“全球人工智能”拥有十多万AI产业用户,10000多名AI技术专家。主要来自:北大,清华,中科院,麻省理工,卡内基梅隆,斯坦福,哈佛,牛津,剑桥...以及谷歌,腾讯,百度,脸谱,微软,阿里,海康威视,英伟达......等全球名校和名企。
在现实生活中,我们遇到的数据大多数都是非线性的,因此我们不能用上一章线性回归的方法来进行数据拟合。但是我们仍然可以从线性模型着手开始第一步,首先对输入的数据进行加权求和。
线性模型:z=wx+b
其中w我们称为“权重”,b为偏置量(bias),
x
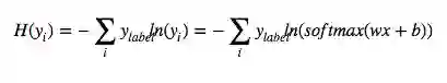
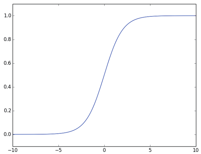
我们先在二分类中来讨论,假如能创建一个模型,如果系统输出1,我们认为是第一类,如果系统输出0,我们认为是第二类,这种输出需求有点像阶跃函数(海维塞德阶跃函数),但是阶跃函数是间断函数,y的取值在x=0处突然跳跃到1,在实际的建模中,我们很难在模型中处理这种情况,所以我们使用Sigmoid函数来代替阶跃函数。
Sigmoid函数是激活函数其中的一种,当x=0时,函数值为0.5,随着x的增大,对应的Sigmoid值趋近1,而随着x的减小,Sigmoid值趋近0。通过这个函数,我们可以得到一系列0—1之间的数值,接着我们就可以把大于0.5的数据分为1类,把小于0.5的数据分为0类。
这种方式等价于是一种概率估计,我们把y看作服从伯努利分布,在给定x条件下,求解每个
为1或0的概率。此时,逻辑回归这个抽象的名词,在这里我们把它转化成了能够让人容易理解的概率问题。接着通过最大对数似然函数估计w值,就解决问题了。
等于1的概率为:
等于0的概率为:
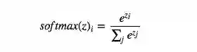
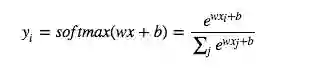
以上对Sigmoid函数描述可以看出该函数多用于二分类,而我们会经常遇到多分类问题,这时,Softmax函数的就派上用场了。
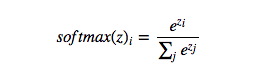
Softmax函数:
Softmax函数也是激活函数的一种,主要用于多分类,把输入的线性模型当成幂指数求值,最后把输出值归一化为概率,通过概率来把对象分类,而每个对象之间是不相关的,所有的对象的概率之和为1。对于Softmax函数,如果j=2的话,Softmax和Sigmoid是一样的,同样解决的是二分类问题,这时用两种函数都能进行很好的二分类。
以上公式可以理解为,样本为类别
i
对于Softmax回归模型的解释,在这里引用一下别人的图,一张图片就胜过千言万语。
如果写成多项式,可以是这样:
如果换成我们常用的矩阵的形式,可以是这样:
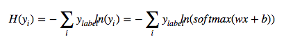
在线性回归中,我们定义了一个由和方差组成的损失函数,并使该函数最小化来找到的最优解。同样的,在逻辑回归中我们也需要定义一个函数,通过最小化这个函数来解得我们的权重w值和偏差b值。在机器学习中,这种函数可以看做是表示一个模型的好坏的指标,这种指标可以叫做成本函数(Cost)或损失函数(Loss),然后最小化这两种函数,这两种方式都是一样的。
这里介绍一个常见的损失函数——“交叉熵”,在后面的实例代码中我们会用到。交叉熵产生于信息论里面的信息压缩编码技术,后来慢慢演变成从博弈论到机器学习等其他领域的重要技术,它用来衡量我们的预测用于描述真相的低效性。它的定义如下:
它是怎么推导出来的呢,我们先来讨论一下Sigmoid的损失函数,接着再来对比理解。在上面的二分类中问题中,我们使用Sigmoid函数,同时我们也假定预测值
服从伯努利分布,则
等于1的概率为:
等于0的概率为:
则概率密度函数为:
上式中的是样本为类别1的实际概率。接着我们取对数似然函数,然后最小化似然函数进行参数估计(这里省略似然函数和一系列文字)。
而我们把问题泛化为多分类时,同样可以得出我们的概率密度函数:
我们对概率密度取自然对数的负数,就得到了我们的似然函数,即我们这里称为交叉熵的函数,其中是样本为类别
的预测概率m是样本为类别
的实际概率。
最后,通过最小化该交叉熵,找出最优的w和b值。
了解了逻辑回归的工作原理以后,现在我们用tensorflow来实现一个手写识别系统。首先我们必须去挖掘一些数据,我们使用现成的MNIST数据集,它是机器学习入门级的数据集,它包含各种手写数字图片和每张图片对应的标签,即图片对应的数字(0~9)。你可以通过一段代码把它下载下来,在下载之前记得安装python-mnist:
下载下来的数据总共有60000行的训练数据集(mnist.train),和10000行的测试数据集(mnist.test),同时我们把图片设为x,x是一个shape=[None,784]的一个张量,None表示任意长度,比如它可以小于或等于mnist.train里面的60000张图片。另外,每一张图片包含28像素X28像素,向量长度为28*28=789,表示图片是由784维向量空间的点组成的。然后,我们把图片的标签设为y_张量,shape=[None,10],这个y_的值就是图片原本对应的标签(0~9的数字)。
用代码来表示可以参考:
数据都准备好以后,就开始训练我们的模型了。之前我们讲了Softmax函数,用该函数来做逻辑回归,我们可以通过这样的代码来表示:
cross_entropy = -tf.reduce_sum(y_ * tf.log(y))
但是Tensorflow已经实现好了这个Softmax函数,即:tf.nn.softmax_cross_entropy_with_logits(),而无需我们自己这样定义(-tf.reduce_sum(y_ * tf.log(y)))。为什么使用Tensorflow的呢,是因为我们在使用该函数的时候,可能会出现数值不稳定的问题,需要自己在Softmax函数中加一些trick,这样做起来比较麻烦,又把模型复杂化了,所以我们推荐使用Tensorflow自带的交叉熵函数,它会帮你处理数值不稳定的问题。
-tf.reduce_sum(tf.nn.softmax_cross_entropy_with_logits(labels=y_, logits=y))
逻辑回归确定好各项函数后,我们还是用梯度下降的方式去寻找那个最优的w和b值,最后,整个手写图片识别系统的代码如下:
import numpy as npimport tensorflow as tffrom tensorflow.examples.tutorials.mnist import input_data
mnist = input_data.read_data_sets("MNIST_data/", one_hot=True)from mnist import MNIST
mndata = MNIST('MNIST_data')
sess = tf.Session()
x = tf.placeholder("float", [None, 784])
W = tf.Variable(tf.zeros([784, 10]))
b = tf.Variable(tf.zeros([10]))
y = tf.matmul(x, W) + b
y_ = tf.placeholder("float", [None, 10])# 使用Tensorflow自带的交叉熵函数cross_entropy = tf.nn.softmax_cross_entropy_with_logits(labels=y_, logits=y)
train_step = tf.train.GradientDescentOptimizer(0.01).minimize(cross_entropy)
init = tf.global_variables_initializer()
sess.run(init)for i in range(1000):
batch_xs, batch_ys = mnist.train.next_batch(500)
sess.run(train_step, feed_dict={x: batch_xs, y_: batch_ys})
images, labels = mndata.load_testing()
num = 9000image = images[num]
label = labels[num]# 打印图片print(mndata.display(image))print('这张图片的实际数字是: ' + str(label))# 测试新图片,并输出预测值a = np.array(image).reshape(1, 784)
y = tf.nn.softmax(y) # 为了打印出预测值,我们这里增加一步通过softmax函数处理后来输出一个向量result = sess.run(y, feed_dict={x: a}) # result是一个向量,通过索引来判断图片数字print('预测值为:')print(result)--result
............................
............................
............................
............................
............................
...............@@@..........
............@@@@@@@.........
...........@@@....@@........
..........@@......@@........
.................@@.........
................@@@.........
..............@@@@..........
............@@@@@@..........
...........@@@@.@@@.........
..................@@........
..................@@........
...................@@.......
...................@@.......
..................@@........
.......@..........@@........
.......@.........@@.........
.......@........@@@.........
.......@@.....@@@...........
........@@@@@@@.............
..........@.................
............................
............................
............................
这张图片的实际数字是: 3预测值为:
[[ 0. 0. 0. 1. 0. 0. 0. 0. 0. 0.]]
读者可以通过改变不同的图片来试试预测的结果,可以看出上面的预测情况还是很不错的。但是我们模型的性能到底如何,还是需要数据来说话,测试性能的代码如下:
# 检测预测和真实标签的匹配程度correct_prediction = tf.equal(tf.argmax(y, 1), tf.argmax(y_, 1))
# 转换布尔值为浮点数,并取平均accuracy = tf.reduce_mean(tf.cast(correct_prediction, "float"))
# 计算模型在测试数据集上的正确率 print(sess.run(accuracy, feed_dict={x: mnist.test.images, y_: mnist.test.labels}))
--result0.9022
这个结果真的不怎么样,不过我们可以通过采用其他算法和模型来改进我们的性能,但这已超过了本节要讲的范围,我们仅需通过本章内容了解逻辑回归的工作原理就好了。以后我们可以共同探讨改进一下,从而进一步提升模型的准确率。
原文:http://www.cnblogs.com/vipyoumay/p/7507149.html
系统学习,进入全球人工智能学院