【技术综述】视频分类/行为识别研究综述,从数据集到方法

2019 年 9 月 20 日 极市平台

加入极市专业CV交流群,与6000+来自腾讯,华为,百度,北大,清华,中科院等名企名校视觉开发者互动交流!更有机会与李开复老师等大牛群内互动!

同时提供每月大咖直播分享、真实项目需求对接、干货资讯汇总,行业技术交流。关注 极市平台 公众号 ,回复 加群,立刻申请入群~


视频分类/行为识别是计算机视觉领域中非常有挑战性的课题,因为其不仅仅要分析目标体的空间信息,还要分析时间维度上的信息,如何更好的提取出空间-时间特征是问题的关键。本文总结了该领域的技术进展和相关数据集,技术进展从传统特征法到深度学习中的3DCNN,LSTM,Two-Stream等。

视频分类/行为识别问题


首先我们要明确这是一个什么问题,基于视频的行为识别包括两个主要问题,即行为定位和行为识别。行为定位即找到有行为的视频片段,与2D图像的目标定位任务相似。而行为识别即对该视频片段的行为进行分类识别,与2D图像的分类任务相似。


本文聚焦的是行为识别,即对整个视频输入序列进行视频分类,一般都是经过裁剪后的视频切片。接下来从数据集的发展,传统方法,深度学习方法几个方向进行总结。



视频分类/行为分析重要数据集


深度学习任务的提升往往伴随着数据集的发展,视频分类/行为识别相关的数据集非常多,这里先给大家介绍在论文评测中最常见的3个数据集。


2.1 HMDB-51


HMDB-51共51个类别,6766个短视频。数据集地址:http://serre-lab.clps.brown.edu/resource/hmdb-a-large-human-motion-database/#dataset,发布于2011年。

数据来源非常广泛,包括电影,一些现有的公开数据集,YouTube视频等。从中选择了51个类别,每一个类别包含101个以上视频。


分为5大类:


  • 常见的面部动作(smile,laugh,chew,talk)

  • 复杂的面部动作(smoke,eat,drink)

  • 常见的肢体动作(climb,dive,jump)

  • 复杂的肢体动作(brush hair,catch,draw sword)

  • 多人交互肢体动作(hug,kiss,shake hands)


下面是其中一些维度的统计,包括姿态,相机运动等。

51个类别的展示如下:

2.2 UCF-101


UCF-101共101个类别,13320个短视频。数据集地址:https://www.crcv.ucf.edu/research/data-sets/human-actions/ucf101/,发布于2012年。


UCF-101是目前动作类别数、样本数最多的数据集之一,包含5大类动作:人与物体互动、人体动作、人与人互动、乐器演奏、体育运动。总共包括在自然环境下101种人类动作,每一类由25个人做动作,每个人做4-7组,视频大小为320×240。正因为类别众多加上在动作的采集上具有非常大的多样性,如相机运行、外观变化、姿态变化、物体比例变化、背景变化等等,所以也成为了当前难度最高的动作类数据集挑战之一。


各个类别的分布如上,相对还是比较均匀的,UCF-101是视频分类/行为识别方法必须评测的标准。


2.3 Kinetics-700 dataset

Kinetics-700 dataset被用于ActivityNet比赛,包含约650000个视频,700个类别。数据集地址:https://deepmind.com/research/open-source/open-source-datasets/kinetics/,发布于2019年。


ActivityNet比赛始于2016的CVPR,是与ImageNet齐名的在视频理解方面最重要的比赛。在这个比赛下的Task A–Trimmed Action Recognition比赛是一个视频分类比赛,2019年的比赛使用kinetics-700数据集,在此之前还有2017年的kinetics-400和2018年的kinetics-600。


数据集是Google的deepmind团队提供,每个类别至少600个视频以上,每段视频持续10秒左右,标注一个唯一的类别。行为主要分为三大类:人与物互动,比如演奏乐器;人人互动,比如握手、拥抱;运动等。即person、person-person、person-object。


除了以上数据集,比较重要的还有Sports-1M,YouTube-8M等,篇幅所限,就不一一描述,大家可以参考文献[1]。

如果不能下载数据集,可以移步有三AI知识星球获取。


传统有监督特征提取方法


传统的方法通过提取关键点的特征来对视频进行描述,以时空关键点,密集轨迹方法等为代表。


3.1 时空关键点(space-time interest points)


基于时空关键点的核心思想是:视频图像中的关键点通常是在时空维度上发生强烈变化的数据,这些数据反应了目标运动的重要信息[2]。

比如一个人挥舞手掌,手掌一定会在前后帧中发生最大移动,其周围图像数据发生变化最大。而这个人的身体其他部位却变化很小,数据几乎保持不变。如果能将这个变化数据提取出来,并且进一步分析其位置信息,那么可以用于区分其他动作。


时空关键点的提取方法是对空间关键点方法的扩展,空间关键点的提取则是基于多尺度的图像表达,这里的时空关键点就是将2D Harris角点的检测方法拓展到了3D,具体求解方法非常复杂读者需要自行了解,篇幅问题就不讲述了。


得到了这些点之后,基于点的一次到四次偏导数,组合成一个34维的特征向量,使用k-means对这些特征向量进行了聚类。


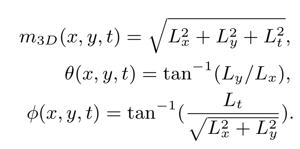
除了harris,经典的2D描述子SIFT被拓展到3D空间[3],示意图如下:

上图从左至右分别展示了2D SIFT特征,多个时间片的2D SIFT特征,以及3D SIFT特征,后两者的区别在于计算区域的不同,3D SIFT的每一个关键点包含3个值,幅度和两个角度

统计关键点时空周围的梯度直方图就可以形成特征描述子,然后对所有的特征描述子进行k-means聚类,划分类别,形成词汇“word”。所有不同word就构成了一个vocabulary,每个视频就可以通过出现在这个vocabulary中词汇的数量来进行描述,最后训练一个SVM或者感知器来进行动作识别。


除了以上的两种特征,还有HOG3D等,感兴趣的读者可以自行阅读。


3.2 密集轨迹(dense-trajectories)[4]


时空关键点是编码时空坐标中的视频信息,而轨迹法iDT(improved Dense Trajectories)是另一种非常经典的方法,它追踪给定坐标图像沿时间的变化。


iDT算法包含三个步骤:密集采样特征点,特征轨迹跟踪和基于轨迹的特征提取。

密集采样是对不同尺度下的图像进行规则采样,不过真正被用于跟踪等不是所有点,因为平滑区域的点没有跟踪意义,通过计算每个像素点自相关矩阵的特征值,并设置阈值去除低于阈值的特征点来实现这个选择。


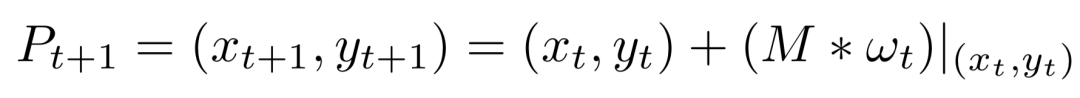
对轨迹的追踪是通过光流,首先计算图像光流速率(ut, vt),然后通过这个速率来描述图像运动轨迹:

wt是密集光流场,M是中值滤波器,得到的一系列点形成了一个轨迹。由于轨迹会随着时间漂移,可能会从初始位置移动到很远的地方。所以论文对轨迹追踪距离做了限制,首先将帧数限制在L内,而且轨迹空间范围限制在WxW范围,如果被追踪点不在这个范围,就重新采样进行追踪,这样可以保证轨迹的密度不会稀疏。


除了轨迹形状特征,还提取了HOG,HOF(histogram of flow)以及MBH(motion boundary histogram)等特征。其中HOG特征计算的是灰度图像梯度的直方图,HOF计算的是光流的直方图,MBH计算的是光流梯度的直方图,也可以理解为在光流图像上计算的HOG特征,它反应了不同像素之间的相对运动。


以HOG特征为例,在一个长度为L的轨迹的各帧图像上取特征点周围大小为N×N的区域,将其在空间和时间上进行划分。假如空间划分为2*2,时间划分为3份,bins为8,则HOG特征维度为2*2*3*8=96,HOF特征和MBH特征计算类似。


提取出HOG等信息后,接下来具体的分类与上面基于时空关键点的方法类似,不再赘述。


深度学习方法


当前基于CNN的方法不需要手动提取特征,性能已经完全超越传统方法,以3D卷积,RNN/LSTM时序模型,双流法等模型为代表。


4.1 3D卷积[5]


视频相对于图像多出了一个维度,而3D卷积正好可以用于处理这个维度,因此也非常适合视频分类任务,缺点是计算量比较大,下图展示了一个简单的3D模型。

4.2 RNN/LSTM[6]


视频和语音信号都是时序信号,而RNN和LSTM正是处理时序信号的模型。如下图所示,通过CNN对每一个视频帧提取特征,使用LSTM建模时序关系。

4.3 双流法(two-stream)[7]


双流法包含两个通道,一个是RGB图像通道,用于建模空间信息。一个是光流通道,用于建模时序信息。两者联合训练,并进行信息融合。

双流模型是视频分类中非常重要的一类模型,在特征的融合方式,光流的提取等方向都有非常多的研究,关于更多模型的解读如果感兴趣可以移步有三AI知识星球中的模型结构1000变板块。


4.4 其他


关于各种视频分类的网络结构解读,有兴趣的同学可以到有三AI知识星球中进行阅读和后续学习。


总结


虽然在UCF-101数据集上评测指标已经达到了98.5%,但是视频的分类目前远没有图像分类成熟,面临着巨大的类内方差,相机运动和背景干扰,数据不足等难题。


除了要解决以上难题外,有以下几个重要方向是值得研究的。


  • 多模态信息融合。即不只是采用图像信息,还可以融合语音等信息。

  • 多标签视频分类。与多标签图像分类类似,现实生活中的视频可能有多个标签。

  • 行为定位。一段视频中的行为有开始和结束,如何定位到真正有效的片段是之后的视频分类的重要前提。


参考文献


[1] Kong Y, Fu Y. Human action recognition and prediction: A survey[J]. arXiv preprint arXiv:1806.11230, 2018.

[2] Laptev I. On space-time interest points[J]. International journal of computer vision, 2005, 64(2-3): 107-123.

[3] Scovanner P, Ali S, Shah M. A 3-dimensional sift descriptor and its application to action recognition[C]//Proceedings of the 15th ACM international conference on Multimedia. ACM, 2007: 357-360.

[4] Wang H, Kläser A, Schmid C, et al. Dense trajectories and motion boundary descriptors for action recognition[J]. International journal of computer vision, 2013, 103(1): 60-79.

[5] Ji S, Xu W, Yang M, et al. 3D convolutional neural networks for human action recognition[J]. IEEE transactions on pattern analysis and machine intelligence, 2012, 35(1): 221-231.

[6] Donahue J, Anne Hendricks L, Guadarrama S, et al. Long-term recurrent convolutional networks for visual recognition and description[C]//Proceedings of the IEEE conference on computer vision and pattern recognition. 2015: 2625-2634.

[7] Simonyan K, Zisserman A. Two-stream convolutional networks for action recognition in videos[C]//Advances in neural information processing systems. 2014: 568-576.



-End-


*延伸阅读



添加极市小助手微信(ID : cv-mart),备注:研究方向-姓名-学校/公司-城市(如:目标检测-小极-北大-深圳),即可申请加入目标检测、目标跟踪、人脸、工业检测、医学影像、三维&SLAM、图像分割等极市技术交流群,更有每月大咖直播分享、真实项目需求对接、干货资讯汇总,行业技术交流一起来让思想之光照的更远吧~


△长按添加极市小助手


△长按关注极市平台


觉得有用麻烦给个在看啦~  

登录查看更多
33

相关内容

行为识别的要旨是企业在内部协调和对外交往中应该有一种规范性准则。这种准则具体体现在全体员工上下一致的日常行为中。也就是说,员工们的一招一式的行为举动都应该是一种企业行为,能反映出企业的经营理念和价值取向,而不是独立的随心所欲的个人行为。
基于深度学习的表面缺陷检测方法综述
专知会员服务
89+阅读 · 2020年5月31日
基于视觉的三维重建关键技术研究综述
专知会员服务
166+阅读 · 2020年5月1日
3D目标检测进展综述
专知会员服务
193+阅读 · 2020年4月24日
【综述】交通流量预测,附15页论文下载
专知会员服务
132+阅读 · 2020年4月23日
深度学习视频中多目标跟踪:论文综述
专知会员服务
94+阅读 · 2019年10月13日
CVPR 2019视频描述(video caption)相关论文总结
极市平台
36+阅读 · 2019年10月16日
基于弱监督的视频时序动作检测的介绍
极市平台
30+阅读 · 2019年2月6日
【紫冬声音】基于人体骨架的行为识别
中国自动化学会
16+阅读 · 2019年1月30日
人脸关键点检测综述(含论文、数据集、方法等)
基于人体骨架的行为识别【附PPT与视频资料】
人工智能前沿讲习班
31+阅读 · 2019年1月15日
图神经网络综述:模型与应用
PaperWeekly
198+阅读 · 2018年12月26日
人体骨骼关键点检测综述
极市平台
21+阅读 · 2018年6月29日
独家 | 基于深度学习的行人重识别研究综述
AI科技评论
11+阅读 · 2017年12月20日
视频行为识别年度进展
深度学习大讲堂
34+阅读 · 2017年6月12日
A Survey on Edge Intelligence
Arxiv
52+阅读 · 2020年3月26日
Deep Learning for Deepfakes Creation and Detection
Arxiv
6+阅读 · 2019年9月25日
Object Detection in 20 Years: A Survey
Arxiv
48+阅读 · 2019年5月13日
Arxiv
4+阅读 · 2019年4月17日
Arxiv
136+阅读 · 2018年10月8日
Arxiv
12+阅读 · 2018年9月5日
VIP会员
相关VIP内容
基于深度学习的表面缺陷检测方法综述
专知会员服务
89+阅读 · 2020年5月31日
基于视觉的三维重建关键技术研究综述
专知会员服务
166+阅读 · 2020年5月1日
3D目标检测进展综述
专知会员服务
193+阅读 · 2020年4月24日
【综述】交通流量预测,附15页论文下载
专知会员服务
132+阅读 · 2020年4月23日
深度学习视频中多目标跟踪:论文综述
专知会员服务
94+阅读 · 2019年10月13日
相关资讯
CVPR 2019视频描述(video caption)相关论文总结
极市平台
36+阅读 · 2019年10月16日
基于弱监督的视频时序动作检测的介绍
极市平台
30+阅读 · 2019年2月6日
【紫冬声音】基于人体骨架的行为识别
中国自动化学会
16+阅读 · 2019年1月30日
人脸关键点检测综述(含论文、数据集、方法等)
基于人体骨架的行为识别【附PPT与视频资料】
人工智能前沿讲习班
31+阅读 · 2019年1月15日
图神经网络综述:模型与应用
PaperWeekly
198+阅读 · 2018年12月26日
人体骨骼关键点检测综述
极市平台
21+阅读 · 2018年6月29日
独家 | 基于深度学习的行人重识别研究综述
AI科技评论
11+阅读 · 2017年12月20日
视频行为识别年度进展
深度学习大讲堂
34+阅读 · 2017年6月12日
相关论文
A Survey on Edge Intelligence
Arxiv
52+阅读 · 2020年3月26日
Deep Learning for Deepfakes Creation and Detection
Arxiv
6+阅读 · 2019年9月25日
Object Detection in 20 Years: A Survey
Arxiv
48+阅读 · 2019年5月13日
Arxiv
4+阅读 · 2019年4月17日
Arxiv
136+阅读 · 2018年10月8日
Arxiv
12+阅读 · 2018年9月5日
Top
微信扫码咨询专知VIP会员