回音壁模式光学微腔传感

2019 年 4 月 1 日 中国物理学会期刊网

作者:唐水晶1 李贝贝2 肖云峰1

(1 北京大学物理学院)

(2 中国科学院物理研究所)


摘要 回音壁模式光学微腔具有很高的品质因子和较小的模式体积,能极大地增强腔内光场与物质相互作用,已经成为超高灵敏光学传感的优异平台,也是国际学术前沿之一。文章简介了回音壁微腔传感研究现状与热点、微腔传感平台及传感机制原理;着重列举了微腔传感的部分典型应用,例如纳米尺度单个颗粒检测、温度传感、磁场传感、化学气体传感以及压力/应力等物理量传感等;最后对光学微腔传感的研究进行了展望。


关键词 回音壁模式光学微腔,微腔传感,单纳米颗粒检测,生物传感,磁场传感


1 回音壁模式光学微腔传感简介与研究历史现状


1.1 回音壁模式微腔传感简介


“耳语回廊”模式(whispering-gallery mode,WGM)最早发现于声学体系中。在北京天坛和英国伦敦的圣保罗大教堂(图1(a,b))都有一个结构类似的环形“耳语回廊”。它们有一个共同特征:当两个人贴近墙内壁站立,若一个人在一端对着回廊窃窃私语,即便他们相隔很远,走廊另一端的人也可以清楚地听到,犹如耳边低语,“耳语回廊”以此得名。早在19 世纪,著名科学家Rayleigh 爵士就首次分析了其中的声学原理给出了物理解释。他认为:这是由于声波沿着回廊光滑的墙内壁连续反射来进行传播,传播损耗很小。这种声波模式也因此被命名为“耳语回廊模式”,而在中国我们习惯性叫作“回音壁模式”。由于电磁波在从光密介质向光疏介质传播时会发生全反射现象,因此在如图1(c,d)具有旋转对称的几何结构中,当光线沿着几何结构边界内壁传播时会发生连续的全反射,光束被约束在环形边界上,从而产生类似的回音壁现象。若光束绕几何结构边界行走一圈的光程满足波长的整数倍时,会产生干涉加强现象即共振现象,其中用来约束光场的环形结构即被称为回音壁模式光学微腔。


图1 (a)北京天坛;(b)英国伦敦圣保罗大教堂;(c)微腔内光线全反射示意图;(d)回音壁模式电场强分布


由于回音壁模式光学微腔可以将谐振光子长时间限制在微米尺度,光子可以与谐振模式范围内的物质多次相互作用,因此回音壁模式微腔具有极高的传感灵敏度,这使之成为国内外传感领域的前沿研究热点。在2002 年,英国的Frank Vollmer 和美国的Stephen Arnold 研究组第一次发展了回音壁模式微腔传感器,他们通过监测回音壁模式微球腔的谐振波长移动成功探测到水溶液中的蛋白质[1]。然后这个领域迅速发展,回音壁模式光学微腔现在已经广泛用于高灵敏度传感和检测单生物分子、磁场、温度以及应力压强等,目前有几篇回音壁微腔传感的英文综述对这个领域进行了总结[2—5]。在2016 年,Frank Vollmer研究小组利用回音壁模式微球腔与金纳米棒的等离激元谐振耦合,通过监测回音壁模式谐振频率移动在水溶液中成功检测到单个原子离子[6]。目前传感器也逐渐由实验研究走向实际应用,2018 年美国圣路易斯华盛顿大学的杨兰教授研究组将回音壁微芯圆环腔及其耦合装置、可调谐单模激光器、光电探测器、光电处理单元和Wi-Fi 单元封装芯片集成,做成了具有物联网控制功能的高灵敏度温度传感器并将之成功用于航空测绘领域[7]


1.2 光学微腔的主要参数


描述光学微腔的回音壁模式通常有几个特征参数,其中最重要的两个参数分别为品质因子(Quality factor, Q) 和模式体积(Mode volume,Vm),另外还有自由光谱范围(Free spectral range,FSR)、线宽(Linewidth)、功率堆积因子(Build-up factor)和精细度(Finesse)等。在传感领域通常要求微腔具有高品质因子和小模式体积来增加传感器的灵敏度,如果要测量模式光谱的移动和展宽等会比较关注自由光谱范围和精细度。


品质因子可以用来描述微腔中光子被约束的时间,定义为Q= ω W/(-dW /dt)= ωτ = λ/Δλ ,其中,W是腔内储存的能量,-dW/dt 是单位时间内耗散的能量,ω和λ 分别是模式的共振角频率和共振波长,τ是腔内光场的光子寿命, Δλ 为模式线宽。因此若微腔损耗越小,光子寿命越长,则微腔的品质因子越高,回音壁模式的线宽就越窄。微腔的品质因子主要取决于微腔的本征损耗(辐射损耗Qrad 、材料吸收损耗Qmat 、散射损耗Qsca)和耦合引入的外部损耗Qcoup ,微腔的品质因子则为Q-1 =Qrad-1+Qmat-1 +Qsca-1+Qcoup-1


模式体积描述微腔对光子在空间上的约束程度,其定义为Vm = ∫V ε(r)|E(r)|2d3r/max[ε(r)|E(r)|2] 。模式体积强烈依赖于微腔大小。对于Fabry—Pérot光学微腔,模式体积约等于腔的体积;对于回音壁模式光学微腔,模式的截面积可以到波长的平方量级,模式体积则约为微腔周长乘以截面积。


稳定的回音壁模式要求: 2πneffR =mλm ,其中neff是模式的有效折射率,R 是微腔半径,m是角量子数,λm是共振波长。自由光谱范围指其他量子数完全相同,只有角量子数相差1 的两个回音壁模式之间的频率或者波长间隔。精细度来源于Fabry-Pérot 标准具,用来衡量标准具的光谱分辨能力,定义为自由光谱范围与模式线宽之比。功率堆积因子用来描述腔内功率与输入功率之比,即对应着光子在腔内循环的圈数, 表达式为B = λQ/2π2nD ,其中n 为折射率,D 为微腔的直径。对于直径为50 μm、品质因子为108 的二氧化硅微腔,在1550 nm 波段微腔的功率堆积因子约为105。也就是光子在微腔内循环十万圈才耗散,因此在微腔内极大地增强了光与物质相互作用。


1.3 光学微腔平台与耦合方法


常见的回音壁模式光学微腔如图2 所示,包含微球腔(a)、微泡腔(b)、微盘腔(c)和微芯圆环腔(d)等。下面简单介绍这4 种微腔的制备工艺。微球腔主要通过熔融拉制光纤制备而成,借助于二氧化硅的表面张力可以形成品质因子为108的微球腔,制备方法简单。微泡腔也利用相类似的原理,通过熔融毛细管壁同时加大毛细管内部压强,加热区域逐渐膨胀形成微泡腔[8,9]。微盘腔则可以通过成熟的半导体光刻与刻蚀工艺进行制备。微芯圆环微腔在微盘腔的基础上,利用二氧化碳激光器照射微盘腔进行回流处理形成微芯圆环腔[10]


图2 几种常见的回音壁模式光学微腔(a)微球腔;(b)微泡腔;(c)微盘腔;(d)微芯圆环腔


由于回音壁模式是基于全内反射形成,微腔内行波波矢大于自由空间波矢,由于动量失配,自由空间的光很难耦合到回音壁模式微腔内,因此通常采用近场耦合方式。常用的近场耦合方式是利用动量匹配的倏逝场进行耦合,可以达到极高的耦合效率,主要的耦合器件如图3 所示,有光纤锥(a)[11,12]、棱镜(b)[13,14]以及侧边抛磨光纤(c)[14—17]等。另外还有研究人员通过微腔散射缺陷或者在微腔表面刻蚀光栅进行耦合,耦合效率不可调,另外微腔表面的缺陷会降低回音壁微腔的品质因子[18—21]


图3 回音壁模式的耦合(a)波导耦合;(b)棱镜耦合;(c)侧边抛磨光纤耦合


2 微腔传感机制


2.1 基本传感机制


2.1.1 模式移动


模式移动传感机制的基本原理是回音壁模式的谐振波长会随着环境变化而改变。一般通过监测微腔的传输谱、反射谱或者辐射谱得到回音壁模式谐振频率,微腔传感测试平台一般如图4(a)所示。模式移动是最常用的回音壁模式微腔传感机制。模式移动机制既可以用来检测单分子颗粒大小或者物质的浓度信息,又可以得到微腔环境物理参数的变化,比如温度、湿度、压强或者磁场等信息。


图4 回音壁微腔基本传感机制[3] (a)单纳米颗粒—微腔—光纤锥耦合系统。探测光经过光纤锥耦合到腔模中,腔模在传输谱上呈现洛伦兹线型。当纳米颗粒粘附到微腔上会引起:(b)模式移动;(c)模式分裂;(d)模式展宽


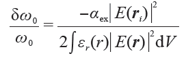
下面以回音壁模式微腔检测单纳米颗粒为例对传感机制进行解释说明。若单个纳米颗粒(或者生物分子)进入微腔倏势场区域时(为了简化,这里考虑微球腔),当纳米颗粒的折射率高于微腔周围环境折射率时,回音壁模式有效折射率增加,造成回音壁模式谐振频率发生红移(图4(b))。根据一阶微扰理论,单纳米颗粒导致的模式移动大小δω0 表示为[22,23]

其中, εr 是介质的介电常数, ω0 代表模式谐振角频率, αex 为颗粒的极化强度。从公式中可以看出模式移动大小不仅与颗粒的极化强度(取决于粒子的尺寸与折射率)有关,而且跟颗粒所在位置电场强度有关,即与颗粒粘附位置有关。


2.1.2 模式分裂


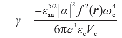
回音壁模式一般为行波模式,由于回音壁微腔具有旋转对称性,可以天然支持一对正反传播的回音壁模式,分别为顺时针(clockwise,CW)和逆时针(counterclockwise,CCW)模式。通常两者之间无耦合,这两种模式具有相同的谐振频率和场分布。当纳米颗粒或者生物分子进入回音壁模式倏势场区域时,不仅会通过侧向散射将部分光场能量耗散到自由空间中,也会通过背向散射引起CW模式和CCW模式之间的耦合。此时CW模式和CCW模式简并解除,并且同时会形成两个新的本征模式。这两个新的本征模式是由CW模式与CCW模式叠加而形成的驻波模式,即对称模式(散射体处于驻波波腹处)与反对称模式(散射体处于驻波波节处)。对于反对称模式,由于颗粒处于波节处,此处电场强度几乎为0,模式场强几乎不受散射体影响,因此反对称模式相比引入散射体之前的行波模式,谐振频率与线宽均不变。而对于对称模式,由于散射体的存在增大了模式的有效折射率并且引入了额外耗散,因此共振波长红移同时模式线宽被展宽。由原来一个模式分裂成对称模式与反对称模式的现象叫做模式分裂(图4(c)),两者之间的频率差[2, 3,25]

另外对称模式与反对称模式线宽之差为

其中εm 、εp 和εc 分别代表微腔周围环境、散射体和微腔的介电常数。α 为散射体的极化率, 对纳米尺度球形颗粒α =4πR3p - εm)/(εp + 2εm) ,R 为颗粒半径, Vc 和ωc分别为回音壁模式体积和谐振频率, g 为正反行波模式之间的耦合强度。


因此模式分裂的基本传感原理为:待测颗粒会引起微腔的回音壁模式分裂,以模式频率分裂大小和线宽变化大小为传感信号表征待测物的大小等信息。模式频率分裂和线宽改变均可以通过测量传输谱直接获得。由于对称模式和反对称模式处于同一个微腔中,且场分布相同,因此受完全相同的噪声所影响,如激光频率噪声和热噪声等。因此通过监测两者谐振频率或者线宽之差即可消除以上噪声。另外以上两个公式中可以得出,频率差与线宽差之比δ/γ 可以抵消场分布f (r) 的依赖。因此传感信号与散射体在微腔上的粘附位置无关,这是模式分裂相比模式移动另一个优势[26,27]


2.1.3 模式展宽


在模式分裂传感机制中要求模式分裂大于模式线宽。但其实即使颗粒散射引起的模式分裂小于线宽,传输谱上也可以观察到模式线宽增加(图4(d))。模式展宽机制可以适用于模式分裂不可分辨的情况,主要以颗粒散射导致的模式线宽变化作为检测信号,这个线宽变化程度取决于正反行波模式之间的耦合强度和纳米颗粒侧向散射导致的腔模损耗。由于环境热噪声或者激光频率噪声等只会影响回音壁模式谐振频率,而不会影响模式线宽,因此模式展宽机制对这些噪声具有天然的免疫能力。同时,其不要求模式分裂大于线宽,因此模式展宽机制比无源模式分裂机制一般具有更低的检测极限[28]


2.1.4 耗散型传感机制


以上3 种机制主要是基于颗粒导致的散射。模式移动和模式分裂分别取决于散射体在微腔上导致的前向散射、背向散射,模式展宽则取决于散射体在微腔上导致的侧向散射和背向散射,因此这些传感机制是基于待测物极化率的实部。耗散型传感机制则主要基于待测物极化率虚部,也就是通过利用待测物的吸收损耗导致的模式线宽变化进行检测[29]。耗散型传感机制适用于检测吸收系数较大的待测物,比如金属纳米颗粒、碳纳米管等。


2.2 灵敏度提高机制与新方法


目前人们已经提出很多回音壁模式微腔传感灵敏度提高方法,主要包括几个方面:(1)局域表面等离激元增强:将局域表面等离激元场增强效应与微腔的超低损耗模式结合为杂化微腔[30,31]。这种方法的传感灵敏度极高,例如Frank Vollmer 研究组已基于这种机制成功检测到单个原子离子[6]。(2)自外差激射拍频测量:利用有源腔两个分裂的激射模式产生的拍频为信号进行检测[32,33]。由于有源腔存在激光增益,因此其模式线宽远远低于无源腔的模式线宽,这样就可以极大地降低模式分裂的检测极限。(3)锁模:传统的传感机制需要一个可调谐激光器对波长进行扫描得到模式传输谱,从而得到模式的谐振频率以及线宽等信息[34,35]。通过Pound—Drever—Hall 锁模技术可以将激光频率实时调节到回音壁模式谐振频率处,通过实时追踪谐振频率的变化作为信号进行传感,这种方法时间分辨率很高。另外,通过微腔振铃效应[36—38]、背散射[39,40]和奇异点[41,42]等手段可以提高时间分辨率或者降低检测极限。


3 微腔传感应用


目前,回音壁模式光学微腔广泛用于单纳米尺度颗粒物检测以及各种微腔环境物理参数传感,如温度、磁场、应力以及陀螺仪[43—45]等。接下来简单介绍回音壁模式微腔在以下几个应用方面的基本原理和发展情况。


3.1 单纳米颗粒检测及生物传感


单纳米尺度颗粒探测对疾病的早期诊断、环境监测、易爆物品探测以及半导体制造工艺流程控制等应用方面具有重大意义。光学传感由于具有灵敏度高、成本低廉以及器件小等特点近年来受到广泛关注,目前光学传感方式如纳米波导传感器[46—49]、回音壁微腔传感器、光子晶体传感器[50,51]等已经成功用于单纳米颗粒检测。其中,回音壁微腔传感器由于其超高品质因子和小模式体积,可以极大地提高光与物质的相互作用,目前已经达到了单分子甚至单原子离子检测水平。回音壁微腔可以用来检测不同类型的颗粒,实验上通过利用聚苯乙烯、金纳米球、病毒或者二氧化硅等颗粒进行验证,检测的大小范围通常是几十到几百纳米量级。在2008 年,Frank Vollmer 等利用微球腔的模式移动机制成功实现了单聚苯乙烯颗粒和单个流感病毒(influenza A virus)的检测[22](图5(a,b)。在2010 年,Lan Yang 研究组也是通过检测聚苯乙烯小球颗粒验证了模式分裂传感机制的可行性,并同时验证了模式分裂可以得到纳米颗粒尺寸信息[24](图5(c,d))。在2013 年,北京大学肖云峰研究组也通过对聚苯乙烯颗粒和单病毒颗粒的检测验证了模式展宽探测机制的可行性[28](图5(e,f))。


图5 单纳米颗粒及单病毒颗粒检测,分别基于以下几种微腔传感机制:(a,b)模式移动[22];(c,d)模式分裂[24];(e,f)模式展宽[28]


回音壁模式微腔具有超高灵敏度和芯片集成以及对待测物总量要求低等优点,近年来受到生物传感领域的广泛关注。生物传感是回音壁模式微腔传感最有前景的应用之一,它也是近年来发展最迅速的领域之一。微腔传感已经相继证明了可以用来检测各种蛋白质分子和核苷酸小分子等。早在2002 年,回音壁微腔第一次用于传感领域就是利用蛋白质分子进行验证的,Vollmer 等人成功检测到纳摩尔浓度的牛血清蛋白和链霉亲和素。2013 年美国Stephen Arnold 研究组利用表面局域等离激元杂化回音壁微腔成功检测到质量为1 ag和0.11 ag的单个甲状腺球蛋白分子(thyroglobulin)和牛血清蛋白分子(BSA)[52](图6(a,b))。2016年加州理工大学的Judith Su 研究组将锁模技术用于追踪回音壁模式谐振模长的移动探测到质量为15.5 kDa 的单个人类白细胞介素2(human interleukin-2 molecule)分子[35](图6(c,d))。Frank Vollmer研究组利用等离激元增强的回音壁微腔成功检测到8 配位的核苷酸,并监测到了核苷酸与其匹配链之间的相互作用[53](图6(e,f))。2017 年他们利用相同的平台实现了聚合酶(polymerase)和DNA之间的相互作用机制以及聚合酶的构型改变监测[54]


图6 生物单分子检测(a)基于局域表面等离激元杂化微腔的单个牛血清蛋白分子(BSA)探测结构示意图[52];(b)BSA 探测模式移动台阶信号;(c)PDH 锁模机制光路与电路示意图;(d)基于锁模机制的单个人类白细胞介素2 检测信号[35];(e)基于局域表面等离激元杂化微腔的单个核苷酸链分子检测模式移动台阶信号,(f)检测单个核苷酸链分子模式移动统计分布图[53]


另外,现在大多数微腔传感实验都主要是在相对简单的溶液环境中进行验证的,但是在复杂环境中,如果希望检测某种颗粒或者分子,就需要借助一些化学修饰、表面功能化或者分子拉曼检测[55,56]等方式进行特异性识别。


3.2 温度传感


回音壁模式光学微腔进行温度传感的基本原理是:当微腔所处环境温度改变时,由于微腔材料本身的热折变或者热膨胀效应,分别导致材料折射率和微腔尺寸的改变,二者均会改变共振模式的谐振波长。如之前所提到的,在模式移动传感机制中,谐振波长很容易受到热效应的影响,包括微腔所处环境的温度起伏以及探测光对微腔的加热效应,二者均会导致共振模式谐振波长的移动,在信号中引入热噪声。在抑制热噪声上,我们常用的微腔材料主要是二氧化硅和硅材料,它们具有正的热膨胀系数与热折变系数,He等人通过在二氧化硅微芯圆环腔表面涂覆上一层热折变系数为负的PDMS材料,通过设计PDMS层厚度完全抑制了微腔的热折变噪声[57—59]。从另一方面考虑,我们可以利用回音壁模式微腔的温度敏感特性来实现高灵敏度的温度传感。


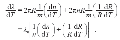
一般地,在折射率为n 和半径为R 的微腔中,共振波长可以近似为

当微腔环境温度T改变时,共振波长的变化量为

其中m为回音壁模式角模式数,dn/dT和(1/R)(dR/dT)分别为腔体材料的热折变系数和热膨胀系数。因此提高腔体材料的热折变系数和热膨胀系数,即可提高温度灵敏度。另外,提高微腔的品质因子同样也可以提高对温度的分辨率。


从2006 年Nawrocka 等在硅环形微腔中实现了灵敏度为0.11 nm/K 的温度调谐[60]以来,有很多利用回音壁微腔实现温度传感的研究工作出现。如上所述,温度传感灵敏度可以从微腔的品质因子以及材料的属性如热膨胀系数和热折变系数上考虑。2009 年,Wu 等人在二氧化硅和聚合物结型微腔中分别实现了灵敏度为52 pm/K 和266 pm/K 的温度传感[61]。但是以上工作中硅环形微腔以及聚合物结型微腔的较低的品质因子(不超过104)以及二氧化硅微腔较小的热折变系数和热膨胀系数,都无法实现高灵敏度的温度传感。后来,2009 年C. Dong 等人制备了品质因子为106的PDMS微球腔实现了灵敏度为0.245 nm/K 和探测极限低至2×10-4K的温度传感[62]。2010 年B. B. Li 等人通过将PDMS覆盖在超高品质因子的微芯圆环腔上实现了易于芯片集成的灵敏度为0.151 nm/K和探测极限低至1×10-4K的温度传感[63]。目前,人们已经将在热光系数较大的材料比如PDMS[59,61,63]、紫外固化胶[64,65]、铌酸锂[66]以及染料掺杂的光刻胶[67]和热膨胀系数较大的丝织物材料[68]用于微腔温度传感,已经实现了灵敏度最高为1.17 nm/K的微腔温度传感。图7 总结了目前典型的回音壁模式微腔温度传感器的品质因子和灵敏度。特别地,2016 年Goldsmith 研究组将金纳米棒的表面等离激元与高品质回音壁微腔结合做出了具有单颗粒分辨率的热感成像谱仪[69]。另外,如图8 所示,在2018 年美国圣路易斯华盛顿大学的杨兰教授研究组将回音壁微芯圆环腔及其耦合装置、可调谐单模激光器、光电探测器、光电处理单元和Wi-Fi 单元封装芯片集成,做成了具有物联网控制功能的高灵敏度温度传感器并将之成功用于航空测绘领域[7],将回音壁微腔温度传感器向实际应用推进了一大步。


图7 几种典型微腔温度传感器的品质因子Q和温度传感灵敏度[5]


图8 无线回音壁微腔温度传感器[7] (a)无线回音壁微腔温度传感系统示意图。探测光从DBR激光器中传输到封装的回音壁微腔中,光电探测器接收经过微腔的传输谱,然后经过信号放大单元与光电处理单元。传感系统可以通过Wi-Fi 单元利用智能手机控制和读出分析;(b)传感器的苹果iOS 手机控制软件;(c)传感系统主板图


3.3 磁场传感


回音壁微腔磁场传感主要是基于磁致伸缩效应的腔光力磁力仪。由于它体积小,易于片上集成,且可以常温下工作等优势,近些年来吸引了人们很多的研究兴趣。通常将磁致伸缩材料和微腔材料结合,外界磁场会通过磁致伸缩材料的形变造成微腔尺寸的变化;而周期性变化的交变磁场则会引起微腔尺寸的周期性变化,从而对微腔的光学共振波长周期性调制。当磁场周期与微腔的机械模式共振时,引起的微腔形变由于机械共振效应而被放大;同时由于回音壁模式光学极高的光学品质因子,其光学读出信号也被放大。这种光学与机械模式的双共振效应,使得这种微腔光力学磁力仪具有很高的灵敏度。而且,由于微腔在很宽的频率范围上支持多个机械模式,因此微腔光力学磁力仪有很宽的工作频率范围,即带宽。目前用作腔光力磁力仪的磁致伸缩材料主要为铽镝铁稀土材料(Terfenol-D)[70—74],由于其在常温下具备较大的磁致伸缩系数。2012 年,S. Forstner等人第一次通过用胶水将Terfenol-D 粘合到微芯圆环腔顶部实现了MHz频段灵敏度为400 nT/Hz1/2的腔光力磁力仪[70](图9(a))。2014 年,S. Forstner等人通过微纳加工在微芯圆环腔内部制备微孔并将Terfenol-D 放置于微孔内从而增强Terfenol-D 的伸缩与微腔机械模式的耦合,将MHz频段的灵敏度提高至200 pT/Hz1/2,并利用Terfenol-D 磁致伸缩的非线性效应将低频磁场的响应混合到高频,实现了对低频段磁场的探测[71](图9(b))。2018 年,B. B. Li 等人通过磁控溅射法制备Terfenol-D 薄膜于微腔中,实现了微腔磁力仪的批量制备,这种方法制备的磁力仪可控性好,并具有较好的一致性[72](图9(c))。2018 年,B. B. Li 等人通过利用相位压缩光降低磁力仪系统中来自探测激光的散粒噪声[73],从而可以提高微腔磁力仪的灵敏度。与利用相干光探测相比,将磁力仪的灵敏度提高了20%左右,将磁力仪的3 dB带宽提高50%左右(图9(d))。


图9 微腔光力学磁力仪(a) 通过胶水将磁致伸缩材料Terfenol-D 粘合到微芯圆环腔上方形成的磁力仪[70];(b)通过胶水将磁致伸缩材料Terfenol-D 粘合到微腔内部的微孔中形成的磁力仪[71]; (c) 通过磁控溅射法制备磁致伸缩材料Terfenol-D 薄膜于微腔之中形成的磁力仪[72];(d)采用压缩光探测磁力仪,降低激光散粒噪声,从而提高灵敏度[73]。图中红线和蓝色线分别代表利用相干光与压缩光探测的噪声水平;(e)将Terfenol-D 圆柱嵌入厘米尺寸的氟化钙回音壁腔中形成的磁力仪[74];(f)通过PDMS将毫米尺寸的磁铁嵌入微腔上方,通过磁场对磁铁的力矩作用在PDMS中形成应力从而调谐微腔而形成的磁力仪[75]


此外,低频段(kHz 及其以下)磁场的检测在一些特定的应用中,如地磁检测、脑磁检测等方面具有非常重要的应用。为了实现低频段磁场的检测,2016 年,于长秋等人通过将Terfenol-D 圆柱放置于厘米尺寸的氟化钙晶体腔中,实现了在kHz 频段131 pT/Hz1/2 的灵敏度[74] (图9(e))。2017年,J. Zhu 等人通过PDMS 将毫米尺寸的磁铁包裹于二氧化硅微腔上方,利用磁场对磁铁的力矩在PDMS 中形成应力,从而改变其折射率来调谐光学共振模式,实现了kHz频段880 pT/ Hz1/2的灵敏度[75](图9(f))。


3.4 化学气体传感


回音壁模式微腔在化学气体传感领域运用也比较广泛。通常在微腔表面覆盖一层具有某种化学气体特异性识别功能材料如聚合物层,当待测气体与功能材料接触后会导致功能材料的折射率等物理参数的变化,一般通过检测回音壁模式谐振波长的移动判断气体的存在与否或者进一步获取气体浓度等信息。目前回音壁微腔可以成功用于检测氨气[42,76]、二硝基苯酚气体[77]、乙醇气体[78—81]和氦/氩气[82]等。其中,在2007 年B. Yao 等人利用将石墨烯材料放入微泡腔内部如图10 所示,利用其布里渊光机械模式实现了超高灵敏度的氨气检测[42]


图10 基于石墨烯材料的布里渊光机械模式微腔气体传感(a)石墨烯—微泡腔的气体传感装置示意图;(b)机械模式频率与氨气浓度之间的关系


3.5 应力/压强传感


利用回音壁微腔实现应力或者压强的传感原理通常为:应力或者压强变化导致微腔形变或者挤压导致的折射率变化,引起微腔回音壁模式谐振波长的移动。目前应力/压强传感主要基于微球腔[83,84]和微泡腔[85—87]为主。微泡腔由于可调谐性能和具有毛细管通道等优点,近年来经常被用于微流以及应力压强传感领域。从另一个角度看,应力也提供了一种有效的调谐微腔光学模式的途径。例如,2018 年,C. Bekker 等人通过在微腔上设计电极结构,从而可以通过电场调谐微腔的模式,实现了微腔的整个自由光谱范围的调谐[88],为可重构光学网络提供了元器件。此外,2018 年S. J. Tang 等人利用应力调谐具有激光增益的有源微泡腔,实现了可调谐的激光出射,并通过远场激发远场收集有效解决了光线锥与微腔耦合不稳定等问题[9]


4 总结与展望


本文首先总结了回音壁模式微腔传感的研究历史与研究现状、回音壁微腔结构、特征参数以及耦合方式。然后介绍了回音壁模式微腔的传感机制以及灵敏度提高的新机制与新方法。最后叙述了微腔传感在单颗粒探测、生物传感、磁场传感、温度传感、化学气体传感、压力/应力传感等方面的应用。微腔传感领域近些年来发展迅速,其灵敏度逐步提高,而真实环境中的生物检测等应用也为微腔传感器的实用性提出了各种挑战与机遇。例如,为了克服真实生物液体环境中微腔耦合不稳定的问题,可以采用微泡腔,为生物检测样品提供微流通道。而为了实现原位检测,可以将微纳回音壁微腔激光器植入生物机体内,就可以直接通过远程激发和远程读取激光信号实现生物体原位信息检测[89—93]。随着微纳加工技术的进步,人们有望逐步解决回音壁微腔传感器在真实应用中的各种技术挑战,从而将微腔传感器推向真实的应用。


参考文献

[1] Vollmer F,Braun D,Libchaber A et al. Appl. Phys. Lett.,2002,80:4057

[2] Vollmer F,Yang L. Nanophotonics-Berlin,2012,1:267

[3] Zhi YY,Yu X C,Gong Q H et al. Adv. Mater.,2017,29:1604920

[4] Kim E,Baaske M D,Vollmer F. Lab Chip,2017,17:1190

[5] Jiang X,Qavi A J,Huang S H et al. arXiv:1805.00062 [physics. optics],2018

[6] Baaske M D,Vollmer F. Nat. Photonics,2016,10:733

[7] Xu X Y,ChenWJ,Zhao G M et al. Light-Sci. Appl.,2018,7:62

[8] Sumetsky M,Dulashko Y,Windeler R S. Opt. Lett.,2010,35:898

[9] Tang S J,Liu Z H,Qian Y J et al. Adv. Mater.,2018,30:1804556

[10] Armani D K,Kippenberg T J,Spillane S M et al. Nature,2003,421:925

[11] Knight J C,Cheung G,Jacques F et al. Opt. Lett.,1997,22:1129

[12] Rowland D R,Love J D. Iee Proc.-J,1993,140:177

[13] Mazzei A,Gotzinger S,Menezes L D et al. Opt. Commun.,2005,250:428

[14] Gorodetsky M L,Ilchenko V S. Opt. Commun.,1994,113:133

[15] Dubreuil N,Knight J C,Leventhal D K et al. Opt. Lett.,1995,20:813

[16] Griffel G,Arnold S,Taskent D et al. Opt. Lett.,1996,21:695

[17] Serpenguzel A,Arnold S,Griffel G. Opt. Lett.,1995,20:654

[18] Apalkov V M,Raikh M E. Phys. Rev. B,2004,70:195317

[19] Dettmann C P,Morozov G V,Sieber M et al. Phys. Rev. A,2009,80:063813

[20] Liu Y C,Xiao Y F,Jiang X F et al. Phys. Rev. A,2012,85:013843

[21] Shu F J,Jiang X F,Zhao G M et al. Nanophotonics-Berlin,2018,7:1455

[22] Vollmer F,Arnold S,Keng D. P. Natl. Acad. Sci. USA,2008,105:20701

[23] Arnold S,Khoshsima M,Teraoka I et al. Opt. Lett.,2003,28:272

[24] Zhu J G,Ozdemir S K,Xiao Y F et al. Nat. Photonics,2010,4:46

[25] Mazzei A,Goetzinger S,Menezes L D et al. Phys. Rev. Lett.,2007,99:173203

[26] Xu Y L,Tang S J,Yu X C et al. Phys. Rev. A,2018,97:063828

[27] Zhu J G,Ozdemir S K,He L et al. Opt. Express,2011,19:16195

[28] Shao L B,Jiang X F,Yu X C et al. Adv. Mater.,2013,25:5616

[29] Shen B Q,Yu X C,Zhi Y Y et al. Phys. Rev. Appl.,2016,5:024011

[30] Xavier J,Vincent S,Meder F et al. Nanophotonics-Berlin,2018,7:1

[31] Bozzola A,Perotto S,De Angelis F. Analyst,2017,142:883

[32] Li B B,Clements W R,Yu X C et al. P. Natl. Acad. Sci. USA,2014,111:14657

[33] Ozdemir S K,Zhu J G,Yang X et al. P. Natl. Acad. Sci. USA,2014,111:E3836

[34] Swaim J D,Knittel J,Bowen W P. Appl. Phys. Lett.,2013,102:183106

[35] Su J,Goldberg A F G,Stoltz B M. Light:Sci. Appl.,2016,5:e16001

[36] Cheema M I,Kirk A G. J. Opt. Soc. Am. B,2015,32:355

[37] Cheema M I,Mehrabani S,Hayat AA et al. Opt. Express,2012,20:9090

[38] Rosenblum S,Lovsky Y,Arazi L et al. Nat. Commun.,2015,6:6788

[39] Knittel J,Swaim J D,McAuslan D L et al. Sci. Rep.-Uk,2013,3:2974

[40] Zhu J G,Ozdemir S K,Yang L. https://doi.org/10.1364/CLEO_SI.2013.CM2H.5

[41]Wiersig J. Phys. Rev. Lett.,2014,112:203901

[42] Yao B C,Yu C B,Wu Y et al. Nano Lett.,2017,17:4996

[43] Li J,Suh M G,Vahala K. Optica,2017,4:346

[44] Matsko A B,Savchenkov A A,Ilchenko V S et al. Opt. Commun.,2004,233:107

[45] Yan L,Xiao Z S,Guo X Q et al. Appl. Phys. Lett.,2009,95:141104

[46] Zhu J G,Ozdemir S K,Yang L. IEEE Photon. Tech. Lett.,2011,23:1346

[47] Yu X C,Li B B,Wang P et al. Adv. Mater.,2014,26:7462

[48] Tang S J,Liu S,Yu X C et al. Adv. Mater.,2018,30:1800262

[49] Yu X C,Zhi YY,Tang S J et al. Light-Sci. Appl.,2018,7:18003

[50] Lin S Y,ZhuWQ,Jin Y H et al. Nano Lett.,2013,13: 559

[51] Zhuo Y,Hu H,ChenWL et al. Analyst,2014,139: 1007

[52] Dantham V R,Holler S,Barbre C et al. Nano Lett.,2013,13:3347

[53] Baaske M D,Foreman M R,Vollmer F. Nat. Nanotechnol.,2014,9:933

[54] Kim E,Baaske M D,Schuldes I et al. Sci. Adv.,2017,3:e1603044

[55] Yin Y,Qiu T,Ma L B et al. J. Phys. Chem. C.,2012,116:25504

[56] Huang S H,Jiang X F,Janisch C et al. Proc. Spie.,2017,10081

[57] Han M,Wang A. Opt. Lett.,2007,32:1800

[58] Teng J,Dumon P,Bogaerts W et al. Opt. Express,2009,17:14627

[59] He L,Xiao Y F,Dong C et al. Appl. Phys. Lett.,2008,93:201102

[60] Nawrocka M S,Liu T,Wang X et al. Appl. Phys. Lett.,2006,89:071110

[61]Wu Y,Rao Y J,Chen Y H et al. Opt. Express,2009,17:18142

[62] Dong C H,Sun F W,Zou C L et al. Appl. Phys. Lett.,2010,96:061106

[63] Li B B,WangQY,XiaoYF et al. Appl. Phys. Lett.,2010,96:251109

[64] Yan Y Z,Zou C L,Yan S B et al. Opt. Express,2011,19:5753

[65] Gu G Q,Chen L J,Fu H Y et al. Chin. Opt. Lett.,2013,11:101401

[66] Luo R,Jiang HW,Liang H X et al. Opt. Lett.,2017,42:1281

[67] Ioppolo T,Manzo M. Appl. Optics,2014,53:5065

[68] Xu L H,Jiang X F,Zhao G M et al. Opt. Express,2016,24:20825

[69] Heylman K D,Thakkar N,Horak E H et al. Nat. Photonics,2016,10:788

[70] Forstner S,Prams S,Knittel J et al. Phys. Rev. Lett.,2012,108:120801

[71] Forstner S,Sheridan E,Knittel J et al. Adv. Mater.,2014,26:6348

[72] Li B B,Bulla D,Prakash V et al. APL Photonics,2018,3:120806

[73] Li B B,Bilek J,Hoff U B et al. Optica,2018,5:850

[74] Yu C Q,Janousek J,Sheridan E et al. Phys. Rev. Appl.,2016,5:044007

[75] Zhu J G,Zhao G M,Savukov I et al. Sci. Rep.-Uk,2017,7:8896

[76] Passaro V M N,Dell'Olio F,De Leonardis F. Sensors-Basel,2007,7:2741

[77] Sun Y Z,Liu J,Frye-Mason G et al. Analyst,2009,134:1386

[78] Pang F F,Han X Y,Chu F H et al. Sensor Actuat. B-Chem.,2007,120:610

[79] Yebo N A,Lommens P,Hens Z et al. Opt. Express,2010,18:11859

[80] Ksendzov A,Homer M L,Manfreda A M. Electron. Lett.,2004,40:63

[81] Shopova S I,White I M,Sun Y et al. Anal. Chem.,2008,80:2232

[82] Gregor M,Pyrlik C,Henze R et al. Appl. Phys. Lett.,2010,96:231102

[83] Ioppolo T,Otugen M V. J. Opt. Soc. Am. B,2007,24:2721

[84] Ioppolo T,Kozhevnikov M I,Stepaniuk V et al. Appl. Optics,2008,47:3009

[85] Yang Y,Saurabh S,Ward J M et al. Opt. Express,2016,24:294

[86] Madugani R,Yang Y,Le V H et al. Ieee Photonic Tech. L.,2016,28:1134

[87] Chen Y,Zhou Z H,Zou C L et al. Opt. Express,2017,25:16879

[88] Bekker C,Baker C G,Kalra R et al. Opt. Express,2018,26:33649

[89] Fikouras A H,Schubert M,Karl M et al. Nat. Commun.,2018,9:4817

[90] Gather M C,Yun S H. Nat. Photonics,2011,5:406

[91] Humar M,Yun S H. Nat. Photonics,2015,9:572

[92] Schubert M,Steude A,Liehm P et al. Nano Lett.,2015,15:5647

[93] Martino N,Kwok S J J,Liapis A C et al. BioRxiv,10.1101/465104,2018


本文选自《物理》2019年第3期



往期精彩回顾

登录查看更多
3

相关内容

专知会员服务
113+阅读 · 2020年3月20日
Gartner:2020年十大战略性技术趋势, 47页pdf
专知会员服务
79+阅读 · 2020年3月10日
新时期我国信息技术产业的发展
专知会员服务
71+阅读 · 2020年1月18日
【BAAI|2019】用深度学习模拟原子间势,王涵  (附pdf)
专知会员服务
18+阅读 · 2019年11月21日
【BAAI|2019】类脑神经网络技术及其应用,鲁华祥(附pdf)
专知会员服务
31+阅读 · 2019年11月21日
同质结中的“超注入”现象:半导体光源迎来新机遇!
深度学习 | GAN模式崩溃的理论解释
数据派THU
10+阅读 · 2019年2月17日
10000个科学难题 • 制造科学卷
科学出版社
13+阅读 · 2018年11月29日
丘成桐:攻克物理难题的数学大师
科技导报
5+阅读 · 2018年7月23日
鹰眼科技:3D视觉 解决树脂塞孔检测难题
未来产业促进会
5+阅读 · 2018年6月10日
Explanatory Graphs for CNNs
Arxiv
4+阅读 · 2018年12月18日
Arxiv
24+阅读 · 2018年10月24日
Arxiv
7+阅读 · 2018年8月28日
Arxiv
4+阅读 · 2018年4月30日
VIP会员
相关资讯
同质结中的“超注入”现象:半导体光源迎来新机遇!
深度学习 | GAN模式崩溃的理论解释
数据派THU
10+阅读 · 2019年2月17日
10000个科学难题 • 制造科学卷
科学出版社
13+阅读 · 2018年11月29日
丘成桐:攻克物理难题的数学大师
科技导报
5+阅读 · 2018年7月23日
鹰眼科技:3D视觉 解决树脂塞孔检测难题
未来产业促进会
5+阅读 · 2018年6月10日
Top
微信扫码咨询专知VIP会员