为什么熟鸡蛋转着转着会立起来?| No.153

2019 年 5 月 3 日 中科院物理所


黑大帅:看我变个魔术!

潇洒哥:画个圈圈祝福你。

黑大帅:我转着转着就能站起来,你信不信?

潇洒哥:画个圈圈歌颂你。。

黑大帅:。。

潇洒哥:画个圈圈保佑你。。。

——那么,请问上文一共中有多少个圈?


1
Q

如果压力足够大,水可以被压缩吗?

by 田文郁

A

可以。压缩性是流体的基本属性。任何流体都是可以压缩的,只不过可压缩的程度不同而已。液体的压缩性都很小,随着压强和温度的变化,液体的密度仅有微小的变化,在大多数情况下,可以忽略压缩性的影响,认为液体的密度是一个常数。 dΡ/dT=0的流体称为不可压缩流体,而密度为常数的流体称为不可压均质流体。

水作为液体也是可以压缩的。从分子和原子尺度上考虑,水分子和水分子之间具有一定的空隙,氢原子和氧原子之间也存在距离,但由于分子或原子间很强的作用力使得其难以被压缩,但还是可以压缩的。一个很好的例子是考虑重力作用下深海中的水被其上部的水压缩,其密度比海面水的密度大

水的体积弹性模量为2.19x109Pa,即21.9MPa的压力可以使水的体积压缩相对1%,远大于气体的体积模量。

By 勿用


2
Q

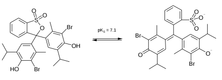
pH指示剂的原理是什么

by WQ

A

酸碱指示剂本身是弱酸或者弱碱,会和溶液中的氢离子或者氢氧根离子发生反应,生成共轭酸或者共轭碱。酸碱指示剂本身和生成的共轭酸或共轭碱表现出不同的颜色,从而能起到指示pH值的作用。

比如高中生物书上用来检测二氧化碳的溴麝香草酚蓝,属于弱碱,它在pH低于6.0时显黄色,pH高于7.6时显蓝色。下面的方程式展示了溴麝香草酚蓝发生转变时的结构变化。

熟悉的由蓝变绿再变黄(来源:Wikipedia)

而平时使用的pH试纸是广泛pH试纸,由百里酚蓝、甲基红、甲基橙、溴麝香草酚蓝、酚酞和溶剂按一定配比配制后再在纸上干燥而成的,因为含有指示不同pH范围的指示剂,且不同指示剂显示的颜色不同,所以能依靠丰富的颜色变化来指示很宽的pH值

By 重光


3
Q

请问浮沉子的原理是什么?通过改变排开水的体积还是改变重力大小

by 陈嘉辉

A

浮沉子主要用了两个原理,一个是帕斯卡原理(静压传递原理),一个是阿基米德原理(浮力定律)。先看一下简易浮沉子的构造吧,见下图,吸管的下部别着几根回形针,用来增加质量,而吸管的上部留着一些空气。吸管能浮在水面上就是因为上部留有的空气。

浮沉子浮在水面时,其重力与浮沉子内部的空气所提供的浮力互相平衡。压矿泉水瓶时,瓶内气压升高,根据帕斯卡原理,压强传递给水,水将浮沉子内部的空气压缩,浮沉子所受的浮力减小,就会沉下去。松开矿泉水瓶时,瓶内气压降低,浮沉子内部的气体将水排出一部分,浮沉子内空气体积增加,浮力也就增加了,浮沉子就上浮。

分析这一过程可以看到,如果以浮沉子和里面的空气作为一个整体来研究,其质量是没有改变的,控制其上浮还是下沉依靠的是改变排开水的体积

By 重光


4
Q

涂改液是怎样制作的?里面那个摇起来会响的东西是什么?

     by 1

A

涂改液的主要成份是钛白粉,也就是TiO2(二氧化钛)。涂改液的配方中含有甲基环己烷、钛白粉、环己烷、1,1,1-三氯乙烷,1,1,2-三氯乙烷、环己酮、甲基己丁基甲酮、二氯乙烷、树脂等化学物质。那个摇起来会响的东西是一个小钢珠,主要目的是为了将涂改液里面的附着剂(钛白粉)和溶剂(甲基环己烷)混合。每当使用涂改液之前将其适当摇晃,挤出来的是溶质(钛白粉)、溶剂(甲基环己烷)和胶,溶剂在空气中挥发,胶将钛白粉粘在纸上,涂盖住原有的笔迹

By Nuor


5
Q

公号编辑你们好,我是一个两岁半小女孩的爸爸,我的孩子一直在问我一个简单的问题,爸爸气球为什么会爆炸?

by 大王的爸爸

A

气球的种类很多,但会爆破的气球从本质上来说就是一种充满空气或某种别的气体的密封袋。爆破的基本要素是:在密封环境内空气剧烈膨胀使容器耐压超过极限。对于气球来说,其爆破的原因分析如下:

1、空气膨胀。当气球遇到温度上升或者外界压强降低(比如升到高空)时,其球内体积会增大,气球变形到无法承受内部的压力,发生爆破。

2、容器变形:当用力踩或者用针刺气球时,表面由于局部受力不均匀,一些区域内的气体会挤压表面使其压力超过局部表面承受压,气流急速涌出,发生爆破。

不过,对于一个两岁半的孩子来说,简单点来说就是:爆破就是气球内部的分子没有了约束,从而快速从气球内部跑了出来。(具体语言请爸爸结合孩子的教育背景组织:气球为什么叫气球呢?首先气球的形状是一个球形的,然后它里面装满了气体,气球爆炸的过程就是气球里面的气体飞速的跑了出去;气球就比如一个小屋子,气体就好比许多小朋友,小朋友本来在屋子里面玩,但屋子太小了,小朋友玩的不尽兴,爸爸突然把门给打开了,小朋友们一下子就从屋子里面跑出去了,跑的太快了,爸爸吓了一大跳)

By Nuor


6
Q

你好,关于等离子体,是不是只有在高温中才能出现(例如火焰的高温部分或闪电)?如果是这样,那等离子消毒也是一个高温的过程吗

by H雪X人H

A

首先给出答案,等离子体并不只在高温出现,等离子消毒利用低温等离子体中的高温电子部分进行消毒。

等离子体是物质存在的形态之一。通常认为等离子体是物质的第四态,等离子体就是显著电离的气体,但从气态过渡到等离子体在热力学上没有物理量的突变,并不存在相变过程,这种说法并不准确。等离子体的准确定义应该是由自由电荷构成的、表现出集体行为的多粒子宏观系统。传统中性等离子体研究的温度范围非常广泛,可以从地球电离层(极光)的300K左右到白矮星磁化层的1016K。温度和密度作为等离子体的两个参数,对应传统等离子体的参数空间如图所示。

由于等离子体内部电子和离子质量相差较大,通过碰撞交换能量过程缓慢,各种带电粒子成分各自先达到热力学平衡状态,分别对应电子温度Te和离子温度Ti。当等离子体整体达到平衡状态时,具有统一的电子温度和离子温度,粒子间的碰撞势约为几个电子伏特,对应等离子体温度为几千度甚至更高,称之为高温等离子体。还有一种状态是电子温度虽然很高,但体系中重离子温度很低,整体表现为低温状态,称为低温等离子体,由于体系处于非平衡状态也可称为非平衡等离子体。

低温等离子体消毒应用的就是这种原理:在几帕到几百帕的真空环境下利用特定电磁场对气体进行电离产生低温等离子体,电子温度可达20000-30000度,细菌的大小约为10-6m,许多电子将细菌或病毒包围然后消灭,同时由于电子本身热容量较小,对宏观温度没有影响,不会对消毒的物品产生损伤。低温等离子体消毒的温度一般为室温

并且,随着激光冷却技术的发展,超冷等离子体成为研究热点,其温度可以低至mK量级。1999年,美国国家标准与技术研究所的S.L.Rolston小组首次采用光电离激光冷却原子的方法,得到了电子和离子温度分别低到100mK和10μK,密度高达109cm-3的氙原子的超冷中性等离子体。

参考:《等离子体物理理论》 郑坚

          《超冷中性等离子体的研究进展》冯志刚等

By 勿用


7
Q

类似鸡蛋的椭圆形物体在平放时,如果双手给它两端力让它转起来,它转着转着就站着转了。随着速度的减慢,它又平转了,这其中的原理是什么?求解答 谢谢!

by 寻守

A

当我们让一个煮熟的鸡蛋快速旋转起来的时候,它的重心会逐渐上升,直到立着转一段时间,随后中心逐渐下降,直到停止。由于鸡蛋这种奇特的现象,形象称之为“魔蛋(magic eggs)”。

通常,快速旋转的物体会保持其旋转方向(陀螺运动的定轴性),魔蛋的奇特现象困扰了人们很长时间,直到2002年由H. K. Moffatt和 Y. Shimomura给出了经典的解释

首先建立如图所示的模型,从解析的角度来计算鸡蛋旋转对称轴Oz和竖直轴OZ之间角度随时间的变化θ(t)。采用陀螺近似,利用欧拉角动量方程,得到夹角一阶微分方程,在两种不同形式的摩檫力下得到了相同的结论:在鸡蛋的几何形状满足一定条件时,一段时间内,鸡蛋旋转对称轴Oz和竖直轴OZ之间的夹角单调的从90度变为0度,解释了魔蛋重心上升的现象。同时,在摩檫力为零时,角度不随时间变化,鸡蛋重心不会上升。据此,桌面与鸡蛋接触点的摩檫力是鸡蛋重心上升的关键因素。鸡蛋开始水平旋转时,由于鸡蛋形状的特殊性(一头大一头小,tip-top),这个位置并不稳定,蛋壳或桌子上任何微小的不规则都会使鸡蛋略微倾斜。旋转使得鸡蛋在桌面上滑动,将末端向上推,接触点靠近底端。接触点线速度增大,增加了摩擦力,使得鸡蛋能够在这个角度下稳定;鸡蛋继续旋转,接触点更靠近底端,摩檫力继续增大,最终,这种摩擦将鸡蛋一直“推”到垂直位置。

需要注意的是生鸡蛋比较难以产生”魔蛋”现象,这是因为开始旋转时生鸡蛋蛋壳的角速度扩散到鸡蛋内部时在粘滞力的作用下耗散了,剩余的动能不足以使鸡蛋最终立起来。

(下面公式引起强烈不适,可略过)

By 勿用




本期答题团队:

物理所   重光、Nuor、勿用


写下您的问题,下周五同一时间哦~

↓识别下方二维码快速提问↓



上期也精彩

绿巨人洛克是怎么变异的?| No.152

编辑:香菜大法好


近期热门文章Top10

↓ 点击标题即可查看 ↓

1. 掉入地下一万米

2.  从前有个学生熬夜迟到了,错把困扰数学家的难题当作业做了出来

3. 原子弹制造指南

4. 吸猫一时爽,一直吸猫一直爽

5. 为什么长时间不洗头,洗的时候搓不出很多泡沫?| No.145

6. 一个大活人,还能让尿活活憋死???

7. 所以,WiFi 和 4G 到底哪个更耗电?

8. 传纸条被发现,一看竟写着...

9. 铅笔上面那块废柴橡皮为什么容易把纸擦破?

10. 一幅图读懂量子力学(薛定谔的猫

点此查看以往全部热门文章


登录查看更多
0

相关内容

少标签数据学习,54页ppt
专知会员服务
205+阅读 · 2020年5月22日
【实用书】Python爬虫Web抓取数据,第二版,306页pdf
专知会员服务
122+阅读 · 2020年5月10日
【新书】Python中的经典计算机科学问题,224页PDF
专知会员服务
57+阅读 · 2019年12月31日
【机器学习课程】机器学习中的常识性问题
专知会员服务
75+阅读 · 2019年12月2日
美联储若降息意味着什么?
FT中文网
3+阅读 · 2019年6月28日
训练数据多少才够用
专知
16+阅读 · 2019年5月4日
IMU 标定 | 工业界和学术界有什么不同?
计算机视觉life
14+阅读 · 2019年1月8日
从动力学角度看优化算法:自适应学习率算法
PaperWeekly
8+阅读 · 2018年12月27日
从零开始深度学习:dropout与正则化
数萃大数据
7+阅读 · 2018年7月22日
为什么“高大上”的算法工程师变成了数据民工?
数据挖掘入门与实战
5+阅读 · 2018年2月25日
为什么大家都不戳破深度学习的本质?
36大数据
4+阅读 · 2017年12月7日
Python除了不会生孩子,什么都会
算法与数学之美
3+阅读 · 2017年11月8日
【直观详解】信息熵、交叉熵和相对熵
机器学习研究会
10+阅读 · 2017年11月7日
AI都干过什么让人细思极恐的事?
全球创新论坛
4+阅读 · 2017年9月15日
Real-time Scalable Dense Surfel Mapping
Arxiv
5+阅读 · 2019年9月10日
Relational recurrent neural networks
Arxiv
8+阅读 · 2018年6月28日
VIP会员
相关资讯
美联储若降息意味着什么?
FT中文网
3+阅读 · 2019年6月28日
训练数据多少才够用
专知
16+阅读 · 2019年5月4日
IMU 标定 | 工业界和学术界有什么不同?
计算机视觉life
14+阅读 · 2019年1月8日
从动力学角度看优化算法:自适应学习率算法
PaperWeekly
8+阅读 · 2018年12月27日
从零开始深度学习:dropout与正则化
数萃大数据
7+阅读 · 2018年7月22日
为什么“高大上”的算法工程师变成了数据民工?
数据挖掘入门与实战
5+阅读 · 2018年2月25日
为什么大家都不戳破深度学习的本质?
36大数据
4+阅读 · 2017年12月7日
Python除了不会生孩子,什么都会
算法与数学之美
3+阅读 · 2017年11月8日
【直观详解】信息熵、交叉熵和相对熵
机器学习研究会
10+阅读 · 2017年11月7日
AI都干过什么让人细思极恐的事?
全球创新论坛
4+阅读 · 2017年9月15日
Top
微信扫码咨询专知VIP会员