2018 年秋天,当菲尔兹奖、阿贝尔奖得主、89 岁高龄的迈克尔 · 阿蒂亚(Michael Atiyah)爵士站在海德堡获奖者论坛的讲台,用 45 分钟、一页 PPT 展示了自己对黎曼猜想的证明时,众人沸腾。 
    
    
   ![]()
 
    
    
    这是阿蒂亚爵士的最后一次公开数学报告,报告结束后三个月,阿蒂亚爵士与世长辞。 
    
    
    
    拥有有 160 多年历史的黎曼猜想,是数学王冠上的明珠,让无数人为之辗转。 
    
    
    
    试图证明这一猜想的人很多,但被公认的方法至今还没出现。阿蒂亚爵士在演讲之后也公布了自己证明黎曼猜想的预印本,仍未被众人认可。 
    
    
    
    近日,一份关于黎曼猜想证明的预印本论文,在数学社区引发了热议。 
    
    
    
    10 月 31 日,兰斯大学的 Andre Unterberger 在 arXiv 上传论文《A pseudodifferential proof of the Riemann hypothesis》。 
    
    
   ![]()
 
    
    
    论文地址:https://arxiv.org/pdf/2111.02792.pdf 
    
    
    
    作者 1971 年在巴黎狄德罗大学获得博士学位,研究方向为偏微分方程。他的导师是法国数学家、1950 年菲尔兹奖得主 Laurent Schwartz。 
    
    
    
    2002 年,Andre Unterberger 获得西班牙 Ferran Sunyer i Balaguer 奖。此前,他也曾发表过关于拉马努金猜想、庞加莱猜想等数学命题的证明,并出版了多本著作。 
    
    
   ![]()
 
    
    
这篇论文的参考来源也是 Andre Unterberger 自己在 2018 年出版的一本关于数论的书籍《Pseudodifferential methods in number theory》。书籍介绍中就提到了「探索一种证明黎曼猜想的新方法」。 
    
    
   ![]()
 
    
    
    
    
    黎曼猜想是数学家黎曼在 1859 年向柏林科学院提交的一篇 8 页短论文中提出的,这篇论文讨论了素数分布的问题。黎曼发现,素数分布的规律就隐藏在某个函数的零点分布中。这个函数就是黎曼 ζ 函数: 
    
    
   ![]()
 
    
    
    黎曼将该函数解析延拓至整个复平面,并指出:黎曼ζ函数的非平凡零点(是指 s 不为 - 2、-4、-6‧‧‧ 等点的值,这些都是平凡零点)的实数部分都是 1/2。也就是说,这些非平凡零点都分布在复平面的 Re(z)=1/2 的直线上(即下图中的虚线)。 
    
    
    
    要证伪黎曼猜想,只需要找到一个不在 Re(z)=1/2 这条直线上的非平凡零点即可,只不过目前还没有发现这样的零点。 
    
    
    
    黎曼猜想及推广形式的成立是现有很多数学命题的前提。如果黎曼猜想及其推广形式被证明,这些数学命题都将变为数学定理;反之,一旦黎曼猜想被证伪,将有 1000 多个数学命题成为黎曼猜想的「陪葬品」。 
    
    
    
    
    
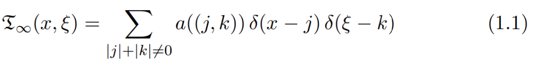
    在这篇论文中, 
    Andre Unterberger 对黎曼猜想涉及到的厄米特形式(hermitian form)的分析和算术部分进行了详尽的比较,从而证明了该猜想。 
    
    
   ![]()
 
    
    
    
   ![]()
 
    
    
    其中, 
    
 
    , 
    
 
    ,r=1,2,...。 
    
 
    被称作 Eisenstein 分布,在某些情况下, 
    
    
    
    
    
    与分布 
    
 
    相关联的线性算子 
    
 
    将 S(R)转变为 S’(R) 
    
    
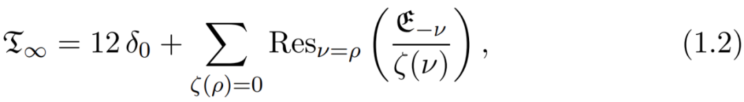
   ![]()
 
    
    
    该研究利用欧拉算子 
    
 
    更具体地说是重新扩展了运算符的集合
,即 
    
    
    
    
    
 
    Unterberger 在 2018 年的一项研究 [1] 中,当β>2 且ε>0 时,对于在[0,β] 中的每个 
    
  
    R.H. 已经被证明等价于: 
    
    
   ![]()
 
    
    
    
   ![]()
 
    
    
    如果 Q 无平方,且函数 
    
 
    在 [0, β] 中被支持,则 N = RQ 是一个可被所有小于 βQ 的素数整除的无平方整数,可得到以下方程: 
    
    
   ![]()
 
    
    
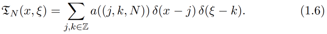
    现在,右侧的厄米特形式适用于代数算术版本。实际上,将 half-line 支持的 
    
 
    中的函数传递到以下方程定义的线性情况下 
    
 
    上的函数: 
    
    
   ![]()
 
    
    
    与 [1] 中已获得的证明结果相比, 
    新研究在于充分利用了这种代数结构和测试函数 w 的支持假设 
    。作者通过进一步的条件 
    
 
    来利用一切可能性约束 R,然后主厄米特形式(1.7) 本质上等于 Q^2 乘以「简化」形式 
    
 
    。如果假设 w 在 [0, β] 中得到支持,对于某些 β,则可以使用主厄米特的简单无条件估计形式,也就能够对简化形式实现非常好的估计。 
    为了从中推导出黎曼猜想,剩下要做的是为简化形式提供一个类似于(1.5)的标准。 
    
    
    
    
    
    对于 André Unterberger 这篇证明黎曼猜想的论文,有知乎用户吐槽称,「有点像 mathgen(一种数学论文生成器)自动生成的。」 
    
    
   ![]()
 
    
    
    不过,更多的网友还是给予了肯定与期待。有位匿名用户认为,「作者毕竟是法国数学家 & 1950 年菲尔兹奖得主 Laurent Schwartz 的博士生,法国数学家 & 1966 年菲尔兹奖得主 Alexander Grothendieck 的同门师弟,年逾 80,总归非民科能碰瓷的吧。」 
    
 
    
    
   ![]()
 
    
    
    这位匿名用户的观点也得到了其他人的附议。「至少看上去有可能是对的,比某精细结构常数要靠谱得多。仍有很大可能存在缺陷,还是期待同行评议的结果。」有用户这样表示。 
    
    
   ![]()
 
    
    
    总之,对于这篇「不明觉厉」的文章,挂在了 arXiv 数论板块(Number Theory)也在一定程度上说明了作者并非胡说臆测。如果有读者大神研究这一证明,欢迎留言告诉我们结果。 
    
    
    
    
    https://zhuanlan.zhihu.com/p/45249464 
    
    
    https://www.jiqizhixin.com/articles/2019-01-12 
    
    
    https://www.genealogy.math.ndsu.nodak.edu/id.php?id=75970 
    
    
    
     
      
       
        
         
          
           
            
             
              
              2021 博世中国 x 机器之心 AIoT 线上黑客松,20万奖金等你来赢!
 
              
 
               
               10月15日至11月27日,互联交通、互联工业、碳中和、互联生活四大赛道以科技之名,看AIoT从业者有哪些新创意! 
               
               
               
               获奖创业团队 / 个人与博世中国合作;博世中国千元大礼包、机器之心2022 年度1999元Pro会员;博世中国实习机会、机器之心合作网络企业实习推荐等,更多优厚福利等你来赛! 
               
              识别下方海报二维码,立即报名。
 
               
              
             
            
           
          
         
        
       
      
     
    
   © THE END 
 
   转载请联系本公众号获得授权
 
   投稿或寻求报道:content@jiqizhixin.com