【专栏】阿里SIGIR 2017论文:GAN在信息检索领域的应用

2017 年 8 月 7 日 GAN生成式对抗网络

选自 Alibaba Group

机器之心报道

信息检索领域的顶级会议 SIGIR 2017 即将开幕。昨日,机器之心报道了阿里被 SIGIR 2017 接收的一篇论文,据了解阿里共有 3 篇论文被此大会接收。本文介绍了另一篇英国伦敦大学、上海交大、阿里等合著的论文



论文链接:https://arxiv.org/pdf/1705.10513.pdf


Information Retrieval(IR)的典型问题是给出一些查询词(query),返回一个排序的文档列表(documents),但 IR 的应用范围可以扩展到文档检索、网页搜索、推荐系统、QA 问答系统和个性化广告等等。在 IR 的理论或模型领域,有两种典型的思维方式(如图所示):



  1. 生成式 IR 模型:第一种思想认为 documents 和 query 之间有一个隐含的随机生成(generative)过程,可以表示成:q→d,其中 q 表示 query,d 表示 document,箭头表示生成的方向,生成模型对 p(d|q) 进行建模。

  2. 判别式 IR 模型:第二种思想采用了机器学习的方法,将 IR 的问题转化成一个判别(discriminative)问题;可以表示成:q+d →r,其中+表示 query 和 document 的特征的组合,r 表示相关性,如果 r 为 0 或 1,则问题是一个分类问题,如果 r 是一个相关分数,则问题是一个回归问题;现在著名的方法就是排序学习(Learning to Rank)。排序学习可以分为 Pointwise、Pairwise 和 Listwise 三种模型。


虽然 IR 的生成模型在 Query 和 Document 的特征建模(例如文本统计)的方面非常成功,但它在利用来自其他的相关性信息(如链接,点击等等)方面遇到了很大的困难,而这些信息主要可以在现在互联网的应用中观察得到。于此同时,虽然诸如排序学习的 IR 判别模型能够从大量的标记和未标记的数据中隐式地学习检索排序函数,但是它目前缺乏从大量未标记数据中获取有用特征或收集有用信号的原则性方法,特别是从文本统计(源自 Document 和 Query 两方面)或从集合内相关文档的分布中。


应用 GAN 的思想,IRGAN 引入博弈论中的 minmax 博弈,来将生成式 IR 模型和判别式 IR 模型进行结合。具体来说,我们为两个模型定义一个共同的检索函数(例如基于判别的目标函数)。一方面,判别模型  旨在通过从标记数据中学习来最大化目标函数,并为生成模型提供训练的指导性信息。另一方面,生成模型  充当挑战者,不断地将判别器的 decision boundary 推向其极限它为判别器迭代地提供最困难的情况,判别器通过对抗的最小化目标函数来重新训练自身。


下面具体地介绍 IRGAN 的方法,会分别介绍 GAN 中对应的 Discriminator(D)和 Generator(G)。


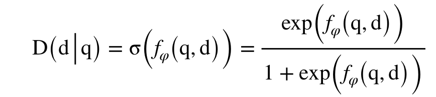
1. Discriminator:  ,其中,φ 是 D 的参数。D 的输入时 Query-Document 对数据(q,d),而输出则是这对数据是否匹配。这相当于一个二分类问题,可以通过 logistic regression 给出:



与原始的 GAN 相同,D 的,目标是最大化:



2. Generator: ,其中,θ 是 G 的参数。G 的输入时 Query,输出是与 Query 相关的 documents 的概率分布,相关性即由这个概率分布表示。  由 Softmax 函数给出:



G 的目标是最小化:



对 IRGAN 的 training 部分,G 和 D 交叉进行更新。对于 D,可以采用梯度下降更新法;对于 G,由于 G 的输出是离散 documents 的概率分布,没办法直接采用梯度下降的方法求 G 的梯度,针对这种使用 GAN 训练离散数据的问题,可以采用强化学习中 Policy Gradient 的方法,reward 由 D 给出。整个训练过程如下图算法所示:



在实验部分,做了三个不同的 IR 任务:Web Search,Item Recommendation 和 Question Answering,实验结果表明,IRGAN 模型打败了多种 strong baseline。开源代码在:https://github.com/geek-ai/irgan。



阿里巴巴 SIGIR 2017 论文解读专栏:



高质量延伸阅读

☞ 【学界】康奈尔大学说对抗样本出门会失效,被OpenAI怼回来了!

☞ 警惕人工智能系统中的木马、病毒 ——深度学习对抗样本简介

☞ 【生成图像】Facebook发布的LR-GAN如何生成图像?这里有一篇Pytorch教程

☞ 【智能自动化学科前沿讲习班第1期】国立台湾大学(位于中国台北)李宏毅教授:Anime Face Generation

☞ 【变狗为猫】伯克利图像迁移cycleGAN,猫狗互换效果感人

☞ 【论文】对抗样本到底会不会对无人驾驶目标检测产生干扰?又有人发文质疑了

【智能自动化学科前沿讲习班第1期】王飞跃教授:生成式对抗网络GAN的研究进展与展望

【开发】看完立刻理解GAN!初学者也没关系

【专栏】基于对抗学习的生成式对话模型的坚实第一步 :始于直观思维的曲折探索

☞ 【重磅】平行将成为一种常态:从SimGAN获得CVPR 2017最佳论文奖说起

☞ 【最新】OpenAI:3段视频演示无人驾驶目标检测强大的对抗性样本!

☞  【干货】生成对抗网络(GAN)之MNIST数据生成

☞ 【论文】CVPR 2017最佳论文出炉,DenseNet和苹果首篇论文获奖

☞   AI侦探敲碎深度学习黑箱

☞ 【深度学习】解析深度学习的局限性与未来,谷歌Keras之父「连发两文」发人深省

☞   苹果重磅推出AI技术博客,CVPR合成逼真照片论文打响第一枪

☞ 【Ian Goodfellow 五问】GAN、深度学习,如何与谷歌竞争

☞ 【巨头升级寡头】AI产业数据称王,GAN和迁移学习能否突围BAT垄断?

☞ 【高大上的DL】BEGAN: Boundary Equilibrium GAN

☞ 【最详尽的GAN介绍】王飞跃等:生成式对抗网络 GAN 的研究进展与展望

☞ 【最全GAN变体列表】Ian Goodfellow推荐:GAN动物园

☞   二十世纪的十大科学骗局

☞ 【DCGAN】深度卷积生成对抗网络的无监督学习,补全人脸合成图像匹敌真实照片

【学界】让莫奈画作变成照片:伯克利图像到图像翻译新研究

☞ 【DualGAN】对偶学习的生成对抗网络

☞ 【开源】收敛速度更快更稳定的Wasserstein GAN(WGAN)

☞ 【Valse 2017】生成对抗网络(GAN)研究年度进展评述

☞ 【开源】谷歌新推BEGAN模型用于人脸数据集:效果惊人!

☞ 【深度】Ian Goodfellow AIWTB开发者大会演讲:对抗样本与差分隐私

☞   论文引介 | StackGAN: Stacked Generative Adversarial Networks

☞ 【专题GAN】GAN应用情况调研

☞ 【纵览】从自编码器到生成对抗网络:一文纵览无监督学习研究现状

☞ 【论文解析】Ian Goodfellow 生成对抗网络GAN论文解析

☞ 【VALSE 前沿】利用对抗学习改进目标检测的结果

☞ 【干货】全面分析GAN,以及如何用TF实现GAN?

☞   苹果首份AI论文横空出世,提出SimGAN训练方法

☞ 【推荐】条条大路通罗马LS-GAN:把GAN建立在Lipschitz密度上

☞   到底什么是生成式对抗网络GAN?

☞   看穿机器学习(W-GAN模型)的黑箱

☞   看穿机器学习的黑箱(II)

【Geometric GAN】引入线性分类器SVM的Geometric GAN

☞ 【征稿】“生成式对抗网络GAN技术与应用”专刊

☞ 【GAN for NLP】PaperWeekly 第二十四期 --- GAN for NLP

☞ 【学界 】 从感知机到GAN,机器学习简史梳理

☞ 【Demo】GAN学习指南:从原理入门到制作生成Demo

☞ 【学界】伯克利与OpenAI整合强化学习与GAN:让智能体学习自动发现目标

☞ 【解读】通过拳击学习生成对抗网络(GAN)的基本原理

☞ 【人物 】Ian Goodfellow亲述GAN简史:人工智能不能理解它无法创造的东西

☞ 【DCGAN】DCGAN: 一类稳定的GANs

☞ 【DCGAN】DCGAN:深度卷积生成对抗网络的无监督学习,补全人脸合成图像匹敌真实照片

☞ 【原理】 直观理解GAN背后的原理:以人脸图像生成为例

☞ 【干货】深入浅出 GAN·原理篇文字版(完整)

☞   带你理解CycleGAN,并用TensorFlow轻松实现

☞   PaperWeekly 第39期 | 从PM到GAN - LSTM之父Schmidhuber横跨22年的怨念

☞ 【CycleGAN】加州大学开源图像处理工具CycleGAN

☞ 【SIGIR2017满分论文】IRGAN:大一统信息检索模型的博弈竞争

☞ 【贝叶斯GAN】贝叶斯生成对抗网络(GAN):当下性能最好的端到端半监督/无监督学习

☞ 【贝叶斯GAN】贝叶斯生成对抗网络(GAN):当下性能最好的端到端半监督/无监督学习

☞ 【GAN X NLP】自然语言对抗生成:加拿大研究员使用GAN生成中国古诗词

☞    ICLR 2017 | GAN Missing Modes 和 GAN

☞ 【论文汇总】生成对抗网络及其变体

☞ 【AI】未来AI这样帮你一键修片,那还有PS什么事?

☞ 【学界】CMU新研究试图统一深度生成模型:搭建GAN和VAE之间的桥梁

☞ 【专栏】大漠孤烟,长河落日:面向景深结构的风景照生成技术

☞ 【开发】最简单易懂的 GAN 教程:从理论到实践(附代码)

☞ 【论文访谈】求同存异,共创双赢 - 基于对抗网络的利用不同分词标准语料的中文分词方法

☞ 【LeCun论战Yoav】自然语言GAN惹争议:深度学习远离NLP?

☞ 【争论】从Yoav Goldberg与Yann LeCun争论,看当今的深度学习、NLP与arXiv风气

☞ 【观点】Yoav Goldberg撰文再回应Yann LeCun:「深度学习这群人」不了解NLP(附各方评论)

☞   PaperWeekly 第41期 | 互怼的艺术:从零直达 WGAN-GP

☞ 【业界】CMU和谷歌联手研制左右互搏的对抗性机器人

☞ 【谷歌 GAN 生成人脸】对抗创造新艺术风格,128 像素扩展到 4000

☞ 【原理】模拟上帝之手的对抗博弈——GAN背后的数学原理

☞ 【原理】只知道GAN你就OUT了——VAE背后的哲学思想及数学原理

登录查看更多
0

相关内容

信息检索杂志(IR)为信息检索的广泛领域中的理论、算法分析和实验的发布提供了一个国际论坛。感兴趣的主题包括对应用程序(例如Web,社交和流媒体,推荐系统和文本档案)的搜索、索引、分析和评估。这包括对搜索中人为因素的研究、桥接人工智能和信息检索以及特定领域的搜索应用程序。 官网地址:https://dblp.uni-trier.de/db/journals/ir/
WSDM 2020教程《深度贝叶斯数据挖掘》,附257页PPT下载
专知会员服务
157+阅读 · 2020年2月7日
专知会员服务
88+阅读 · 2020年1月20日
【综述】关键词生成,附10页pdf论文下载
专知会员服务
54+阅读 · 2019年11月20日
【领域报告】主动学习年度进展|VALSE2018
深度学习大讲堂
15+阅读 · 2018年6月12日
赛尔推荐 | 第12期
哈工大SCIR
4+阅读 · 2018年5月2日
领域应用 | 深度学习在知识图谱构建中的应用
开放知识图谱
5+阅读 · 2018年3月19日
【应用】深度对抗学习在图像分割和超分辨率中的应用
GAN生成式对抗网络
4+阅读 · 2017年9月12日
GAN | GAN介绍(2)
中国科学院网络数据重点实验室
44+阅读 · 2017年8月4日
自然语言处理技术(NLP)在推荐系统中的应用
CSDN大数据
4+阅读 · 2017年6月29日
SIGIR2017 满分论文:IRGAN | 每周一起读
PaperWeekly
4+阅读 · 2017年6月19日
Arxiv
8+阅读 · 2019年2月15日
Arxiv
5+阅读 · 2018年10月23日
Arxiv
5+阅读 · 2018年5月21日
VIP会员
相关VIP内容
相关资讯
【领域报告】主动学习年度进展|VALSE2018
深度学习大讲堂
15+阅读 · 2018年6月12日
赛尔推荐 | 第12期
哈工大SCIR
4+阅读 · 2018年5月2日
领域应用 | 深度学习在知识图谱构建中的应用
开放知识图谱
5+阅读 · 2018年3月19日
【应用】深度对抗学习在图像分割和超分辨率中的应用
GAN生成式对抗网络
4+阅读 · 2017年9月12日
GAN | GAN介绍(2)
中国科学院网络数据重点实验室
44+阅读 · 2017年8月4日
自然语言处理技术(NLP)在推荐系统中的应用
CSDN大数据
4+阅读 · 2017年6月29日
SIGIR2017 满分论文:IRGAN | 每周一起读
PaperWeekly
4+阅读 · 2017年6月19日
Top
微信扫码咨询专知VIP会员