可以发现一个节点内的数据的 HTE 有两种计算方式:
一种是如式 (8) 所示,直接计算不同 treatment 组的期望相减,即
另外一种是求解式 (12) 的局部估计等式。
在随机森林假设的线性 treatment effect 的情况下,这两种计算本质上是等价的。那为什么式 (13) 中的 不能直接用第一种方式求,而是要大费周章地用梯度去近似呢?
目前的结论:上述等价性成立的前提是线性 effect 和二元 treatments 假设,第二种计算方式可以推广到多元甚至连续 treatments。


参考文献


[1] Athey S, Imbens G. Recursive partitioning for heterogeneous causal effects[J]. Proceedings of the National Academy of Sciences, 2016, 113(27): 7353-7360.

[2] Wager S, Athey S. Estimation and inference of heterogeneous treatment effects using random forests[J]. Journal of the American Statistical Association, 2018, 113(523): 1228-1242.

[3] Athey S, Tibshirani J, Wager S. Generalized random forests[J]. The Annals of Statistics, 2019, 47(2): 1148-1178.

[4] Oprescu M, Syrgkanis V, Wu Z S. Orthogonal random forest for causal inference[C]//International Conference on Machine Learning. PMLR, 2019: 4932-4941.





更多阅读



#投 稿 通 道#

 让你的文字被更多人看到 



如何才能让更多的优质内容以更短路径到达读者群体,缩短读者寻找优质内容的成本呢?答案就是:你不认识的人。


总有一些你不认识的人,知道你想知道的东西。PaperWeekly 或许可以成为一座桥梁,促使不同背景、不同方向的学者和学术灵感相互碰撞,迸发出更多的可能性。 


PaperWeekly 鼓励高校实验室或个人,在我们的平台上分享各类优质内容,可以是最新论文解读,也可以是学术热点剖析科研心得竞赛经验讲解等。我们的目的只有一个,让知识真正流动起来。


📝 稿件基本要求:

• 文章确系个人原创作品,未曾在公开渠道发表,如为其他平台已发表或待发表的文章,请明确标注 

• 稿件建议以 markdown 格式撰写,文中配图以附件形式发送,要求图片清晰,无版权问题

• PaperWeekly 尊重原作者署名权,并将为每篇被采纳的原创首发稿件,提供业内具有竞争力稿酬,具体依据文章阅读量和文章质量阶梯制结算


📬 投稿通道:

• 投稿邮箱:hr@paperweekly.site 

• 来稿请备注即时联系方式(微信),以便我们在稿件选用的第一时间联系作者

• 您也可以直接添加小编微信(pwbot02)快速投稿,备注:姓名-投稿


△长按添加PaperWeekly小编




🔍


现在,在「知乎」也能找到我们了

进入知乎首页搜索「PaperWeekly」

点击「关注」订阅我们的专栏吧


·

登录查看更多
0

相关内容

随机森林 指的是利用多棵树对样本进行训练并预测的一种分类器。

知识荟萃

精品入门和进阶教程、论文和代码整理等

更多

查看相关VIP内容、论文、资讯等
专知会员服务
30+阅读 · 2021年5月20日
[WWW2021]图结构估计神经网络
专知会员服务
43+阅读 · 2021年3月29日
专知会员服务
22+阅读 · 2021年3月25日
【WWW2021】基于双侧深度上下文调制的社会化推荐系统
专知会员服务
28+阅读 · 2021年1月28日
专知会员服务
47+阅读 · 2020年10月5日
最新《因果推断导论: 从机器学习视角》新书稿,132页pdf
专知会员服务
279+阅读 · 2020年8月25日
【经典书】机器学习高斯过程,266页pdf
专知会员服务
200+阅读 · 2020年5月2日
生成扩散模型漫谈:最优扩散方差估计(下)
PaperWeekly
0+阅读 · 2022年10月10日
图嵌入模型综述: 方法、数据集与应用
机器学习与推荐算法
0+阅读 · 2022年7月6日
目标检测回归损失函数总结
极市平台
0+阅读 · 2021年10月27日
机器学习中的最优化算法总结
人工智能前沿讲习班
22+阅读 · 2019年3月22日
数据分析师应该知道的16种回归方法:泊松回归
数萃大数据
35+阅读 · 2018年9月13日
机器学习(17)之集成学习原理总结
机器学习算法与Python学习
19+阅读 · 2017年9月16日
回归预测&时间序列预测
GBASE数据工程部数据团队
44+阅读 · 2017年5月17日
国家自然科学基金
5+阅读 · 2013年12月31日
国家自然科学基金
0+阅读 · 2013年12月31日
国家自然科学基金
0+阅读 · 2013年12月31日
国家自然科学基金
3+阅读 · 2012年12月31日
国家自然科学基金
0+阅读 · 2012年12月31日
国家自然科学基金
0+阅读 · 2012年12月31日
国家自然科学基金
0+阅读 · 2012年12月31日
国家自然科学基金
0+阅读 · 2012年12月31日
国家自然科学基金
0+阅读 · 2012年12月31日
国家自然科学基金
26+阅读 · 2011年12月31日
Arxiv
0+阅读 · 2022年11月22日
Arxiv
30+阅读 · 2022年9月10日
Arxiv
13+阅读 · 2021年5月3日
VIP会员
相关VIP内容
专知会员服务
30+阅读 · 2021年5月20日
[WWW2021]图结构估计神经网络
专知会员服务
43+阅读 · 2021年3月29日
专知会员服务
22+阅读 · 2021年3月25日
【WWW2021】基于双侧深度上下文调制的社会化推荐系统
专知会员服务
28+阅读 · 2021年1月28日
专知会员服务
47+阅读 · 2020年10月5日
最新《因果推断导论: 从机器学习视角》新书稿,132页pdf
专知会员服务
279+阅读 · 2020年8月25日
【经典书】机器学习高斯过程,266页pdf
专知会员服务
200+阅读 · 2020年5月2日
相关资讯
生成扩散模型漫谈:最优扩散方差估计(下)
PaperWeekly
0+阅读 · 2022年10月10日
图嵌入模型综述: 方法、数据集与应用
机器学习与推荐算法
0+阅读 · 2022年7月6日
目标检测回归损失函数总结
极市平台
0+阅读 · 2021年10月27日
机器学习中的最优化算法总结
人工智能前沿讲习班
22+阅读 · 2019年3月22日
数据分析师应该知道的16种回归方法:泊松回归
数萃大数据
35+阅读 · 2018年9月13日
机器学习(17)之集成学习原理总结
机器学习算法与Python学习
19+阅读 · 2017年9月16日
回归预测&时间序列预测
GBASE数据工程部数据团队
44+阅读 · 2017年5月17日
相关基金
国家自然科学基金
5+阅读 · 2013年12月31日
国家自然科学基金
0+阅读 · 2013年12月31日
国家自然科学基金
0+阅读 · 2013年12月31日
国家自然科学基金
3+阅读 · 2012年12月31日
国家自然科学基金
0+阅读 · 2012年12月31日
国家自然科学基金
0+阅读 · 2012年12月31日
国家自然科学基金
0+阅读 · 2012年12月31日
国家自然科学基金
0+阅读 · 2012年12月31日
国家自然科学基金
0+阅读 · 2012年12月31日
国家自然科学基金
26+阅读 · 2011年12月31日
Top
微信扫码咨询专知VIP会员