物理定律告诉你,天下有情人终将分手!

2018 年 2 月 14 日 中科院物理所 刘翼豪

又到了每年的2.14

不知道为何

每到这个时候

我的手里就会多了一把火炬

照亮我前行的道路

既然这样

今天我们就来聊一聊

谈恋爱中的数学物理原理


  摘 要  

本文基于部分数学和物理理论、模型,通过理论分析、数学建模、计算模拟等方法,对恋爱系统进行了抽象归纳、建模分析,得出了一系列基于数理推导的恋爱相关定理、理论,包括:单身狗注孤生定理、恋爱能量耗散定律、异地感情衰减定律、单身孤立最稳原则等。最终,本文在这些理论推导之下,得出了一个重要结论:天下有情人终将分手!

同时,本文针对“一个人是否会单身”、“情侣为什么会分手”等一系列问题给出了一个终极的解析解(见文末)。



  目 录  

1. 为什么你总遇不到合适的人?

——单身狗注孤生定理

2. 为什么谈恋爱会越来越累然后累觉不爱?

——恋爱能量耗散定律

3. 为什么异地恋很容易分手?

——异地感情衰减定律

4. 哪种恋爱模型最稳定?

——单身孤立最稳原则



1

为什么你总遇不到合适的人?

两个人要走到一起,并且能长久地相爱下去并不是一件容易的事情。俗话说“门当户对”、“天造地设”,恋爱是两个人的事情,每个人的择偶标准不同、自身条件不同、三观也不同。那么,在一生中,我们是否能够遇到属于自己最合适的那个人呢?

单身狗注孤生定理:你永远遇不到合适的人。

在本推导中,我们将择偶标准大致分为两类:客观自然标准、社会人文标准。

前者即每个人的出厂硬件设定,比如身高、体重、颜值等等,后者则是像财富值、职业、价值观、兴趣爱好等后天积累和养成的因素。为什么这样划分呢?主要是考虑到这两类标准所服从的概率分布模型不同,这一点之后会有详细的说明。


我们先讨论客观自然标准。

高斯分布(亦称“正态分布”)是在自然界中广泛存在的一个概率分布模型,许多自然现象都符合高斯分布,比如人类的身高、学生的学习成绩、随机误差等等。

假设你只有一个满足高斯分布的择偶标准A(比如身高、体重等)。一般来说,人们对于这类自然标准的选择会青睐于中上水平的,即不能低于平均水平太多,也不能太高。例如,身高不能低于170cm,但也不能太高,高于190cm的你可能也会犹豫。

服从高斯分布的择偶标准A的概率密度函数如下:

其中,μ是择偶标准A在人群中的均值,σ是标准差。

将高斯分布的概率密度积分,即可得到随机变量X在某一范围内取值的概率,在概率密度图像上可表现为其所围的面积。

可见,高斯变量落在(μ-3σ,μ+3σ)范围外的概率小于千分之三,这就是人们常用的3σ检验原则

如果你的择偶要求(眼光)较高,意味着你对于择偶条件A的接受范围大概位于(μ+σ,μ+2σ)的区间(图中阴影部分):

那么你遇到一个标准A满足要求的人的概率约为13.6%左右

当然,大部分人的择偶要求没有那么苛刻。假设择偶标准位于(μ-σ,μ+2σ)的区间(图中阴影部分):

那么你遇到一个标准A满足要求的人的概率约为81.85%左右。

乍一看,是不是感觉这个概率还蛮高的!

事实上,绝大多数人的择偶要求不会这么低,因为大部分的正常人都能满足这个条件……

这个择偶标准区间已经算是很低的门槛了,一般人的择偶标准会比这个严苛很多。而且,最关键的是,这只是满足其中一个择偶标准的概率!你总不可能看到身高合适的就上吧~

现在我们同时考虑两个择偶标准会如何呢?比如择偶标准A(体重)、B(颜值)。

假设A和B都服从高斯分布,此时我们需要引入二元高斯分布模型

其中,X~N(μ112),Y~N(μ222),ρ是X和Y的相关系数。

有的朋友可能会问,为啥从1个变量到2个变量就复杂了这么多呢?不能直接把两个变量的概率直接相乘吗?

答案是:大多数情况下,不能。

在概率统计中,概率能直接相乘的条件是变量之间互相独立。

而类似于身高、体重这样的两个变量并不是独立的,存在着某种相关性。所以不能简单地将它们的概率相乘。

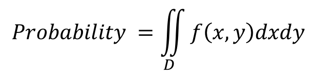
由于不能直接相乘,我们可以根据概率密度函数的定义,对其求二重积分进而算出概率,即:

其中f(x,y)是二元正态分布函数。

二重积分示意图

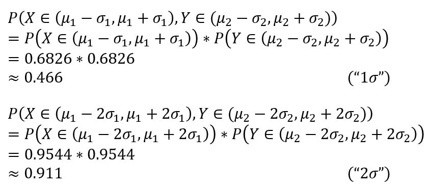
回想在一元正态分布下有“3σ原则”,那么推广到二元的情况呢?

是否在二元正态分布下,两个变量同属1σ的区间(x∈(μ1111) & y∈(μ2222))的概率就是0.6826×0.6826=0.4659呢?

答案是否定的,因为两个随机变量不一定是独立的,即二元正态分布受到参数ρ(相关系数)的影响。

下面我们观察不同的相关系数ρ对概率的影响。

由于该积分无法直接求出解析解,我们使用matlab求定积分数值解:

得到曲线如下:

图1

图1中,横坐标是变量X和Y的相关系数ρ,纵坐标是概率。2D-1σ(蓝线)表示X和Y都落在各自的1σ区域,即x∈(μ1111)且 y∈(μ2222)的概率;1D-1σ(紫虚线)表示一元高斯变量的值落在1σ区间内概率,即上文提到的0.6826。

其中,相关系数ρ越大,说明变量X和Y的线性相关性越强,相关系数ρ=0说明变量X和Y不相关。

注意:随机变量独立和不相关是两个概念,独立一定不相关,但不相关不一定独立,不相关要弱于独立。

但是可以证明对于高斯分布来说,独立就等价于不相关。所以,当ρ=0时,高斯分布变量X和Y独立,于是有P(XY)=P(X)×P(Y)。

从图1中也可以看出,当ρ=0时,以下结果成立:

这很好地应证了上面所说的高斯分布由变量不相关可以推导出独立的结论。

从图1中可以看到,如果我们的择偶标准A和B相关性较高,那么你遇到同时满足要求的人的概率也就会大一些,但是最高也不会超过你遇到满足你最严苛的条件的人概率。

也就是说,如果你遇到满足择偶条件A的人的概率是60%,遇到满足择偶条件B的人的概率是40%,那么你想要遇到同时满足这两个条件的人概率最大不会超过40%(可以算作某种意义上的“短板效应”)。

而随着择偶标准A和B相关性的下降(比如A是身高,B是学习成绩),你遇到那个ta的概率会随之下降。这一点其实很显然,与我们的直观感受一致。

下面我们再考察三组实验,看看有什么有趣的结果:

(1)以严苛的条件同时限制择偶标准A和B,即A和B都得落在各自的(μ+σ,μ+2σ)区间内。

(2)以严苛的条件限制择偶标准A,以宽松的条件限制择偶标准B,即A得落在(μ+σ,μ+2σ)区间内,B也落在(μ-σ,μ+2σ)区间内。

(3)以宽松的条件同时限制择偶标准A和B,即A和B都落在各自的(μ-σ,μ+2σ)区间内。

同样,我们使用matlab求解。

实验结果如下图:

图2

表1

从图2不难看出,当我们将择偶标准从1个增加到2个之后,无论你的择偶条件是严苛还是宽松,你遇到合适的人的概率都大幅下降了。表1中列出了不同择偶条件组合下遇到合适的人的最大概率和最小概率。

从最好情况的概率来看仿佛一切都还ok,但是,很遗憾地告诉大家,最好情况在这里并没有什么卵用……因为最好情况是当相关系数ρ接近1时得到的,这意味着我们选择的两个择偶标准A和B有着很强的线性关系,比如学习成绩和努力程度。既然这两个择偶标准已经有很强的相关性了,那么我们为何还要把他们分成两个指标呢?

事实上,在现实生活中,我们能够选为择偶标准的指标之间的相关性都比较弱,也只有这样才能够多维度、全方位地评价一个人。你会把身高、勤奋度作为两个不同的择偶指标,但没必要把科研能力和顶级期刊论文发表数这两个相关性很强的指标单列为两个择偶标准。所以,我们要关注的更多的是当ρ比较小时的情况,也就是最差情况的概率。

这是想说明什么呢?在两个择偶标准下,你遇到合适的人的概率已经大幅缩水了,尤其是如果你的眼光比较高的话,你现在遇到满足要求的人的概率已经不足2%了,哪怕你只对一个条件比较严苛而对另一个条件抱有宽宏的态度,你现在遇到合适的人的概率也只剩11%。

更可怕的是……现在还只是讨论了两个择偶标准的情况。显然,你挑选恋人不会只在乎两个标准吧,你不可能对今后要结婚生子、托付终身的人只有两个要求吧?

所以,接下来,我们将对自然客观类的择偶标准推广到n维的情况……

结果是什么我想你已经可以预见了吧……

结局会是多么的凄凉惨淡、不忍卒读……

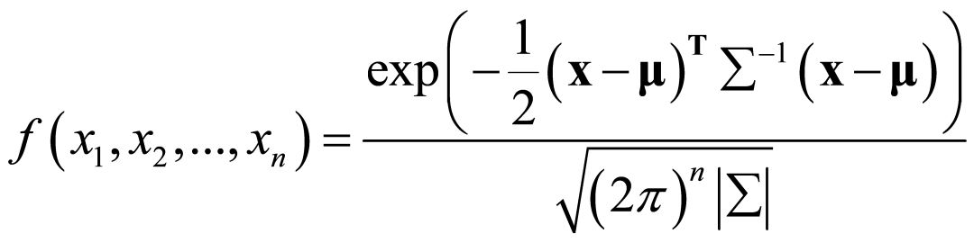
n元高斯分布的概率密度函数如下:

其中∑是协方差矩阵,μ是均值向量。

n元高斯分布的累计概率分布为:

由于高维无法用图表示,我们示意性地画一个二维情况下的概率分布图像:

二元高斯分布累计概率分布函数图像

更高维的情况下大家可以自行想象一下。

下面我们假设n维高斯变量之间两两相互独立,以此来估算一个下界。

假设你有n个服从高斯分布的择偶标准,他们之间相互独立。我们遵循上面的讨论,分为严格和宽松两种条件。我们画出不同宽松组合下你遇到满足要求的人的概率图如下:

上图横坐标m表示宽松组合中严苛的频次,纵坐标表示遇到满足要求的人的概率。比如,当n=5时,表示你有5个不同的择偶标准,横坐标m=1对应的点,代表5个不同的择偶标准中,你有1个标准是以严苛来要求,其余4个是宽松,也即是4宽1严的组合下,你遇到满足要求的人的概率是0.061(6.1%)。

从曲线可以看出,随着n的增大以及m的增大,概率衰减得特别快。

这告诉我们什么呢?想找到男朋友女朋友,就要少提要求、降低门槛,不然你遇到满足条件的人完全就是一个小概率事件(一般概率低于5%的事件就算得上小概率事件了)。然而,怎么可能对另一半不提要求、放宽限制呢?宁缺毋滥!所以,这成功地说明一个道理:你几乎不可能遇到合适的人!!!

以上就是我们对自然客观类择偶标准的讨论。


下面我们考虑社会人文类标准。这类标准有一个特点,就是会受到人类社会活动很强的影响。

除了高斯分布,还有一个常见的分布是幂律分布。实际上,在社会生活中,许多现象并不符合高斯分布,而是更贴近幂律分布,比如人类财富的分布、国家GDP分布、词频分布、社交网络分布等等。著名的80/20定律(20%的人拥有80%的社会资源)即是出自幂律分布。

幂律分布的数学模型是幂函数:

其中C,α是常数。

幂函数示例(C=1,α=3)

在概率统计中,概率密度函数f(x)满足非负性和规范性,即函数值非负并且全域积分为1。

所以,在幂律分布中,就要求有C>0,α>0。除此之外,由微积分的知识不难得出,为了让上述积分收敛,我们一般指定x有一个最小值(下界)xmin于是,我们就引出了著名的Pareto Distribution,也即人们常说的长尾分布。

由上式即可求出规范化常数C的值,进而求出Pareto Distribution的概率密度函数为:

其中,要求α>1。

于是,Pareto Distribution的概率累计分布函数为:

其中,xmin和α是模型的参数。

xmin=1,α不同取值时的Pareto Distribution概率密度图像

xmin=1,α不同取值时的Pareto Distribution概率分布图像

Pareto Distribution有如下性质:

(1)当α>2时才有均值:

(2)当α>3时方差才收敛:

自然界中,幂律分布的参数α大多落在2~3之间。

为了近似拟合“80/20定律”,我们这里取α=3。

注意:“80/20定律”并不严格说明控制80%资源的关键部分就是20%,而是一个从图像上得到的直观笼统的概念。实际上,在当前假设下,无法求解关键部分的确切占比(如果对幂律分布做截断处理,规定最大最小值,那么有可能设计出恰好的“80/20分布”)。

接下来,我们可以从以下两个角度对其进行观察分析。

第一个角度将从较为直观的“80/20定律”出发,这个角度不存在严格的数学推导与证明。

假设你有一个择偶条件A服从“80/20定律”,比如财富值。举个具体的例子,若现在共有100个人,假设他们的财富分布表如下:

这意味着,你有80%的概率,遇到的人都属于“长尾部分”(没钱的那部分)。反过来说,如果你的择偶条件对财富值有较高的要求,那么你只有20%的概率接触到率先组成总财富80%的那个富裕集团的成员。

如果你放宽一些条件呢?遇到率先组成总财富90%的群体的成员的概率是多少呢?由于幂律分布极快的收缩性,这个概率也并不会很高,大约会在30%左右。也就是说,剩下70%的人总共的财富加起来才只占人类总财富的10%……

这说明了什么呢?说明这个世界上,绝大部分的人都挺穷……(啊,终于找到了安慰自己的理由)

也就是说,直观上,“80/20定律”告诉了我们这么一个道理:真正的有钱人是真正的少,但他们是真真正正的有钱!你想遇到真正的有钱人的概率是真正的低,因为你身边都是真真正正的穷人!(当然,也包括我和你

第二个角度我们将从概率密度函数的数学意义入手,诠释幂律分布的准确意义。

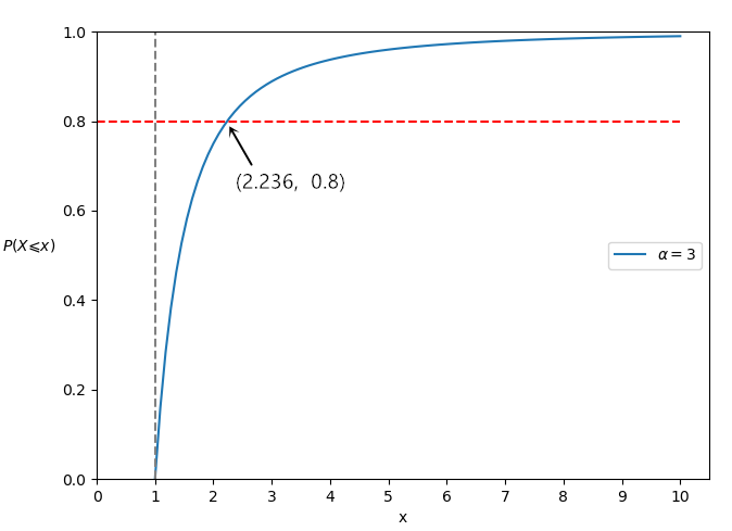
让我们回顾一下这张图。

在数学上,概率密度f(x)是指随机变量X落在某一点处“单位宽度”内的概率。概率密度函数在某个区域上的积分,就表示了随机变量X的取值落在该区域之内的概率。

于是,上图在概率统计上的意义即是,对于服从xmin=1,α=3的长尾分布的随机变量X,X的取值落在[1,2.236]范围之内的概率是80%。

弄清楚这个之后,我们就可以将其和择偶概率联系起来了。

同前文所述的高斯分布一样,这里的横坐标表示某一个择偶标准的度量,比如在这里我们假设择偶标准A是财富值,横坐标就表示财富等级,等级越高说明财富值越大,最小值1是当前系统内的最小财富值等级。

我们先来算一下这个系统内的财富值均值。根据前文的公式,有:

于是,均值μ=2。

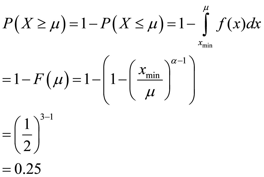
假设你的择偶条件是该系统内财富值大于均值μ的人,那么概率为:

也就是说,你的要求仅仅是能够达到平均水平就行,但是遇到满足条件的人的概率也只有25%!

倘若你的要求稍微高一些呢?比如你想找到该系统内该指标大于两倍均值μ的人,概率为:

天呐!概率已经骤降为6.25%了!!!

(这个要求很高么?不高啊!)

可见,对于社会人文类的择偶标准,哪怕你的要求看上去算是很宽松了,你遇到合适的人的概率也还是很低很低!这还只是一个择偶标准的情况,现实中我们的择偶标准肯定不止一个吧……


下面,我们将自然客观择偶标准和社会人文择偶标准结合起来。我们之前讨论过变量之间不独立的问题,但是鉴于计算的可行性以及针对该问题我们可以近似认为择偶标准之间相关性很低,这里我们假设变量两两独立,以此来估算一个下界。

我们假设在两类标准中各选两个择偶标准,则共有9种不同的宽松组合。

虽然这个概率只是一个下界(最差情况),但是相信大家还是能从中感受到一股寒意……并且我们这里只讨论了四个择偶标准,实际情况肯定还要比这个复杂多变,意味着真实概率可能比这个还要低……

还有一个更关键的问题,就算你很幸运地遇到了满足你要求的人,但是你满足对方的要求了吗?

你喜欢别人,别人喜欢你吗?你觉得对方是你的最佳选择,对方或许都没把你写入备胎名单!(这些问题需要大家每日三省!)

没错,这就是你找不到合适的人的原因——因为在概率上,你已经凉了!

好了,一首凉凉先送给大家!



2

为什么谈恋爱会越来越累然后累觉不爱?

许多恋爱中的情侣都有这样的感受:谈着谈着恋爱慢慢觉得好累,最后累到无法再爱,于是分手。这是为什么呢?是巧合是偶然?还是冥冥中有所注定?

恋爱能量耗散定律:恋爱系统是一个耗散结构,谈恋爱是一个熵减过程。人们需要不断向该系统提供能量以维持稳定,否则系统的有序性就会被破坏。

谈恋爱是两个人慢慢融合、相互适应,逐渐发展为稳态的过程。我们可以将这个过程抽象为是两个子系统的融合。由前面我们已经证明,你几乎不可能遇到合适的人,这就意味着任何一对情侣的结合都不可能是完美互补、相得益彰的。也就是说,这个两个子系统在融合的过程中,不可能维持自身状态的不变,而是会适应彼此,逐渐达到一个新的稳态。

这是一个从无序到有序,从混乱到稳定的过程。从这个角度来看,恋爱其实是一个熵减过程,其宏观表现包括:男生变得会收拾房间更注意卫生了,女生变得更加精致充满魅力了,两个人从陌生变得越来越熟悉了(信息熵减少)……

信息熵

在物理中,热力学第二定律可以表述为:一个孤立系统的熵永不可能自发减少,熵在可逆过程中不变,在不可逆过程中增加。这就是大家所熟知的“熵增原理”。

热力学中熵的定义

前面我们分析过,恋爱是一个熵减过程,于是我们可以得出以下结论:恋爱系统不是孤立系统,要想让该系统朝着稳定有序的方向发展,就必须从外界向系统内提供能量。这就要求恋爱中的至少一方要不断汲取外界的能量然后向注入到系统之中。

比如,为了维持信息熵的稳定,你们可能每天都得打电话、聊微信、互道晚安,以此获取信息,增加彼此的熟悉感;为了保持新鲜感,你们需要经常设计一些浪漫的惊喜,制造一些温馨的氛围;为了维持系统的有序,你们可能需要放弃自己原有的一些生活习惯、兴趣爱好,去适应对方的生活节奏,融入到彼此的圈子,以此让系统达到有序一致;钱也可以看作一种能量,有时为了维持恋爱系统的问题,你还必须把这种特殊的能量注入进去……

以上种种,无一不说明,要维持恋爱关系的稳定,双方都必须投入大量的时间、精力、金钱,否则恋爱系统一旦与外部隔绝成为孤立系统,根据热力学定律,熵一定会自发增大,导致之前所做的一切努力都白费。

这就是为什么谈恋爱会很累的原因,一旦你无法再有精力将外界吸取的能量注入到恋爱系统之中,你就会感到累觉不爱,进而分手。

这说明了什么呢?熵增是无外力影响下自然的发展趋势,而谈恋爱则是人们通过消耗外界的能量来抵消这种熵增的影响。什么是大势所趋、什么是逆流而行你现在明白了吧~



3

为什么异地恋很容易分手?

有过异地恋经历的情侣一定感受过两人天各一方的煎熬,甚至无数次动过放弃的念头。为什么异地恋的感情很容易崩溃呢?

异地感情衰减定律:恋爱引力与距离的平分成反比,感情随距离的增加呈反比例衰减。

我们知道,力是改变物体运动状态的原因。两个人从相识相知到坠入爱河,这个过程中彼此的生活轨迹都发生了变化,所以其中一定是受到了某种作用力,致使两个人相互吸引,最终走到一起。

这是不是和万有引力同出一辙?彼此通过自身的魅力,成功吸引捕获到了对方。

万有引力定律,其中G是引力常量,M和m是两物体质量,r是距离

在恋爱系统中,我们可以建立如下恋爱引力模型:

其中,

G:恋爱常量,是一个常数;

r:两个人的距离;

M、m:综合素质指标,是一个人各方面的定量刻画;

ρ:契合系数,与两个人默契程度以及各自的综合素质指标分布有关。

同万有引力一样,恋爱引力也与两个人的距离平方成反比。随着距离变大,两个人之间相互吸引的引力也随之衰减。这一点其实也很直观,我们很多时候都是对身边熟悉的人产生好感,远隔千里的人我们就很难吸引彼此。

为了定量刻画异地恋对爱情发展的影响,我们引入以下概念:

Ek_love:恋爱动能,表示恋爱系统中的恋爱发展的能量,值越大说明恋爱过程越如火如荼,恋情发展越快,感情越好。

Ep_Love:恋爱势能,表示恋爱系统中的潜在发展的能量,可以转化为恋爱动能或其他形式的能量。

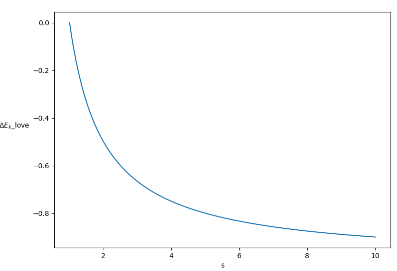
下面我们来计算情侣分开变为异地恋后损失的恋爱动能大小。

假设一对情侣原来的距离为s0,现在成为了异地恋,相隔的距离为s,则这个过程中恋爱引力做的功为:

距离变远,恋爱引力做负功,于是恋爱势能增加|W|。

能量守恒定律是万物遵循的基本定律之一。根据能量守恒,在这个过程中,有

可以看出,异地恋会导致爱情动能的减少。

从图像上可以看到,s越大,爱情动能减少越多,就会导致恋爱进入停滞状态,放缓两个人关系的进展,感情逐渐消磨。

Ok,推(xia)导(bian)了这么多,结论就是:我们从物理学的角度,给出了异地恋容易分手的一个解释:距离是破坏感情的一大因素,随着距离的增加,感情也会随之衰减。



4

哪种恋爱模型最稳定?

我们接续上一节的思路,用引力模型描述恋爱系统的动力学特征。现在,让我们来探讨一下什么样的恋爱模型最稳定。

宇宙中的星星在受到万有引力的作用下,在不同的初始条件下(星星质量、初速度、位置等),会形成不同的系统,比如双星系统、三体系统等等。恋爱系统其实也一样。



恒星—行星模型

典型的恒星—行星模型就是我们所熟知的太阳系。太阳的质量与地球质量相比十分巨大,在万有引力的作用下,地球围绕太阳做公转运动。

形成这种模型的条件是一个星球质量要比另一个星球巨大很多倍。如果在恋爱中,形成的是这种模型,那么说明在这段关系之中有一个主导角色,就像恒星一样,而另一个则是行星,围绕着他而转。

在物理中,这种模型是较为简单也是比较稳定的,但是由于在这个系统中有一个特别强势的角色,可能会出现严重的不对等现象。一方完全没有发言权,只能受到支配。同时,要形成这样的模型,意味着其中占主导的一方的综合素质指标M就会特别高,而这会造成什么影响呢?让我们看看太阳系中有多少行星围绕着太阳在转:

嗯,我想你懂了吧……



双星模型

在宇宙中,存在着大量的双星系统。组成双星的两个星球,靠得比较近,质量相差也不太大,他们能在彼此引力的作用下,相互环绕运行。

双星运动模式A

双星运动模式B

双星系统环绕的原点是它们的质心,质心在圆轨道的圆心上(模式A),或者在椭圆轨道的共同焦点上(模式B)。

在恋爱中,如果两个人的综合素质标准差距不是很大,那么就有可能形成双星模型。看上去似乎双星模型挺好的,两个人门当户对、势均力敌,不会因为一方过于强势而出现问题。但是,双星系统并不是很稳定,易受到暴力干扰。双星系统中,当两颗恒星运行至轨道近点时,非常容易受到强干扰,其程度如同银河系潮汐引力场作用,这会破坏当前恒星系统已形成的稳定结构。



三体模型

emmmmm……

咳咳,我们先来严肃地讨论一下物理学中的三体问题。

三体问题是天体力学中的基本力学模型。它是指三个质量、初始位置和初始速度都是任意的可视为质点的天体,在相互之间万有引力的作用下的运动规律问题。

三体问题不能精确求解,即无法预测所有三体问题的数学情景,只有几种特殊情况可以研究。

如果你看过刘慈欣的科幻小说《三体》,那么你一定对三星系统不陌生。三体人正是因为受不了自己所在星系的变化无常而觉得逃离母星进攻地球。

图片来源:Matrix67: The Aha Moments

由于三体系统没有确定的解析解,所以目前主要的研究方法还是通过数值求解、计算机模拟等。三体系统对初始条件十分敏感,任何微小的差别,都会导致系统最终朝着完全不同的方向发展,因此我们根本无法长时间预测系统最终的走向。这种对于长时间行为的不确定性,就是“混沌”现象。

回到我们的恋爱问题,假如你目前的恋爱模型是三体系统甚至多体系统,那我可以负责任地告诉你,这个系统是极其不稳定的!哪怕现在你觉得看上去达到了一个稳定状态,但是,只要任意一点微小的扰动,整个系统就会朝着不可预测的方向发展,而你根本无力挽回!

三体系统,还是让它存在于绚丽的浩瀚宇宙中吧~~

综上所述,我们可以看到,最稳定的恋爱模型就是:

单身孤立最稳原则:不恋爱,一个人的系统最稳定!




  结 论  

上面分析了这么多,总结下来就是:我们首先从概率论的角度得出了你不可能遇到合适的人的论断;进而,从热力学的角度来看,因为你遇不到合适的人,所以任何恋爱系统都会是一个耗散结构,会消耗双方大量的能量,这就会导致情侣无爱;同时,我们从万有引力模型出发,给恋爱系统建立了动力学模型,得出了异地恋感情会逐渐衰减的结论;接下来,我们又以天文学模型为基础,对比了几种常见的恋爱结构,发现单身孤立系统才是最稳定的结构

综上所述,我们得到结论:天下有情人终将分手!这是符合自然发展规律的,是理论上必然的结果。

大家可能会说,明明也有很多情侣一直走了下去最后结婚了啊!

是的,没毛病,“分手”指的是未婚的情侣之间断绝情侣关系,而要结婚确实得先解除情侣关系,然后再确定婚姻关系呀!所以“分手”没毛病~(我不听我不听,反正我就是得出了这个结论,哼~)

最后,本文将针对“一个人是否会单身”、“情侣为什么会分手”等问题给出一个终极的解析解,那就是:

看!脸!

一不小心就扯了这么多,我实在是有些编不动了……最后,感谢中科院物理所Alex Yuan、国科大物理学院陈浩、南方科技大学闫明旗等人对本文提供的帮助和支持!

现在,火把已经交到你的手上了,和我们一起,将这耀眼的光芒传递下去吧

祝大家节日快乐哟~笔芯


友情提示

2月15日除夕夜

中科院物理所微信公众号

将!有!大!动!作!

绝对刺激 绝对惊喜

敬请期待哟~


编辑:Alex Yuan


近期热门文章Top10

↓ 点击标题即可查看 ↓

1. 封杀这个公式,AI智商将为零?

2. 我这么优秀,姑娘为什么不喜欢我?

3. 那个学生物的自学量子力学,考研考了148……

4. 不懂量子力学?那你可以试试在家里做这五个实验!

5. 今天,物理所欢迎杰哥回家!

6. 《物理评论》125周年推出49篇精选论文,物理所这篇成为国内唯一上榜论文

7. 橡皮为什么能擦掉铅笔字?| No.89

8. 这是一个北方人轻而易举而南方人很难做的实验 | 正经玩

9. 就怕骗子有文化!量子隐身衣、滴血测癌、月球背面有外星人,都是假的!

10. 爱因斯坦最著名的方程的三个重要意义

点此查看以往全部热门文章


登录查看更多
0

相关内容

正态(或高斯或高斯或拉普拉斯-高斯)分布是实值随机变量的一种连续概率分布。高斯分布具有一些独特的属性,这些属性在分析研究中很有价值。 例如,法线偏差的固定集合的任何线性组合就是法线偏差。 当相关变量呈正态分布时,许多结果和方法(例如不确定性的传播和最小二乘参数拟合)都可以以显式形式进行分析得出。
【哈佛大学】机器学习的黑盒解释性,52页ppt
专知会员服务
172+阅读 · 2020年5月27日
【ACL2020-Google】逆向工程配置的神经文本生成模型
专知会员服务
17+阅读 · 2020年4月20日
【BAAI|2019】用深度学习模拟原子间势,王涵  (附pdf)
专知会员服务
18+阅读 · 2019年11月21日
从数学入手,3招打破机器学习工程师的边界
机器学习算法与Python学习
4+阅读 · 2018年10月9日
BAT机器学习面试题1000题(331~335题)
七月在线实验室
12+阅读 · 2018年8月13日
不用数学讲清马尔可夫链蒙特卡洛方法?
算法与数学之美
16+阅读 · 2018年8月8日
生活中处处的贝叶斯
算法与数学之美
4+阅读 · 2018年2月19日
揭开神秘面纱: 一文详解高斯混合模型原理
数据猿
4+阅读 · 2018年2月13日
酒鬼漫步的数学——随机过程 | 张天蓉专栏
知识分子
10+阅读 · 2017年8月13日
[有意思的数学] 参数估计
机器学习和数学
15+阅读 · 2017年6月4日
Knowledge Distillation from Internal Representations
Arxiv
4+阅读 · 2019年10月8日
Bivariate Beta LSTM
Arxiv
6+阅读 · 2019年10月7日
Geometric Graph Convolutional Neural Networks
Arxiv
10+阅读 · 2019年9月11日
Music Transformer
Arxiv
5+阅读 · 2018年12月12日
Implicit Maximum Likelihood Estimation
Arxiv
7+阅读 · 2018年9月24日
Arxiv
5+阅读 · 2017年12月14日
VIP会员
相关资讯
从数学入手,3招打破机器学习工程师的边界
机器学习算法与Python学习
4+阅读 · 2018年10月9日
BAT机器学习面试题1000题(331~335题)
七月在线实验室
12+阅读 · 2018年8月13日
不用数学讲清马尔可夫链蒙特卡洛方法?
算法与数学之美
16+阅读 · 2018年8月8日
生活中处处的贝叶斯
算法与数学之美
4+阅读 · 2018年2月19日
揭开神秘面纱: 一文详解高斯混合模型原理
数据猿
4+阅读 · 2018年2月13日
酒鬼漫步的数学——随机过程 | 张天蓉专栏
知识分子
10+阅读 · 2017年8月13日
[有意思的数学] 参数估计
机器学习和数学
15+阅读 · 2017年6月4日
相关论文
Knowledge Distillation from Internal Representations
Arxiv
4+阅读 · 2019年10月8日
Bivariate Beta LSTM
Arxiv
6+阅读 · 2019年10月7日
Geometric Graph Convolutional Neural Networks
Arxiv
10+阅读 · 2019年9月11日
Music Transformer
Arxiv
5+阅读 · 2018年12月12日
Implicit Maximum Likelihood Estimation
Arxiv
7+阅读 · 2018年9月24日
Arxiv
5+阅读 · 2017年12月14日
Top
微信扫码咨询专知VIP会员