GAN的数学推导
作者:Sherlock
来源:机器学习算法与自然语言处理
前面我们讲了一下GAN的基本思想,最近看了一下GAN的论文,又恰好看到了李宏毅老师的课程,感觉里面的数学推导很有意思,所以准备写下来以备之后查阅。
首先需要一点预备知识,KL divergence,这是统计中的一个概念,是衡量两种概率分布的相似程度,其越小,表示两种概率分布越接近。 对于离散的概率分布,定义如下
对于连续的概率分布,定义如下
根据我们之前讲的内容,我们要做的事情就如下图所示
我们想要将一个随机高斯噪声z通过一个生成网络G得到一个和真的数据分布差不多的生成分布
。
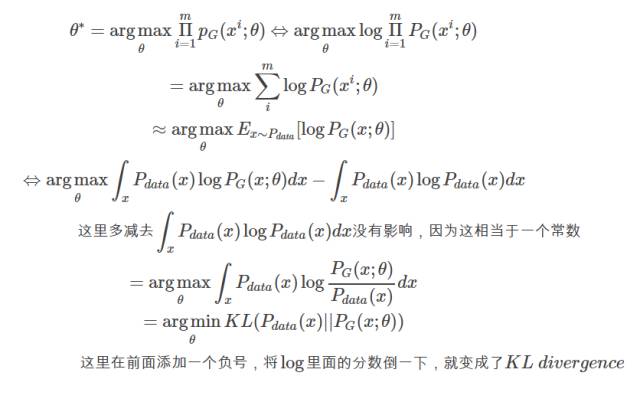
其中的参数是网络的参数决定的,我们希望找到
使得
和尽可能接近。
我们从真实数据分布 里面取样m个点,
,根据给定的参数
我们可以计算如下的概率
,那么生成这m个样本数据的似然(likelihood)就是
我们想要做的事情就是找到 θ∗来最大化这个似然估计
而 PG(x;θ)如何算出来呢?
里面的I表示示性函数,也就是
这样我们其实根本没办法求出这个 PG(x) 出来,这就是生成模型的基本想法。
Generator G
G是一个生成器,给定先验分布 Pprior(z)我们希望得到生成分布 PG(x),这里很难通过极大似然估计得到结果
Discriminator D
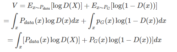
D是一个函数,来衡量 PG(x) 与 Pdata(x)之间的差距,这是用来取代极大似然估计
首先定义函数V(G, D)如下
我们可以通过下面的式子求得最优的生成模型
是不是感觉很晕,为什么定义了一个V(G, D)然后通过求max和min就能够取得最优的生成模型呢?
首先我们只考虑 maxDV(G,D),看其表示什么含义。
在给定G的前提下,我们要取一个合适的D使得V(G, D)能够取得最大值,这就是简单的微积分。
对于这个积分,要取其最大值,我们希望对于给定的x,积分里面的项是最大的,也就是我们希望取到一个最优的 D∗最大化下面这个式子
在数据给定,G给定的前提下, Pdata(x)与PG(x) 都可以看作是常数,我们可以分别用a,b来表示他们,这样我们就可以得到如下的式子
这样我们就求得了在给定G的前提下,能够使得V(D)取得最大值的D,我们将D代回原来的V(G, D),得到如下的结果
看到这里我们其实就已经推导出了为什么这么衡量是有意义的,因为我们取D使得V(G,D)取得max值。
这个时候这个max值是由两个KL divergence构成的,相当于这个max的值就是衡量 PG(x)与Pdata(x)的差异程度,所以这个时候,我们取
就能够取到G使得这两种分布的差异性最小,这样自然就能够生成一个和原分布尽可能接近的分布。
同时这样也摆脱了计算极大似然估计,所以GAN本质是改变了训练的过程。
欢迎访问我的知乎专栏:深度练丹
博客地址:https://sherlockliao.github.io/2017/06/20/gan_math/
☞ 【学界】清华朱军团队探索DNN内部架构,采用对抗性例子监督网络生成及错误
☞ 【几何图景】GAN的几何图景:样本空间的Morse流,与鉴别网络D为何不可能真正鉴别真假
☞ 【应用】生成式对抗网络GAN有哪些最新的发展,可以实际应用到哪些场景中?
☞ 【从头开始GAN】Goodfellow开山之作到DCGAN等变体
☞ 【智能自动化学科前沿讲习班第1期】上海交大倪冰冰副教授:面向图像序列的生成技术及应用初探
☞ 【智能自动化学科前沿讲习班第1期】University of Central Florida 的Guojun Qi:LS-GAN
☞ 【智能自动化学科前沿讲习班第1期】微软秦涛主管研究员:从单智能体学习到多智能体学习
☞ 【智能自动化学科前沿讲习班第1期】王坤峰副研究员:GAN与平行视觉
☞ 【原理】十个生成模型(GANs)的最佳案例和原理 | 代码+论文
☞ 【教程】经得住考验的「假图片」:用TensorFlow为神经网络生成对抗样本
☞ 【模型】基于深度学习的三大生成模型:VAE、GAN、GAN的变种模型
☞ 【大会】还记得Wasserstein GAN吗?不仅有Facebook参与,也果然被 ICML 接收
☞ 【学界】邢波团队提出contrast-GAN:实现生成式语义处理
☞ 【专栏】阿里SIGIR 2017论文:GAN在信息检索领域的应用
☞ 【学界】康奈尔大学说对抗样本出门会失效,被OpenAI怼回来了!
☞ 警惕人工智能系统中的木马、病毒 ——深度学习对抗样本简介
☞ 【生成图像】Facebook发布的LR-GAN如何生成图像?这里有一篇Pytorch教程
☞ 【智能自动化学科前沿讲习班第1期】国立台湾大学(位于中国台北)李宏毅教授:Anime Face Generation
☞ 【变狗为猫】伯克利图像迁移cycleGAN,猫狗互换效果感人
☞ 【论文】对抗样本到底会不会对无人驾驶目标检测产生干扰?又有人发文质疑了
☞【智能自动化学科前沿讲习班第1期】王飞跃教授:生成式对抗网络GAN的研究进展与展望
☞【专栏】基于对抗学习的生成式对话模型的坚实第一步 :始于直观思维的曲折探索
☞ 【重磅】平行将成为一种常态:从SimGAN获得CVPR 2017最佳论文奖说起
☞ 【最新】OpenAI:3段视频演示无人驾驶目标检测强大的对抗性样本!
☞ 【论文】CVPR 2017最佳论文出炉,DenseNet和苹果首篇论文获奖
☞ 【深度学习】解析深度学习的局限性与未来,谷歌Keras之父「连发两文」发人深省
☞ 苹果重磅推出AI技术博客,CVPR合成逼真照片论文打响第一枪
☞ 【Ian Goodfellow 五问】GAN、深度学习,如何与谷歌竞争
☞ 【巨头升级寡头】AI产业数据称王,GAN和迁移学习能否突围BAT垄断?
☞ 【高大上的DL】BEGAN: Boundary Equilibrium GAN
☞ 【最详尽的GAN介绍】王飞跃等:生成式对抗网络 GAN 的研究进展与展望
☞ 【最全GAN变体列表】Ian Goodfellow推荐:GAN动物园
☞ 【DCGAN】深度卷积生成对抗网络的无监督学习,补全人脸合成图像匹敌真实照片
☞ 【开源】收敛速度更快更稳定的Wasserstein GAN(WGAN)
☞ 【Valse 2017】生成对抗网络(GAN)研究年度进展评述
☞ 【开源】谷歌新推BEGAN模型用于人脸数据集:效果惊人!
☞ 【深度】Ian Goodfellow AIWTB开发者大会演讲:对抗样本与差分隐私
☞ 论文引介 | StackGAN: Stacked Generative Adversarial Networks
☞ 【纵览】从自编码器到生成对抗网络:一文纵览无监督学习研究现状
☞ 【论文解析】Ian Goodfellow 生成对抗网络GAN论文解析
☞ 【推荐】条条大路通罗马LS-GAN:把GAN建立在Lipschitz密度上
☞【Geometric GAN】引入线性分类器SVM的Geometric GAN
☞ 【GAN for NLP】PaperWeekly 第二十四期 --- GAN for NLP
☞ 【Demo】GAN学习指南:从原理入门到制作生成Demo
☞ 【学界】伯克利与OpenAI整合强化学习与GAN:让智能体学习自动发现目标
☞ 【人物 】Ian Goodfellow亲述GAN简史:人工智能不能理解它无法创造的东西
☞ 【DCGAN】DCGAN:深度卷积生成对抗网络的无监督学习,补全人脸合成图像匹敌真实照片
☞ 带你理解CycleGAN,并用TensorFlow轻松实现
☞ PaperWeekly 第39期 | 从PM到GAN - LSTM之父Schmidhuber横跨22年的怨念
☞ 【CycleGAN】加州大学开源图像处理工具CycleGAN
☞ 【SIGIR2017满分论文】IRGAN:大一统信息检索模型的博弈竞争
☞ 【贝叶斯GAN】贝叶斯生成对抗网络(GAN):当下性能最好的端到端半监督/无监督学习
☞ 【贝叶斯GAN】贝叶斯生成对抗网络(GAN):当下性能最好的端到端半监督/无监督学习
☞ 【GAN X NLP】自然语言对抗生成:加拿大研究员使用GAN生成中国古诗词
☞ ICLR 2017 | GAN Missing Modes 和 GAN
☞ 【学界】CMU新研究试图统一深度生成模型:搭建GAN和VAE之间的桥梁
☞ 【专栏】大漠孤烟,长河落日:面向景深结构的风景照生成技术
☞ 【开发】最简单易懂的 GAN 教程:从理论到实践(附代码)
☞ 【论文访谈】求同存异,共创双赢 - 基于对抗网络的利用不同分词标准语料的中文分词方法
☞ 【LeCun论战Yoav】自然语言GAN惹争议:深度学习远离NLP?
☞ 【争论】从Yoav Goldberg与Yann LeCun争论,看当今的深度学习、NLP与arXiv风气
☞ 【观点】Yoav Goldberg撰文再回应Yann LeCun:「深度学习这群人」不了解NLP(附各方评论)
☞ PaperWeekly 第41期 | 互怼的艺术:从零直达 WGAN-GP
☞ 【谷歌 GAN 生成人脸】对抗创造新艺术风格,128 像素扩展到 4000
☞ 【原理】只知道GAN你就OUT了——VAE背后的哲学思想及数学原理