人脸识别最新进展

2020 年 9 月 29 日 极市平台
↑ 点击 蓝字  关注极市平台

作者丨高毅鹏@知乎
来源丨https://zhuanlan.zhihu.com/p/234369216
编辑丨极市平台

极市导读

 

本文着重指出了人脸识别研究中存在的几个问题,并总结了该领域后期研究中的创新点。>>加入极市CV技术交流群,走在计算机视觉的最前沿


旷视的一篇文章人脸识别中Softmax-based Loss的演化史于人脸识别的前期发展做了充分的总结,本文旨在总结一下人脸识别后期研究

Mis-classifified Vector Guided Softmax Loss for Face Recognition

现有人脸识别算法存在的问题

明显忽视了信息特征挖掘对区分学习的重要性。
仅从ground truth类的角度扩大了特征边缘,这是局部的,没有实现与其他非ground truth类的可区分性
将不同类别之间的特征边界设置为相同且固定的值,可能不能很好地适应情况

论文创新点

我们提出了一种新的MV-Softmax loss算法,它明确指出了难例样本,并着重于它们来指导鉴别特征学习。除此之外,我们新的损失也吸收了其他非ground-truth类的可识别性,同时也为不同的类提供了自适应的边界。
据我们所知,这是第一次有效地将特征边界和特征挖掘技术的优点继承到一个统一的loss函数中去。并且我们还深入分析了新损失与当前基于边界和基于挖掘的损失之间的区别和联系。

MV-Softmax loss的设计理念和损失函数


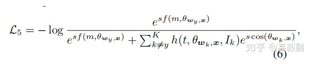
学习这个损失,并分析一下其中的设计理念。作者认为良好分离的特征向量对学习问题的影响很小。这就意味着错误分类的特征向量对于提高特征的鉴别能力变得尤为关键。为了将训练重点放在真正具有鉴别特性的难例样本上(即错误分类向量)。作者定义了一个二值指标Ik,自适应地表示当前阶段某个样本(特征)是否被特定分类器wk(其中k不等于其真正的类y)误分类,具体形式如式5所示。从Eq.(5)的定义可以看出,如果一个样本(特征)分类错误,即, f(m, Θwy, x) - cos(Θwk, x) < 0(例如:,在图1的左子图中,特征x2属于类1,但分类器w2对其进行了错误分类,即f(m,Θw1, x2) - cos(Θw2, x2) < 0),该样本x2将会被暂时强调,即标Ik= 1。这样,困难的例子就被明确的指出来,我们主要针对这些困难的例子进行区分训练。换句话说作者认为落在间隔的样本为难例样本。因此作者定义了新的损失函数,如公式6所示。

公式6中的h(t,Θwk,x, Ik)≥1是一个重置权重函数,以强调指明的错误分类向量。这里我们给出了两个候选,一个是所有错误分类的类的固定权重如公式7和一个自适应的权重如公式8。

难例挖掘分析

如fig1所示,假设我们有两个样本(特征)x1和x2,它们都来自类1,其中x1是分类良好的,而x2不是。HM-Softmax经验地表示了困难样本,抛弃了简单样本x1,使用困难样本x2进行训练。F-Softmax没有明确表示困难样本,但它重新加权所有的样本,使较困难的一个x2有相对较大的损失值。这两种策略都是直接从损失的角度出发的,难例的选择没有语义指导。而MV-Softmax损失却不同。

首先,根据决策边界对难例(误分类向量)进行语义标注。以往方法的困难定义为特征(样本)和特征(样本)之间的全局关系。而我们的困难是特征和分类器之间的局部关系,这更符合区分性特征学习。
然后,我们从概率的角度来强调这些困难的例子。具体来说,由于交叉熵损失 -log(p)是一个单调递减函数,降低错误分类向量x2的概率p(原因是h(t,Θwk,x,I k)≥1,见方程式(7)和(8)),即增加整个等式6的交叉熵损失值L5,这将增加其训练的重要性。综上所述,我们可以断言,我们的错误分类向量引导挖掘策略,在区分特征学习方面比以往的策略更优越。

自适应间隔分析

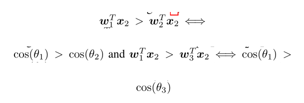
假设我们有来自类1的样本x2,且其没有正确分类(如图1左图的红点)。原始的softmax loss旨在让

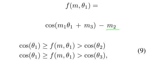
为了让该目标函数更严格,基于间隔的损失函数介绍了一个来自ground truth类(即Θ1)角度的边界函数

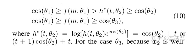
其中,f(m, Θ1)对于不同的类具有相同且固定的边界,忽略了与其他非ground truth类(如:Θ2和Θ3)的潜在区别性。为了解决这些问题,我们的MV-Softmax loss试图从其他非ground truth类的角度进一步扩大特征。具体来说,我们为错误分类的特征x2引入了一个边界函数h∗(t,Θ2):

对于Θ3,因为x2被其正确分类(即判定x2不是类3),所以我们不需要对其添加额外的增强去进一步增大其的边界。而且,我们的MV-Softmax loss也为不同的类设置了不同的可适应边界。以 MV-AM-Softmax(即

)为例,对于错误分类的类,其边界为

。然而对于正确分类的类,其边界为m。基于这些特性,我们的MV-Softmax loss解决了基于间隔损失函数的第二和第三个缺点。

class SVXSoftmax(nn.Module):
r"""Implement of Mis-classified Vector Guided Softmax Loss for Face Recognition
(https://arxiv.org/pdf/1912.00833.pdf):
Args:
in_features: size of each input sample
out_features: size of each output sample
device_id: the ID of GPU where the model will be trained by model parallel.
if device_id=None, it will be trained on CPU without model parallel.
s: norm of input feature
m: margin
cos(theta+m)
"""
def __init__(self, in_features, out_features, xtype='MV-AM', s=32.0, m=0.35, t=0.2, easy_margin=False):
super(SVXSoftmax, self).__init__()
self.xtype = xtype
self.in_features = in_features
self.out_features = out_features

self.s = s
self.m = m
self.t = t

self.weight = Parameter(torch.FloatTensor(out_features, in_features))
self.weight.data.uniform_(-1, 1).renorm_(2, 1, 1e-5).mul_(1e5)

self.easy_margin = easy_margin
self.cos_m = math.cos(m)
self.sin_m = math.sin(m)

def forward(self, input, label):
cos_theta = F.linear(F.normalize(input), F.normalize(self.weight))
cos_theta = cos_theta.clamp(-1, 1) # for numerical stability
batch_size = label.size(0)
gt = cos_theta[torch.arange(0, batch_size), label].view(-1, 1) # ground truth score
if self.xtype == 'MV-AM':
mask = cos_theta > gt - self.m
hard_vector = cos_theta[mask]
cos_theta[mask] = (self.t + 1.0) * hard_vector + self.t # adaptive
# cos_theta[mask] = hard_vector + self.t #fixed
if self.easy_margin:
final_gt = torch.where(gt > 0, gt - self.m, gt)
else:
final_gt = gt - self.m
elif self.xtype == 'MV-Arc':
sin_theta = torch.sqrt(1.0 - torch.pow(gt, 2))
cos_theta_m = gt * self.cos_m - sin_theta * self.sin_m # cos(gt + margin)

mask = cos_theta > cos_theta_m
hard_vector = cos_theta[mask]
cos_theta[mask] = (self.t + 1.0) * hard_vector + self.t # adaptive
# cos_theta[mask] = hard_vector + self.t #fixed
if self.easy_margin:
final_gt = torch.where(gt > 0, cos_theta_m, gt)
else:
final_gt = cos_theta_m
# final_gt = torch.where(gt > cos_theta_m, cos_theta_m, gt)
else:
raise Exception('unknown xtype!')
cos_theta.scatter_(1, label.data.view(-1, 1), final_gt)
cos_theta *= self.s
return cos_theta

CurricularFace

人脸识别中常用损失函数主要包括两类,基于间隔和难样本挖掘,这两种方法损失函数的训练策略都存在缺陷。

基于间隔的方法是对所有样本都采用一个固定的间隔值,没有充分利用每个样本自身的难易信息,这可能导致在使用大边际时出现收敛问题;
基于难样本挖掘的方法则在整个网络训练周期都强调难样本,可能出现网络无法收敛问题。

为了解决上述问题,优图实验室引入了Curriculum Learning的概念来优化损失函数。

Curriculum Learning即课程学习

它是由Montreal大学的Bengio教授团队在2009年的ICML上提出的,其主要思想是模仿人类学习的特点,按照从简单到困难的程度来学习课程,这样容易使模型找到更好的局部最优,同时加快训练速度。
人类和动物在学习时学习材料按照由易到难的顺序呈现是学习效果会更好,在机器学习中课程学习的概念借鉴了这种思想。在非凸问题中,课程学习展现出了巨大的性能提升和很强的泛化能力。作者认为课程学习的策略能够加速收敛速率以及在非凸优化中找到更好的局部最优点(可以看成是continuation method)。

CurricularFace的算法思想

将课程学习的思想嵌入到损失函数中,以实现一种新的深度人脸识别训练策略。该策略主要针对早期训练阶段的易样本和后期训练阶段的难样本,使其在不同的训练阶段,通过一个课程表自适应地调整简单和困难样本的相对重要性。也就是说,在每个阶段,不同的样本根据其相应的困难程度被赋予不同的重要性。

CurricularFace和传统课程学习的异同

在传统的课程学习中,样本是按照相应的难易程度排序的,这些难易程度往往是由先验知识定义的,然后固定下来建立课程。而在CurricularFace中,做法是由每个Batch随机抽取样本,通过在线挖掘难样本自适应地建立课程。跟踪深度学习训练特性CurricularFace中引入了Batch的概念。
其次,难样本的重要性是自适应的。一方面,易样本和难样本的相对重要性是动态的,可以在不同的训练阶段进行调整。另一方面,当前Batch中每一个难样本的重要性取决于其自身的难易程度。

CurricularFace的设计理念及损失函数

为了在整个训练过程中实现自适应课程学习的目标,优图实验室设计了一种新的系数函数,该函数包括以下两个因子:

自适应估计参数_t_,该参数利用样本和其真类别间的Positive余弦相似度的移动平均值来实现自适应,以消除人工调整的负担。
余弦角度参数,该参数定义难样本实现自适应分配的的难易性。

损失函数

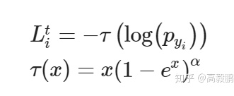
上式的含义是:如果一个样本是易样本,它的Negative余弦相似度保持原始状态,即为;如果一个样本是难样本,它的Negative余弦相似度就变成了。

我们再来看下公式中的自适应估计参数_t_是如何定义的。优图实验室采用指数移动平均(EMA)来实现这个自适应的参数。公式如下,其中的是第k个Batch的Positive余弦相似度均值,是冲量参数设为0.99。

class CurricularFace(nn.Module):
r"""Implement of CurricularFace (https://arxiv.org/pdf/2004.00288.pdf):
Args:
in_features: size of each input sample
out_features: size of each output sample
device_id: the ID of GPU where the model will be trained by model parallel.
if device_id=None, it will be trained on CPU without model parallel.
m: margin
s: scale of outputs
"""
def __init__(self, in_features, out_features, m = 0.5, s = 64.):
super(CurricularFace, self).__init__()
self.in_features = in_features
self.out_features = out_features
self.m = m
self.s = s
self.cos_m = math.cos(m)
self.sin_m = math.sin(m)
self.threshold = math.cos(math.pi - m)
self.mm = math.sin(math.pi - m) * m
self.kernel = Parameter(torch.Tensor(in_features, out_features))
self.register_buffer('t', torch.zeros(1))
nn.init.normal_(self.kernel, std=0.01)

def forward(self, embbedings, label):
embbedings = l2_norm(embbedings, axis = 1)
kernel_norm = l2_norm(self.kernel, axis = 0)
cos_theta = torch.mm(embbedings, kernel_norm)
cos_theta = cos_theta.clamp(-1, 1) # for numerical stability
with torch.no_grad():
origin_cos = cos_theta.clone()
target_logit = cos_theta[torch.arange(0, embbedings.size(0)), label].view(-1, 1)

sin_theta = torch.sqrt(1.0 - torch.pow(target_logit, 2))
cos_theta_m = target_logit * self.cos_m - sin_theta * self.sin_m #cos(target+margin)
mask = cos_theta > cos_theta_m
final_target_logit = torch.where(target_logit > self.threshold, cos_theta_m, target_logit - self.mm)

hard_example = cos_theta[mask]
with torch.no_grad():
self.t = target_logit.mean() * 0.01 + (1 - 0.01) * self.t
cos_theta[mask] = hard_example * (self.t + hard_example)
cos_theta.scatter_(1, label.view(-1, 1).long(), final_target_logit)
output = cos_theta * self.s
return output


Circle Loss

详情参见:

https://zhuanlan.zhihu.com/p/117716663


AM-LFS:AutoML for Loss Function Search

论文创新点

设计了损失函数搜索空间,该搜索空间能够覆盖常用的流行的损失函数设计,其采样的候选损失函数可以调整不同难度级别样本的梯度,并在训练过程中平衡类内距离和类间距离的重要性。
提出了一个bilevel的优化框架:本文使用强化学习来优化损失函数,其中内层优化是最小化网络参数的损失函数,外层优化是最大化reward。

回顾之前的损失函数

  • softmax

  • Margin-based Softmax Loss

之间能够插入一个可微变换函数t(⋅)t(⋅)来调节角度,进而得到margin可变的softmax loss:

不同的t(⋅)t(⋅)可以得到不同的损失函数,原文中总结了如下几种:

  • Focal Loss

除了在概率上做变化外,Focal Loss对softmax loss做了如下变化:

Loss函数分析

  • Focal Loss

Focal loss的提出主要是为了解决imbalanced的问题。相对于原始的softmax loss,focal loss在求导之后等于原始的softmax loss求导结果再乘以 ,换言之 用来缓解imbalance的问题。

  • Margin-based Softmax Loss

为方便说明,我们可以假设所有的矢量是单位矢量,即

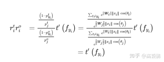
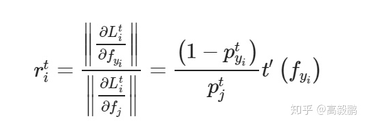
我们使用公式(4)中的损失函数来分别对 (类内,intra-class)和 (类间,inter-class)求导,得到:

文中进一步将类内距离类间距离相对重要性定义为 的梯度范数相对于margin-based softmax loss的比率

同理相对于原始的softmax loss(公式1)的重要性比率是:

进一步可以求得:

t(⋅)的导函数实际上是具有控制类内距离对于类间距离显著性的作用,这也是用数学推导的方式证明了间隔的重要性。

搜索空间

由前面的损失函数分析我们对softmax做如下变换,得到新的损失函数如下,

其中

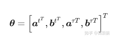
M表示间隔数,即

所以t(⋅)函数由三个超参数组成 , 组成。

ττ同理由三个超参数组成: , 组成。

因此搜索空间为,

参数优化

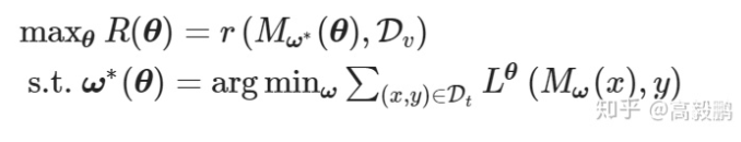
双层(Bilevel)优化定义如下:

内层优化是在固定损失函数后,在训练集上更新模型超参数使得损失函数值最小。
外层优化则是去找到一组损失函数搜索空间超参数θ使得最优的模型参数在验证集上能取得最大的奖励。

具体优化过程如下图所示:



推荐阅读


添加极市小助手微信(ID : cvmart2),备注:姓名-学校/公司-人脸-城市(如:小极-北大-人脸-深圳),即可申请加入极市人脸等技术交流群:月大咖直播分享、真实项目需求对接、求职内推、算法竞赛、干货资讯汇总、与 10000+来自港科大、北大、清华、中科院、CMU、腾讯、百度等名校名企视觉开发者互动交流~

△长按添加极市小助手

△长按关注极市平台,获取 最新CV干货

觉得有用麻烦给个在看啦~   
登录查看更多
0

相关内容

多模态视觉语言表征学习研究综述
专知会员服务
195+阅读 · 2020年12月3日
专知会员服务
80+阅读 · 2020年10月2日
最新《深度学习人脸识别》综述论文,
专知会员服务
68+阅读 · 2020年8月10日
鲁棒模式识别研究进展
专知会员服务
41+阅读 · 2020年8月9日
大数据安全技术研究进展
专知会员服务
96+阅读 · 2020年5月2日
基于深度学习的多标签生成研究进展
专知会员服务
147+阅读 · 2020年4月25日
【浙江大学】对抗样本生成技术综述
专知会员服务
92+阅读 · 2020年1月6日
基于深度学习的行人重识别研究进展,自动化学报
专知会员服务
39+阅读 · 2019年12月5日
零样本图像分类综述 : 十年进展
专知会员服务
128+阅读 · 2019年11月16日
新加坡南洋理工最新37页《零样本学习综述》论文
专知会员服务
114+阅读 · 2019年10月20日
CVPR & AAAI 2020 | 人脸活体检测最新进展
CVer
4+阅读 · 2020年3月20日
再谈人脸识别损失函数综述
人工智能前沿讲习班
14+阅读 · 2019年5月7日
人脸识别研究取得进展
中科院之声
4+阅读 · 2019年3月26日
CVPR2019目标检测方法进展综述
极市平台
45+阅读 · 2019年3月20日
人脸识别损失函数综述(附开源实现)
极市平台
29+阅读 · 2019年3月12日
清华 Aminer 发布最新2018人脸识别研究报告
专知
4+阅读 · 2018年10月11日
生成对抗网络研究人脸识别领域获进展
中科院之声
9+阅读 · 2018年9月24日
AI综述专栏 | 人脸检测算法综述
人工智能前沿讲习班
6+阅读 · 2018年9月10日
使用张量融合神经网络的基于属性的人脸识别
统计学习与视觉计算组
3+阅读 · 2017年11月2日
Arxiv
0+阅读 · 2020年12月3日
Arxiv
0+阅读 · 2020年12月2日
SlowFast Networks for Video Recognition
Arxiv
4+阅读 · 2019年4月18日
Arxiv
136+阅读 · 2018年10月8日
Arxiv
8+阅读 · 2018年1月30日
Arxiv
3+阅读 · 2017年12月14日
VIP会员
相关VIP内容
多模态视觉语言表征学习研究综述
专知会员服务
195+阅读 · 2020年12月3日
专知会员服务
80+阅读 · 2020年10月2日
最新《深度学习人脸识别》综述论文,
专知会员服务
68+阅读 · 2020年8月10日
鲁棒模式识别研究进展
专知会员服务
41+阅读 · 2020年8月9日
大数据安全技术研究进展
专知会员服务
96+阅读 · 2020年5月2日
基于深度学习的多标签生成研究进展
专知会员服务
147+阅读 · 2020年4月25日
【浙江大学】对抗样本生成技术综述
专知会员服务
92+阅读 · 2020年1月6日
基于深度学习的行人重识别研究进展,自动化学报
专知会员服务
39+阅读 · 2019年12月5日
零样本图像分类综述 : 十年进展
专知会员服务
128+阅读 · 2019年11月16日
新加坡南洋理工最新37页《零样本学习综述》论文
专知会员服务
114+阅读 · 2019年10月20日
相关资讯
CVPR & AAAI 2020 | 人脸活体检测最新进展
CVer
4+阅读 · 2020年3月20日
再谈人脸识别损失函数综述
人工智能前沿讲习班
14+阅读 · 2019年5月7日
人脸识别研究取得进展
中科院之声
4+阅读 · 2019年3月26日
CVPR2019目标检测方法进展综述
极市平台
45+阅读 · 2019年3月20日
人脸识别损失函数综述(附开源实现)
极市平台
29+阅读 · 2019年3月12日
清华 Aminer 发布最新2018人脸识别研究报告
专知
4+阅读 · 2018年10月11日
生成对抗网络研究人脸识别领域获进展
中科院之声
9+阅读 · 2018年9月24日
AI综述专栏 | 人脸检测算法综述
人工智能前沿讲习班
6+阅读 · 2018年9月10日
使用张量融合神经网络的基于属性的人脸识别
统计学习与视觉计算组
3+阅读 · 2017年11月2日
相关论文
Arxiv
0+阅读 · 2020年12月3日
Arxiv
0+阅读 · 2020年12月2日
SlowFast Networks for Video Recognition
Arxiv
4+阅读 · 2019年4月18日
Arxiv
136+阅读 · 2018年10月8日
Arxiv
8+阅读 · 2018年1月30日
Arxiv
3+阅读 · 2017年12月14日
Top
微信扫码咨询专知VIP会员