Fast R-CNN

2018 年 4 月 20 日 数据挖掘入门与实战

 向AI转型的程序员都关注了这个号👇👇👇


大数据挖掘DT数据分析  公众号: datadw


先回顾一下: R-CNN ,SPP-net



R-CNN和SPP-net在训练时pipeline是隔离的:提取proposal,CNN提取特征,SVM分类,bbox regression。




Fast R-CNN 两大主要贡献点 :

  • 1 实现大部分end-to-end训练(提proposal阶段除外): 所有的特征都暂存在显存中,就不需要额外的磁盘空。

    • joint training (SVM分类,bbox回归 联合起来在CNN阶段训练)把最后一层的Softmax换成两个,一个是对区域的分类Softmax(包括背景),另一个是对bounding box的微调。这个网络有两个输入,一个是整张图片,另一个是候选proposals算法产生的可能proposals的坐标。(对于SVM和Softmax,论文在SVM和Softmax的对比实验中说明,SVM的优势并不明显,故直接用Softmax将整个网络整合训练更好。对于联合训练: 同时利用了分类的监督信息和回归的监督信息,使得网络训练的更加鲁棒,效果更好。这两种信息是可以有效联合的。)



  • 2 提出了一个RoI层,算是SPP的变种,SPP是pooling成多个固定尺度,RoI只pooling到单个固定的尺度 (论文通过实验得到的结论是多尺度学习能提高一点点mAP,不过计算量成倍的增加,故单尺度训练的效果更好。)



其它贡献点:

  • 指出SPP-net训练时的不足之处,并提出新的训练方式,就是把同张图片的prososals作为一批进行学习,而proposals的坐标直接映射到conv5层上,这样相当于一个batch一张图片的所以训练样本只卷积了一次。文章提出他们通过这样的训练方式或许存在不收敛的情况,不过实验发现,这种情况并没有发生。这样加快了训练速度。 (实际训练时,一个batch训练两张图片,每张图片训练64个RoIs(Region of Interest))



注意点:

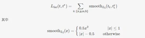
  • 论文在回归问题上并没有用很常见的2范数作为回归,而是使用所谓的鲁棒L1范数作为损失函数。

  • 论文将比较大的全链接层用SVD分解了一下使得检测的时候更加迅速。虽然是别人的工作,但是引过来恰到好处(矩阵相关的知识是不是可以在检测中发挥更大的作用呢?)。


ROI Pooling

与SPP的目的相同:如何把不同尺寸的ROI映射为固定大小的特征。ROI就是特殊的SPP,只不过它没有考虑多个空间尺度,只用单个尺度(下图只是大致示意图)。


ROI Pooling的具体实现可以看做是针对ROI区域的普通整个图像feature map的Pooling,只不过因为不是固定尺寸的输入,因此每次的pooling网格大小得手动计算,比如某个ROI区域坐标为

Bounding-box Regression

有了ROI Pooling层其实就可以完成最简单粗暴的深度对象检测了,也就是先用selective search等proposal提取算法得到一批box坐标,然后输入网络对每个box包含一个对象进行预测,此时,神经网络依然仅仅是一个图片分类的工具而已,只不过不是整图分类,而是ROI区域的分类,显然大家不会就此满足,那么,能不能把输入的box坐标也放到深度神经网络里然后进行一些优化呢?





该函数在 (−1,1) 之间为二次函数,而其他区域为线性函数,作者表示这种形式可以增强模型对异常数据的鲁棒性,整个函数在matplotlib中画出来是这样的


对应的代码在smooth_L1_loss_layer.cu中。

https://zhuanlan.zhihu.com/p/24780395?refer=xiaoleimlnote


人工智能大数据与深度学习

搜索添加微信公众号:weic2c

长按图片,识别二维码,点关注



大数据挖掘DT数据分析

搜索添加微信公众号:datadw


教你机器学习,教你数据挖掘

长按图片,识别二维码,点关注


登录查看更多
3

相关内容

SPP-Net是一种可以不用考虑图像大小,输出图像固定长度网络结构,并且可以做到在图像变形情况下表现稳定。SSP-net的效果已经在不同的数据集上面得到验证,速度上比R-CNN快24-102倍。在ImageNet 2014的比赛中,此方法检测中第二,分类中第三。
零样本文本分类,Zero-Shot Learning for Text Classification
专知会员服务
97+阅读 · 2020年5月31日
【Google】监督对比学习,Supervised Contrastive Learning
专知会员服务
75+阅读 · 2020年4月24日
CVPR2020 | 商汤-港中文等提出PV-RCNN:3D目标检测新网络
专知会员服务
45+阅读 · 2020年4月17日
一文读懂目标检测:R-CNN、Fast R-CNN、Faster R-CNN、YOLO、SSD
七月在线实验室
11+阅读 · 2018年7月18日
Cascade R-CNN 论文笔记
统计学习与视觉计算组
8+阅读 · 2018年6月28日
Faster R-CNN
数据挖掘入门与实战
4+阅读 · 2018年4月20日
讲透RCNN, Fast-RCNN, Faster-RCNN,将CNN用于目标检测
数据挖掘入门与实战
18+阅读 · 2018年4月20日
深度学习的目标检测技术演进:R-CNN、Fast R-CNN、Faster R-CNN
数据挖掘入门与实战
13+阅读 · 2018年4月6日
从编程实现角度学习 Faster R-CNN(附极简实现)
AI研习社
7+阅读 · 2018年1月10日
从R-CNN到Mask R-CNN!
全球人工智能
17+阅读 · 2017年11月13日
从R-CNN到Mask R-CNN
机器学习研究会
25+阅读 · 2017年11月13日
Mesh R-CNN
Arxiv
4+阅读 · 2019年6月6日
Few-shot Adaptive Faster R-CNN
Arxiv
3+阅读 · 2019年3月22日
Auto-Context R-CNN
Arxiv
4+阅读 · 2018年7月8日
Arxiv
6+阅读 · 2018年2月6日
Arxiv
7+阅读 · 2018年1月24日
Arxiv
4+阅读 · 2017年11月14日
Arxiv
5+阅读 · 2016年12月29日
VIP会员
相关资讯
一文读懂目标检测:R-CNN、Fast R-CNN、Faster R-CNN、YOLO、SSD
七月在线实验室
11+阅读 · 2018年7月18日
Cascade R-CNN 论文笔记
统计学习与视觉计算组
8+阅读 · 2018年6月28日
Faster R-CNN
数据挖掘入门与实战
4+阅读 · 2018年4月20日
讲透RCNN, Fast-RCNN, Faster-RCNN,将CNN用于目标检测
数据挖掘入门与实战
18+阅读 · 2018年4月20日
深度学习的目标检测技术演进:R-CNN、Fast R-CNN、Faster R-CNN
数据挖掘入门与实战
13+阅读 · 2018年4月6日
从编程实现角度学习 Faster R-CNN(附极简实现)
AI研习社
7+阅读 · 2018年1月10日
从R-CNN到Mask R-CNN!
全球人工智能
17+阅读 · 2017年11月13日
从R-CNN到Mask R-CNN
机器学习研究会
25+阅读 · 2017年11月13日
相关论文
Mesh R-CNN
Arxiv
4+阅读 · 2019年6月6日
Few-shot Adaptive Faster R-CNN
Arxiv
3+阅读 · 2019年3月22日
Auto-Context R-CNN
Arxiv
4+阅读 · 2018年7月8日
Arxiv
6+阅读 · 2018年2月6日
Arxiv
7+阅读 · 2018年1月24日
Arxiv
4+阅读 · 2017年11月14日
Arxiv
5+阅读 · 2016年12月29日
Top
微信扫码咨询专知VIP会员