数学家教你烤肉饼:按最佳时机翻面可节省近1/3烹饪时间,网友:想去汉堡王应聘厨子了

2022 年 8 月 22 日 量子位
万博 发自 凹非寺
量子位 | 公众号 QbitAI

不得了!现在连烤个肉饼都需要数学加持了。

最近,一位等离子体物理学博士用三大偏微分方程中的热方程 (The Heat Equation)证明:

在烤肉的过程中,多次反转肉饼使其两面多次加热,可以加快肉饼烤制的速度,最佳策略下能节省29%的烹饪时间

而且,翻转肉饼的最佳时机也暗藏玄机:

前几次翻转间隔时间要大概一致,而最后一次,则需要等久一点再翻面。

相关论文已上传到arXiv上。

这个方法要是被汉堡大户KFC们知道了,还不笑开花?

不仅节省燃料成本,出菜速度也提上来了,妥妥降本增效小妙招啊。

不过,也有网友表示,一般情况下我都会遵从科学指示,不过吃这件事上还是烤肉的品质更重要:

还有网友表示,想拿着这篇论文去应聘汉堡王的大厨了:

多次翻面烤肉熟得快

在此之前,科学食品作家哈罗德-麦基 (Harold McGee)已经提出:

如果在烤肉的过程中,通过多次快速翻转肉饼,就能让肉饼的两面同时加热,这种操作相比烤完一面再烤另一面的常规烹饪方式,烹饪时间更短。

但是这种猜想,并没有在理论层面进行证实。

于是,来自威斯康星大学麦迪逊分校的数学家:让-吕克-蒂菲奥特 (Jean-Luc Thiffeault),用一个基于热方程的数学模型,让这一猜想得到实锤。

整个证明过程,是这样的:

首先,蒂菲奥特设想了一个场景:

对一个厚度为1厘米,面积无限大的肉饼进行烤制,温度设定为200⁰C。

烤制过程中,肉饼的厚度设定为z˜=0到z˜=L,温度变化满足热方程Te t˜= κTez˜z˜,0 < z < L,˜ t >˜ 0。

方程的初始条件为Te(˜z, 0) = Te0(˜z),边界设定为牛顿冷却定律− k Tez˜(0,t˜) = h˜ 0 (TH − Te(0,t˜)), k Tez˜(L,t˜) = h˜ 1 (TC − Te(L,t˜)。

(这里的热方程理论,是19世纪由约瑟夫·傅立叶提出的,主要作用是模拟热定在给定区域的扩散过程。)

当肉饼加热到70⁰C度时,证明肉饼可以出炉了。

之后,在满足上述模型和设定条件下,蒂菲奥特模拟了肉饼只翻动一次和多次翻动情境下的烤制时间。

结果表明,烤制过程中多次翻动肉饼,的确可以达到类似同时双面烤制的效果,大大缩短烤制的时间。

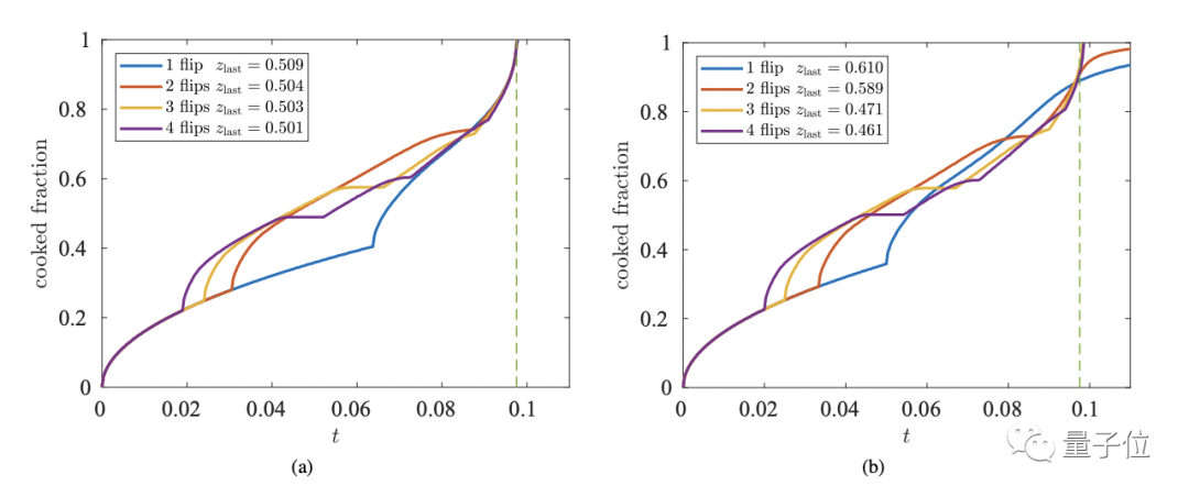
将翻面时的受热状况用图表示出来就是这样的:

麦基的猜想得到证实,接下来的一个问题就是:

如何翻转肉饼时间才是最短的?

蒂菲奥特模拟不同的翻转次数和翻转的间隔时间,同时用数学软件MATLAB对模拟过程进行了优化。

通过不断调整翻转次数和间隔时间,蒂菲奥特有了3大发现:

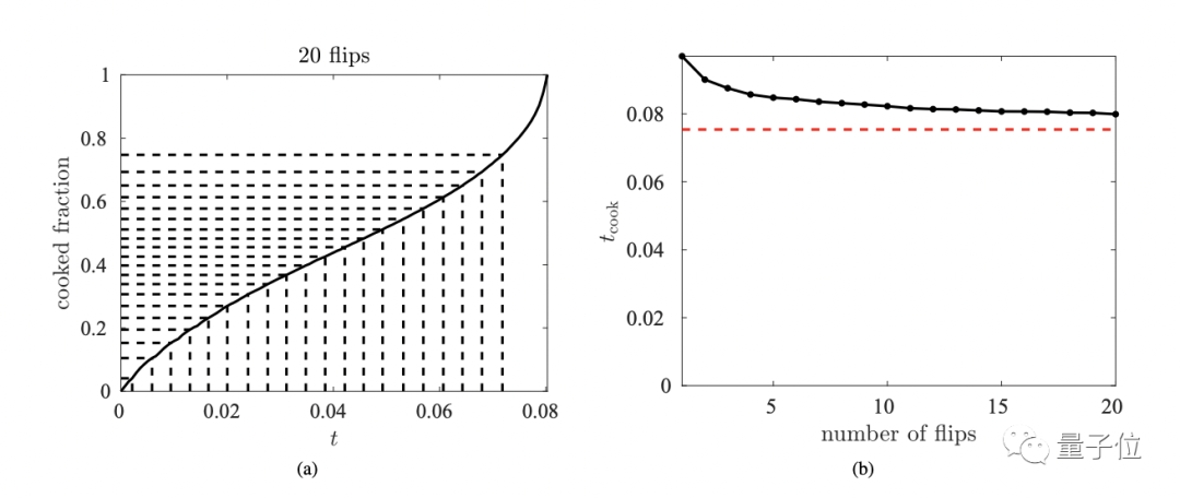
首先,在最优翻转次数——20次——情况下,最佳烹饪时间趋近于63秒,而单次翻转时间为80.5秒,相比之下可以将烤制时间减少29%

其次,烤制时间的数值曲线表明,随着翻转次数的增加,烤制时间优化水平会逐渐收敛

也就是说,随着翻转次数的增加,对于烤制时间的优化效应会逐渐减少,无论翻转次数如何增加,最多也只能节省29%的烤制时间。

最后,蒂菲奥特表示,烤制肉饼时翻转的间隔时间也有秘诀:

从函数曲线来看,前面若干次的翻转间隔时间应该大致相同,到了最后一次翻转时,间隔时间应该长一点,这样更有利于热量在肉饼中扩散。

总结一下就是,想要烤肉熟得快,翻个20次也就够了,最后一次翻转的时候,记得时间间隔长一点。

各位看官,学会了吗?

论文作者介绍

这位教人烤肉的数学家让-吕克-蒂菲奥特 (Jean-Luc Thiffeault),等离子体物理学博士,现任威斯康星大学麦迪逊分校的应用数学教授。

研究领域主要涉及应用数学以及流体动力学等。

迄今为止,在相关领域发表155部著作,被引用超过2500次。

参考链接:

[1]https://arxiv.org/pdf/2206.13900.pdf
[2]https://www.discovermagazine.com/the-sciences/how-mathematics-solved-the-burger-flipping-problem

「人工智能」、「智能汽车」微信社群邀你加入!

欢迎关注人工智能、智能汽车的小伙伴们加入我们,与AI从业者交流、切磋,不错过最新行业发展&技术进展。

ps.加好友请务必备注您的姓名-公司-职位哦~


点这里👇关注我,记得标星哦~

一键三连「分享」、「点赞」和「在看」

科技前沿进展日日相见~


登录查看更多
0

相关内容

Kyoto大学Toshiyuki:快速复杂控制系统的实时优化,133页ppt
【经典书】微积分导论第二卷,632页pdf
专知会员服务
76+阅读 · 2020年11月5日
专知会员服务
21+阅读 · 2020年10月2日
还在修改博士论文?这份《博士论文写作技巧》为你指南
不要玩羊,会变得不幸
量子位
0+阅读 · 2022年9月15日
神经网络常微分方程 (Neural ODEs) 解析
AI科技评论
42+阅读 · 2019年8月9日
酒鬼漫步的数学——随机过程 | 张天蓉专栏
知识分子
10+阅读 · 2017年8月13日
国家自然科学基金
0+阅读 · 2013年12月31日
国家自然科学基金
0+阅读 · 2013年12月31日
国家自然科学基金
0+阅读 · 2013年12月31日
国家自然科学基金
0+阅读 · 2013年12月31日
国家自然科学基金
0+阅读 · 2012年12月31日
国家自然科学基金
0+阅读 · 2012年12月31日
国家自然科学基金
0+阅读 · 2012年12月31日
国家自然科学基金
0+阅读 · 2011年12月31日
国家自然科学基金
0+阅读 · 2011年12月31日
国家自然科学基金
0+阅读 · 2009年12月31日
Arxiv
0+阅读 · 2022年11月23日
Deep learning for cardiac image segmentation: A review
Arxiv
21+阅读 · 2019年11月9日
Arxiv
11+阅读 · 2018年5月13日
VIP会员
相关基金
国家自然科学基金
0+阅读 · 2013年12月31日
国家自然科学基金
0+阅读 · 2013年12月31日
国家自然科学基金
0+阅读 · 2013年12月31日
国家自然科学基金
0+阅读 · 2013年12月31日
国家自然科学基金
0+阅读 · 2012年12月31日
国家自然科学基金
0+阅读 · 2012年12月31日
国家自然科学基金
0+阅读 · 2012年12月31日
国家自然科学基金
0+阅读 · 2011年12月31日
国家自然科学基金
0+阅读 · 2011年12月31日
国家自然科学基金
0+阅读 · 2009年12月31日
Top
微信扫码咨询专知VIP会员