一骑绝尘的EfficientNet和EfficientDet

2019 年 12 月 13 日 CVer

点击上方“CVer”,选择加"星标"或“置顶”

重磅干货,第一时间送达

作者:张佳程

https://zhuanlan.zhihu.com/p/94576642

本文已由作者授权,未经允许,不得二次转载


EfficientDet还没开源,不过论文里说“Code will be made public”,暴风期待。

EfficientNet

《EfficientNet: Rethinking Model Scaling for Convolutional Neural Networks》,论文传送门:https://arxiv.org/abs/1905.11946

先上对比图吃吃惊。下面两图分别是Model Size vs. ImageNet Accuracy 和 FLOPS vs. ImageNet Accuracy。(作者比的可都是实打实的state of art的模型)

众所周知,扩展(scaling up)神经网络(ConvNets)可以获得更好的精度。一般大家从depth、width、image size三个维度来扩展,且常见做法是只扩展单一维度。那么如何联动地从上述三个维度来scale up ConvNets,同时实现更高的精度和效率呢?这便是作者在文中所讨论的问题。作者提出了compound scaling method( uniformly scales network width, depth, and resolution with a set of fixed scaling coefficients)。下面来康康他怎么做的。

简单解释下Model Scaling。如下图所示,wider是指增加卷积层的通道数;deeper是指增加网络的深度(纵向增加卷积层的数量);higher resolution是指增大输入图片的尺寸。

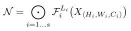
首先,作者对ConvNets建模:(公式中  的含义是阶段  中卷积层  重复  次,  表示卷积层输入tensor的shape)

上面提到的三个维度便分别对应:depth(  )、width (  )、resolution(  )。

optimization problem可以表示为:(式中d, w, r是scaling coefficients)

然后,作者通过对比实验得到如下两点结论:1. 扩展网络宽度,深度或分辨率中的任一维度都可以提高精度,但随着模型的增大,精度增益会降低。2. 为了追求更好的准确性和效率,在ConvNet扩展过程中平衡所有的维度(宽度,深度和分辨率)至关重要。

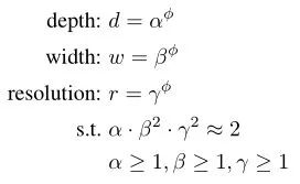
作者提出了一种复合缩放的方法( compound scaling method ),就是引入一个复合因子  来统一缩放网络的宽度,深度和分辨率。表示如下:

式中,  通过small grid search得到,  是用户指定的系数,根据模型可用资源调节。换言之,指明有多少资源可用,而α,β,γ指定如何分配这些资源给网络宽度,深度和分辨率。网络深度增加一倍,FLOPS变为之前的两倍;网络宽度和分辨率增加一倍,FLOPS变为之前的四倍,所以上述操作将使得FLOPS变为之前的  倍,作者限定  ,这样总的FLOPS约增加为原来的  倍。

作者以MobileNet v2中的MBConv + squeeze-and-excitation optimization作为基本构建模块,利用论文《MnasNet: Platform-aware neural architecture search for mobile》中提出的NAS方法(此处将  作为优化目标),搜索到一个efficient network,作者为其取名 EfficientNet-B0,并将它作为后续的baseline network。

ok,baseline也有了,compound scaling method也有了,接下来就该搜索合适的系数了。分为两步:1. 固定  为1,利用small grid search为 EfficientNet-B0寻找最优的  、  和  ,得到的结果是:  。2. 固定 、  和 ,采用不同的系数  来扩展baseline network,获得EfficientNet-B1 to B7。

实验效果当然是特别好的,下表是EfficientNet在ImageNet数据集上的表现,具有相似top-1/top-5精度的ConvNet被分到一组以进行效率比较:

  1. 例如:66M parameters,37B FLOPS 的 EfficientNet-B7 达到了84.4% top1 / 97.1% top-5 accuracy,比之前最高精度的GPipe还高,而且比GPipe的参数量小8.4倍。

  2. 例如:EfficientNet-B3达到了比ResNeXt-101还高的精度,同时参数量比后者小18倍。

  3. 总结:EfficientNet可以利用小一个数量级的参数量和FLOPS,达到之前模型的精度。

另外,作者还做了Scaling Up MobileNets and ResNets、 Transfer Learning Results for EfficientNet的实验,效果都是很不错的,感兴趣的读者可以读下论文。

可视化来定性对比下,绘出模型的Class Activation Map (CAM),可以看到,EfficientNet确实可以专注于具有更多对象细节、更相关的图像区域。

EfficientDet

《EfficientDet: Scalable and Efficient Object Detection》,论文传送门:arxiv.org/abs/1911.09070

依旧先上对比图吃吃惊。下图是Model FLOPS vs COCO accuracy。(作者比的可都是实打实的state of art的模型)

显然,EfficientDet是EfficientNet的延续和发展。作者旨在各种各样的资源限制条件下,构建一系列更高精度、更高效率的scalable detector。一般而言,detector由三部分组成:backbone、feature network和box/class prediction network。作者研究的两个出发点是:寻求高效的多尺度特征融合方式(efficient multi-scale feature fusion)和模型扩展方式(model scaling)。

来看下作者自己总结的三点贡献:

  1. We proposed BiFPN, a weighted bidirectional feature network for easy and fast multi-scale feature fusion.

  2. We proposed a new compound scaling method, which jointly scales up backbone, feature network, box/class network, and resolution, in a principled way.

  3. Based on BiFPN and compound scaling, we developed EfficientDet, a new family of detectors with significantly better accuracy and efficiency across a wide spectrum of resource constraints.

第一步,多尺度特征融合方式。

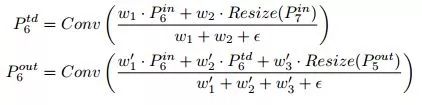
如上图所示,FPN引入了一条自顶向下的通道来融合特征;PANet在FPN基础上增加了一条自底向上的通道;NAS-FPN使用了搜索出来的不规则的拓扑结构。(d)-(f) 是作者所探讨的三种FPN结构的候选。(d)是全连接的FPN;(e)是PANet的一种简化版,去除掉只有一条输入边的结点;(f)是作者最终使用的BiFPN,在(e)的基础上,若输入和输出结点是同一level的,则添加一条额外的边,在不增加cost的同时融合更多的特征。(注意,PANet只有一条top-down path和一条bottom-up path,而本文作者是将BiFPN当作一个feature network layer来用的,重复堆叠它们来获得更高级的特征融合方式)

一般的做法是:不同resolution的特征融合时直接相加,但实际上它们对最后output的贡献是不同的,所以作者希望网络来学习不同输入特征的权重,即weighted feature fusion。作者讨论了三种融合方式:unbounded fusion(  ),softmax-based fusion(  )和fast normalized fusion(  )。作者实验表明, unbounded fusion效果是不错的,softmax-based fusion效果最好但是计算资源消耗过大,fast normalized fusion精度与softmax-based fusion相似但可以快30%。所以作者最终采用了fast normalized fusion方式。

还有一点值得注意,作者为了提高效率,是用了DW Conv来做特征融合,并在每个卷积层后都添加BN和激活操作。

小结一下本文的多尺度特征融合方式——

  1. FPN的融合方式可以描述为:

2.BiFPN的融合方式可以描述为:

第二步,EfficientDet Architecture。

采用EfficientNet作为backbone;堆叠BiFPN Layer来获得高级别的融合特征;box/class network可以共享所有级别的特征。

第三步,模型扩展。

一般的做法是:为了追求更高的精度,scale up model时希冀于一个更大的backbone,但实际上,scale up feature network和box/class prediction network也是至关重要的。作者提出一种compound scaling method来联动地scale up这三部分,与EfficientNet类似,作者引入一个简单的compound coefficient  。

  1. backbone:直接采用EfficientNet作为backbone,这样可以利用它们在ImageNet上的预训练权重。

  2. BiFPN network:  ,  ,即指数增加BiFPN的宽度、线性增加BiFPN的深度。

  3. Box/class prediction network:  , ,即宽度与BiFPN一致、线性增加其深度。

  4. Input image resolution:  ,由于下采样7次(2^7=128),所以输入分辨率必须是128的倍数。

利用上面的公式,我们得到了EfficientDet-D0 (φ = 0) to D6 (φ = 6)。作者称φ = 7时,训练时内存不够,除非改变batch size,为了保持一样的training settings,仅扩展输入分辨率来得到EfficientDet-D7。下表是EfficientDet-D0 to D7的配置:

实验效果当然是特别好的,下表是EfficientDet在COCO数据集上的表现,具有相似精度的ConvNet被分到一组以进行效率比较:

  1. 例如:EfficientDet-D0 achieves similar accuracy as YOLOv3 with 28x fewer FLOPS.

  2. 例如:Compared to RetinaNet and Mask-RCNN, EfficientDet-D1 achieves similar accuracy with up to 8x fewer parameters and 25x fewer FLOPS.

  3. EfficientDet-D7 achieves a new state-of-the-art 51.0 mAP for single-model single-scale.

在Titan-V GPU and single-thread Xeon CPU上进行latency的实验,结果如上图。EfficientDet models are up to 3.2x faster on GPU and 8.1x faster on CPU, suggesting they are efficient on real-world hardware.

此外,作者还做了消融实验,来证明EfficientNet、BiFPN、Fast Normalized Fusion和Compound Scaling在EfficientDet中的重要性,感兴趣的读者可以读下论文。

EfficientNet和EfficientDet把数据集指标又刷到了一个新的高度,但我觉得主要的增益还是通过NAS的方法搜出来的,这个方向现在很火,不过感觉也只有大公司有实力去搞吧,毕竟对算力要求太高。这两点也是我给这篇分享起名“一骑绝尘”的原因。之前总说计算机视觉会把一些行业“消灭”,现在来看是不是CVer先把CVer给“消灭”了,哈哈哈。当然是开玩笑,CV领域可做的东西还是有很多的,一起努力吧!

才疏学浅,若有错误,请不吝指出。


推荐阅读


大盘点 | 2019年4篇目标检测算法最佳综述

大盘点 | 2019年5篇图像分割算法最佳综述

大盘点 | 2019年3篇目标跟踪算法最佳综述

目标检测三大开源神器:Detectron2/mmDetectron/SimpleDet

一文看尽16篇目标检测最新论文(ATSS/MnasFPN/SAPD/CSPNet/DIoU Loss等)


重磅!CVer-目标检测交流群已成立


扫码可添加CVer助手,可申请加入CVer大群和细分方向群,细分方向已涵盖:目标检测、图像分割、目标跟踪、人脸检测&识别、OCR、姿态估计、超分辨率、SLAM、医疗影像、Re-ID、GAN、NAS、深度估计、自动驾驶、强化学习、车道线检测、模型剪枝&压缩、去噪、去雾、去雨、风格迁移、遥感图像、行为识别、视频理解、图像融合、图像检索等群。


一定要备注:研究方向+地点+学校/公司+昵称(如目标检测+上海+上交+卡卡),根据格式备注,可更快被通过且邀请进群

▲长按加群


▲长按关注我们

麻烦给我一个在看!

登录查看更多
4

相关内容

专知会员服务
61+阅读 · 2020年3月19日
【ICLR-2020】网络反卷积,NETWORK DECONVOLUTION
专知会员服务
39+阅读 · 2020年2月21日
谷歌EfficientNet缩放模型,PyTorch实现登热榜
机器学习算法与Python学习
11+阅读 · 2019年6月4日
EfficientDet: Scalable and Efficient Object Detection
Arxiv
6+阅读 · 2019年11月20日
S4Net: Single Stage Salient-Instance Segmentation
Arxiv
10+阅读 · 2019年4月10日
Scale-Aware Trident Networks for Object Detection
Arxiv
4+阅读 · 2019年1月7日
Arxiv
6+阅读 · 2018年7月9日
Arxiv
5+阅读 · 2018年4月17日
VIP会员
相关VIP内容
专知会员服务
61+阅读 · 2020年3月19日
【ICLR-2020】网络反卷积,NETWORK DECONVOLUTION
专知会员服务
39+阅读 · 2020年2月21日
Top
微信扫码咨询专知VIP会员