【全网最细致】机器学习距离与相似度计算

2020 年 11 月 13 日 AINLP

写在前面

涵盖了常用到的距离与相似度计算方式,其中包括欧几里得距离、标准化欧几里得距离、曼哈顿距离、汉明距离、切比雪夫距离、马氏距离、兰氏距离、闵科夫斯基距离、编辑距离、余弦相似度、杰卡德相似度、Dice系数。

欧几里得距离

在数学中,欧几里得距离或欧几里得度量是欧几里得空间中两点间“普通”(即直线)距离。 欧几里得距离有时候有称欧氏距离,在数据分析及挖掘中经常会被使用到,例如聚类或计算相似度。


如果我们将两个点分别记作(p1,p2,p3,p4…)和(q1,q2,q3,14,…),则欧几里得距离的计算公式为:
from math import *def euclidean_distance(x, y):        return sqrt(sum(pow(a - b, 2) for a, b in zip(x, y)))print(euclidean_distance([0, 3, 4, 5], [7, 6, 3, -1]))
 可以看到,欧几里得距离得到的结果是一个非负数,最大值是正无穷大,但是通常情况下相似度结果的取值范围在 [-1, 1] 之间。可以对它求倒数将结果转化到 (0, 1]之间。
分母+1是为了避免遇到被0整除的错误。

标准化欧式距离

标准化欧氏距离是针对简单欧氏距离的缺点(各维度分量的分布不一样)而作的一种改进方案。其实就是将各个分量都标准化。假设样本集X的均值(mean)为m,标准差(standard deviation)为s,那么X的“标准化变量”表示为:
即标准化后的值 = ( 标准化前的值-分量的均值) /分量的标准差
经过简单的推导就可以得到两个n维向量a(a1,a2,...an)与 b(b1,b2,...bn)间的标准化欧氏距离的公式:
如果将方差的倒数看成是一个权重,这个公式可以看成是一种加权欧氏距离(Weighted Euclidean distance)。
def normalized_euclidean(a, b):    sumnum = 0    for i in range(len(a)):        avg = (a[i] - b[i]) / 2        si = ((a[i] - avg) ** 2 + (b[i] - avg) ** 2) ** 0.5        sumnum += ((a[i] - b[i]) / si) ** 2    return sumnum ** 0.5

曼哈顿距离

曼哈顿距离是由十九世纪的赫尔曼·闵可夫斯基所创词汇 ,是种使用在几何度量空间的几何学用语,用以标明两个点在标准坐标系上的绝对轴距总和。
上图中红线代表曼哈顿距离,绿色代表欧氏距离,也就是直线距离,而蓝色和橙色代表等价的曼哈顿距离。通俗来讲,想象你在曼哈顿要从一个十字路口开车到另外一个十字路口实际驾驶距离就是这个“曼哈顿距离”,此即曼哈顿距离名称的来源,同时,曼哈顿距离也称为城市街区距离(City Block distance)。正正方方的曼哈顿的地图:
曼哈顿距离公式:
from math import *
def manhattan_distance(x,y): return sum(abs(a-b) for a,b in zip(x,y))print(manhattan_distance([10,20,10],[10,20,20]))

汉明距离

汉明距离是以理查德·卫斯里·汉明的名字命名的,汉明在误差检测与校正码的基础性论文中首次引入这个概念这个所谓的距离,是指两个等长字符串之间的汉明距离是两个字符串对应位置的不同字符的个数。
汉明距离有一个最为鲜明的特点就是它比较的两个字符串必须等长,否则距离不成立。它的核心原理就是如何通过字符替换(最初应用在通讯中实际上是二进制的0-1替换),能将一个字符串替换成另外一个字符串。维基百科给定了几个样例。(字符下标0为起始下标)
  • “karolin” 和 “kathrin” 的汉明距离为(字符2 3 4替换)
  • “karolin” 和 “kerstin” 的汉明距离为(字符1 3 4替换)
  • 1011101 和 1001001 的汉明距离为(字符2 4替换)
  • 2173896 和 2233796 的汉明距离为(字符1 2 4替换)
   
   
     
def hamming_distance(s1, s2): """Return the Hamming distance between equal-length sequences""" if len(s1) != len(s2): raise ValueError("Undefined for sequences of unequal length") return sum(el1 != el2 for el1, el2 in zip(s1, s2))
汉明距离主要应用在通信编码领域上,用于制定可纠错的编码体系。在机器学习领域中,汉明距离也常常被用于作为一种距离的度量方式。在LSH算法汉明距离也有重要的应用。 与汉明距离比较相近的是编辑距离。

赛切比雪夫距离

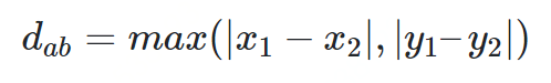
切比雪夫距离起源于国际象棋中国王的走法,国际象棋中国王每次只能往周围的8格中走一步,那么如果要从棋盘中A格(x1,y1)走到B格(x2,y2)最少需要走几步?你会发现最少步数总是 max(|x2-x1|,|y2-y1|)步。有一种类似的一种距离度量方法叫切比雪夫距离。

若将国际象棋棋盘放在二维直角座标系中,格子的边长定义为1,座标的x轴及y轴和棋盘方格平行,原点恰落在某一格的中心点,则王从一个位置走到其他位置需要的步数恰为二个位置的切比雪夫距离,因此切比雪夫距离也称为棋盘距离。例如位置F6和位置E2的切比雪夫距离为4。任何一个不在棋盘边缘的位置,和周围八个位置的切比雪夫距离都是1。
二维平面两点a(x1,y1)与b(x2,y2)间的切比雪夫距离:
两个n维向量a(x11,x12,…,x1n)与 b(x21,x22,…,x2n)间的切比雪夫距离:
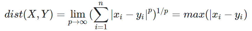
可以看到当扩展到多维空间,其实切比雪夫距离就是当p趋向于无穷大时的闵可夫斯基距离:
def chebyshev_distance(p, q):    assert len(p) == len(q)    return max([abs(x - y) for x, y in zip(p, q)])def chebyshev_distance_procedural(p, q):    assert len(p) == len(q)    d = 0    for x, y in zip(p, q):        d = max(d, abs(x - y))    return d

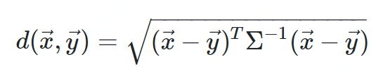
马氏距离

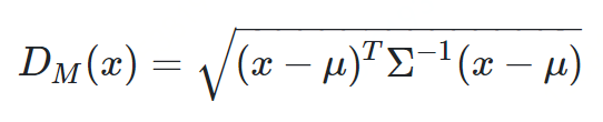
马氏距离(Mahalanobis Distance)是由印度统计学家马哈拉诺比斯(P. C. Mahalanobis)提出的,表示数据的协方差距离。有时也被称为马哈拉诺比斯距离。它是一种有效的计算两个未知样本集的相似度的方法。与欧氏距离不同的是它考虑到各种特性之间的联系(例如:一条关于身高的信息会带来一条关于体重的信息,因为两者是有关联的)并且是尺度无关的(scale-invariant),即独立于测量尺度。
一些基本概念:
  • 方差:方差是标准差的平方,而标准差的意义是数据集中各个点到均值点距离的平均值。反应的是数据的离散程度。
  • 协方差:标准差与方差是描述一维数据,当存在多维数据时,我们通常需要知道每个维数的变量中间是否存在关联。协方差就是衡量多维数据集中,变量之间相关性的统计量。如果两个变量之间的协方差为正值,则这两个变量之间存在正相关,若为负值,则为负相关。
对于一个均值为 μ=(μ1,μ2,μ3,…,μp)**T,协方差矩阵为 Σ的多变量向量 x=(x1,x2,x3,…,xp)**T,其马氏距离为:
马氏距离也可以定义为两个服从同一分布并且其协方差矩阵为 Σ的随机变量 x y 的差异程度:
如果协方差矩阵为单位矩阵,马氏距离就简化为欧氏距离;如果协方差矩阵为对角阵,其也可称为正规化的欧氏距离。
import pandas as pdimport scipy as spfrom scipy.spatial.distance import mahalanobisdatadict = {'country': ['Argentina', 'Bolivia', 'Brazil', 'Chile', 'Ecuador', 'Colombia', 'Paraguay', 'Peru', 'Venezuela'],'d1': [0.34, -0.19, 0.37, 1.17, -0.31, -0.3, -0.48, -0.15, -0.61],'d2': [-0.57, -0.69, -0.28, 0.68, -2.19, -0.83, -0.53, -1, -1.39],'d3': [-0.02, -0.55, 0.07, 1.2, -0.14, -0.85, -0.9, -0.47, -1.02],'d4': [-0.69, -0.18, 0.05, 1.43, -0.02, -0.7, -0.72, 0.23, -1.08],'d5': [-0.83, -0.69, -0.39, 1.31, -0.7, -0.75, -1.04, -0.52, -1.22],'d6': [-0.45, -0.77, 0.05, 1.37, -0.1, -0.67, -1.4, -0.35, -0.89]}pairsdict = {'country1': ['Argentina', 'Chile', 'Ecuador', 'Peru'],'country2': ['Bolivia', 'Venezuela', 'Colombia', 'Peru']}#DataFrame that contains the data for each countrydf = pd.DataFrame(datadict)#DataFrame that contains the pairs for which we calculate the Mahalanobis distancepairs = pd.DataFrame(pairsdict)#Add data to the country pairspairs = pairs.merge(df, how='left', left_on=['country1'], right_on=['country'])pairs = pairs.merge(df, how='left', left_on=['country2'], right_on=['country'])#Convert data columns to list in a single cellpairs['vector1'] = pairs[['d1_x','d2_x','d3_x','d4_x','d5_x','d6_x']].values.tolist()pairs['vector2'] = pairs[['d1_y','d2_y','d3_y','d4_y','d5_y','d6_y']].values.tolist()mahala = pairs[['country1', 'country2', 'vector1', 'vector2']]#Calculate covariance matrixcovmx = df.cov()invcovmx = sp.linalg.inv(covmx)#Calculate Mahalanobis distancemahala['mahala_dist'] = mahala.apply(lambda x: (mahalanobis(x['vector1'], x['vector2'], invcovmx)), axis=1)mahala = mahala[['country1', 'country2', 'mahala_dist']]
根据马氏距离的定义,可以得到它的几个特点如下:
  • 两点之间的马氏距离与原始数据的测量单位无关(不受量纲的影响)
  • 标准化数据和中心化数据(即原始数据与均值之差)计算出的二点之间的马氏距离相同
  • 可以排除变量之间的相关性的干扰
  • 满足距离的四个基本公理:非负性、自反性、对称性和三角不等式
  • 缺点是夸大了变化微小的变量的作用
考虑下面这张图,椭圆表示等高线,从欧几里得的距离来算,绿黑距离大于红黑距离,但是从马氏距离,结果恰好相反:
马氏距离实际上是利用 Cholesky transformation 来消除不同维度之间的相关性和尺度不同的性质。
下图是一个二元变量数据的散点图:
当我们将坐标轴拿掉,如下图:
根据数据本身的提示信息来引入新的坐标轴:坐标的原点在这些点的中央(根据点的平均值算得)。第一个坐标轴(下图中蓝色的线)沿着数据点的“脊椎”,并向两端延伸,定义为使得数据方差最大的方向。第二个坐标轴(下图红色的线)会与第一个坐标轴垂直并向两端延伸。如果数据的维度超过了两维,那就选择使得数据方差是第二个最大的方向,以此类推。
我们需要一个比例尺度。沿着每一个坐标轴的标准差来定义一个单位长度。使用“68-95-99.7法则”更容易找到合理的单位。(大约68%的点需要在离原点一个单位长度的范围内;大约95%的点需要在离原点两个单位的长度范围内;99.7的点需要在3个单位程度范围内。)为了以示参考,如下图:
由于每个轴上的单位长度不相等,所以上图中距离原点一个单位的形成的轨迹并不是一个圆形。为了更好的呈现图表,我们将图片进行旋转。同时,并让每个轴方向上的单位长度相同:
上面就是从散点图中构建坐标系统的过程,为的是方便进行测量。
说明:
  • 沿着新坐标轴的单位向量是协方差矩阵的特征向量。注意到没有变形的椭圆,变成圆形后沿着特征向量用标准差(协方差的平方根)将距离长度分割。
  • 坐标轴扩展的量是协方差矩阵的逆的特征值(平方根),同理的,坐标轴缩小的量是协方差矩阵的特征值。所以,点越分散,需要的将椭圆转成圆的缩小量就越多。
  • 尽管上述的操作可以用到任何数据上,但是对于多元正态分布的数据表现更好。在其他情况下,点的平均值或许不能很好的表示数据的中心,或者数据的“脊椎”(数据的大致趋势方向)不能用变量作为概率分布测度来准确的确定。
  • 原始坐标系的平移、旋转,以及坐标轴的伸缩一起形成了仿射变换(affine transformation)。除了最开始的平移之外,其余的变换都是基底变换,从原始的一个变为新的一个。
  • 在新的坐标系中,多元正态分布像是标准正太分布,当将变量投影到任何一条穿过原点的坐标轴上。特别是,在每一个新的坐标轴上,它就是标准正态分布。从这点出发来看,多元正态分布彼此之实质性的差异就在于它们的维度。

兰氏距离

兰氏距离(Lance and Williams distance)堪培拉距离(Canberra Distance),被认为是曼哈顿距离的加权版本。
其定义公式为:
通常兰氏距离对于接近于0(大于等于0)的值的变化非常敏感。与马氏距离一样,兰氏距离对数据的量纲不敏感。不过兰氏距离假定变量之间相互独立,没有考虑变量之间的相关性。
def canberra_distance(p, q):    n = len(p)    distance = 0    for i in n:        if p[i] == 0 and q[i] == 0:            distance += 0        else:            distance += abs(p[i] - q[i]) / (abs(p[i]) + abs(q[i]))    return distance

闵科夫斯基距离

闵可夫斯基距离又称为闵氏距离(由于翻译问题,有时候也被称为明可夫斯基距离或明氏距离)。闵可夫斯基距离是欧氏空间中的一种测度,被看做是欧氏距离和曼哈顿距离的一种推广。闵氏距离不是一种距离,而是一组距离的定义。
闵氏距离被看做是欧氏距离和曼哈顿距离的一种推广。公式中包含了欧氏距离、曼哈顿距离和切比雪夫距离。
闵可夫斯基距离的定义:
假设两点:
明氏距离公式为:
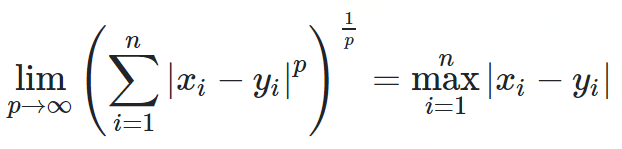
p取1或2时的明氏距离是最为常用的,p=2即为欧氏距离,而p=1时则为曼哈顿距离。当p取无穷时的极限情况下,可以得到切比雪夫距离:
我们知道平面上到原点欧几里得距离(p = 2)为 1 的点所组成的形状是一个圆,当 p 取其他数值的时候呢?
注意,当 p<1 时,闵可夫斯基距离不再符合三角形法则,举个例子:当 p<1, (0,0) 到 (1,1) 的距离等于 (1+1)^{1/p}>2, 而 (0,1) 到这两个点的距离都是 1。
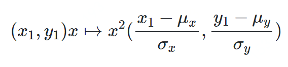
闵可夫斯基距离比较直观,但是它与数据的分布无关,具有一定的局限性,如果 x 方向的幅值远远大于 y 方向的值,这个距离公式就会过度放大 x 维度的作用。所以,在计算距离之前,我们可能还需要对数据进行z-transform处理,即减去均值,除以标准差:
其中  μ为该维度上的均值, σ为该维度上的标准差。
可以看到,上述处理开始体现数据的统计特性了。这种方法在假设数据各个维度不相关的情况下利用数据分布的特性计算出不同的距离。如果维度相互之间数据相关(例如:身高较高的信息很有可能会带来体重较重的信息,因为两者是有关联的),这时候就要用到马氏距离(Mahalanobis distance)了。
闵氏距离的缺点主要有两个:
  • 将各个分量的量纲(scale),也就是“单位”当作相同看待了
  • 没有考虑各个分量的分布(期望,方差等)可能是不同的
def minkowski_distance(p, q, n):    assert len(p) == len(q)    return sum([abs(x - y) ^ n for x, y in zip(p, q)]) ^ 1 / ndef minkowski_distance_procedural(p, q, n):    assert len(p) == len(q)    s = 0    for x, y in zip(p, q):        s += abs(x - y) ^ n    return s ^ (1 / n)

编辑距离

在做爬虫的时候,很容易保持一些相似的数据,这些相似的数据由于不完全一致,如果要通过人工一一的审核,将耗费大量的时间。编辑距离(Edit Distance),又称Levenshtein距离,是指两个字串之间,由一个转成另一个所需的最少编辑操作次数。编辑操作包括将一个字符替换成另一个字符,插入一个字符,删除一个字符。一般来说,编辑距离越小,两个串的相似度越大。
例如将kitten一字转成sitting:(’kitten’ 和 ‘sitting’ 的编辑距离为3)
  • sitten (k→s)
  • sittin (e→i)
  • sitting (→g)
Python中的Levenshtein包可以方便的计算编辑距离,包的安装:pip install python-Levenshtein
import Levenshteintexta = 'Coggle'textb = 'Google'print Levenshtein.distance(texta,textb)
接下来重点介绍下保重几个方法的作用:
Levenshtein.distance(str1, str2)
计算编辑距离(也称Levenshtein距离)。是描述由一个字串转化成另一个字串最少的操作次数,在其中的操作包括插入、删除、替换。算法实现:动态规划。
Levenshtein.hamming(str1, str2)
计算汉明距离。要求str1和str2必须长度一致。是描述两个等长字串之间对应位置上不同字符的个数。
Levenshtein.ratio(str1, str2)
计算莱文斯坦比。计算公式  r = (sum – ldist) / sum, 其中sum是指str1 和 str2 字串的长度总和,ldist是类编辑距离。注意这里是类编辑距离,在类编辑距离中删除、插入依然+1,但是替换+2。
Levenshtein.jaro(s1, s2)
计算jaro距离,Jaro Distance据说是用来判定健康记录上两个名字是否相同,也有说是是用于人口普查,我们先来看一下Jaro Distance的定义。
两个给定字符串S1和S2的Jaro Distance为:
其中的m为s1, s2匹配的字符数,t是换位的数目。
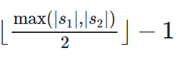
两个分别来自S1和S2的字符如果相距不超过
时,我们就认为这两个字符串是匹配的;而这些相互匹配的字符则决定了换位的数目t,简单来说就是不同顺序的匹配字符的数目的一半即为换位的数目t。举例来说,MARTHA与MARHTA的字符都是匹配的,但是这些匹配的字符中,T和H要换位才能把MARTHA变为MARHTA,那么T和H就是不同的顺序的匹配字符,t=2/2=1。
两个字符串的Jaro Distance即为:
Levenshtein.jaro_winkler(s1, s2)
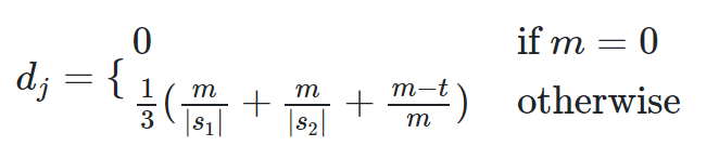
计算Jaro–Winkler距离,而Jaro-Winkler则给予了起始部分就相同的字符串更高的分数,他定义了一个前缀p,给予两个字符串,如果前缀部分有长度为ι的部分相同,则Jaro-Winkler Distance为:
  • dj是两个字符串的Jaro Distance
  • ι是前缀的相同的长度,但是规定最大为4
  • p则是调整分数的常数,规定不能超过25,不然可能出现dw大于1的情况,Winkler将这个常数定义为0.1
这样,上面提及的MARTHA和MARHTA的Jaro-Winkler Distance为:
dw = 0.944 + (3 * 0.1(10.944)) = 0.961
个人觉得算法可以完善的点:
  • 去除停用词(主要是标点符号的影响)
  • 针对中文进行分析,按照词比较是不是要比按照字比较效果更好?

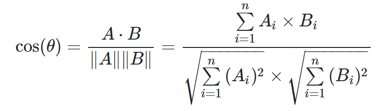
余弦相似度

余弦相似性通过测量两个向量的夹角的余弦值来度量它们之间的相似性。0度角的余弦值是1,而其他任何角度的余弦值都不大于1;并且其最小值是-1。从而两个向量之间的角度的余弦值确定两个向量是否大致指向相同的方向。两个向量有相同的指向时,余弦相似度的值为1;两个向量夹角为90°时,余弦相似度的值为0;两个向量指向完全相反的方向时,余弦相似度的值为-1。这结果是与向量的长度无关的,仅仅与向量的指向方向相关。余弦相似度通常用于正空间,因此给出的值为0到1之间。
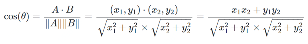
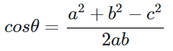
二维空间为例,上图的a和b是两个向量,我们要计算它们的夹角θ。余弦定理告诉我们,可以用下面的公式求得:
假定a向量是[x1,y1],b向量是[x2,y2] ,两个向量间的余弦值可以通过使用欧几里得点积公式求出:
如果向量a和b不是二维而是n维,上述余弦的计算法仍然正确。假定A和B是两个n维向量,A是 [A1,A2,…,An],B是 [B1,B2,…,Bn]  ,则A与B的夹角θ的余弦等于:
存在的问题:余弦相似度更多的是从方向上区分差异,而对绝对的数值不敏感。比如用户对内容评分,5分制。A和B两个用户对两个商品的评分分别为A:(1,2)和B:(4,5)。我们分别用两种方法计算相似度。使用余弦相似度得出的结果是0.98,看起来两者极为相似,但从评分上看X似乎不喜欢这两个东西,而Y比较喜欢。造成这个现象的原因就在于,余弦相似度没法衡量每个维数值的差异,对数值的不敏感导致了结果的误差。
from math import *
def square_rooted(x): return round(sqrt(sum([a*a for a in x])),3)
def cosine_similarity(x,y): numerator = sum(a*b for a,b in zip(x,y)) denominator = square_rooted(x)*square_rooted(y) return round(numerator/float(denominator),3)
print(cosine_similarity([3, 45, 7, 2], [2, 54, 13, 15]))

杰卡德相似度

Jaccard index, 又称为Jaccard相似系数(Jaccard similarity coefficient)用于比较有限样本集之间的相似性与差异性。Jaccard系数值越大,样本相似度越高。
两个集合A和B交集元素的个数在A、B并集中所占的比例,称为这两个集合的杰卡德系数,用符号 J(A,B) 表示。杰卡德相似系数是衡量两个集合相似度的一种指标(余弦距离也可以用来衡量两个集合的相似度)。
def jaccard_sim(a, b):    unions = len(set(a).union(set(b)))    intersections = len(set(a).intersection(set(b)))    return intersections / unionsa = ['x', 'y']b = ['x', 'z', 'v']print(jaccard_sim(a, b))

杰卡德距离

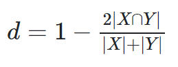
杰卡德距离(Jaccard Distance) 是用来衡量两个集合差异性的一种指标,它是杰卡德相似系数的补集,被定义为1减去Jaccard相似系数。
杰卡德距离用两个集合中不同元素占所有元素的比例来衡量两个集合的区分度。
def jaccard_similarity(x,y):    intersection_cardinality = len(set.intersection(*[set(x), set(y)]))    union_cardinality = len(set.union(*[set(x), set(y)]))    return intersection_cardinality/float(union_cardinality)
print(jaccard_similarity([0,1,2,5,6],[0,2,3,5,7,9]))

Dice系数

Dice距离用于度量两个集合的相似性,因为可以把字符串理解为一种集合,因此Dice距离也会用于度量字符串的相似性。此外,Dice系数的一个非常著名的使用即实验性能评测的F1值。Dice系数定义如下:

其中分子是A与B的交集数量的两倍,分母为X和Y的长度之和,所以他的范围也在0到1之间。从公式看,Dice系数和Jaccard非常的类似。Jaccard是在分子和分母上都减去了|A∩B|。


与Jaccard不同的是,相应的差异函数

不是一个合适的距离度量措施,因为它没有三角形不等性的性质。例如给定 {a}, {b}, 和 {a,b}, 前两个集合的距离为1, 而第三个集合和其他任意两个集合的距离为三分之一。

与Jaccard类似, 集合操作可以用两个向量A和B的操作来表示:

def dice_coefficient(a, b):    """dice coefficient 2nt/na + nb."""    a_bigrams = set(a)    b_bigrams = set(b)    overlap = len(a_bigrams & b_bigrams)    return overlap * 2.0/(len(a_bigrams) + len(b_bigrams))


由于微信平台算法改版,公号内容将不再以时间排序展示,如果大家想第一时间看到我们的推送,强烈建议星标我们和给我们多点点【在看】。星标具体步骤为:

(1)点击页面最上方"AINLP",进入公众号主页。

(2)点击右上角的小点点,在弹出页面点击“设为星标”,就可以啦。

感谢支持,比心

欢迎加入AINLP技术交流群
进群请添加AINLP小助手微信 AINLPer(id: ainlper),备注NLP技术交流

推荐阅读

这个NLP工具,玩得根本停不下来

征稿启示| 200元稿费+5000DBC(价值20个小时GPU算力)

完结撒花!李宏毅老师深度学习与人类语言处理课程视频及课件(附下载)

从数据到模型,你可能需要1篇详实的pytorch踩坑指南

如何让Bert在finetune小数据集时更“稳”一点

模型压缩实践系列之——bert-of-theseus,一个非常亲民的bert压缩方法

文本自动摘要任务的“不完全”心得总结番外篇——submodular函数优化

Node2Vec 论文+代码笔记

模型压缩实践收尾篇——模型蒸馏以及其他一些技巧实践小结

中文命名实体识别工具(NER)哪家强?

学自然语言处理,其实更应该学好英语

斯坦福大学NLP组Python深度学习自然语言处理工具Stanza试用

关于AINLP

AINLP 是一个有趣有AI的自然语言处理社区,专注于 AI、NLP、机器学习、深度学习、推荐算法等相关技术的分享,主题包括文本摘要、智能问答、聊天机器人、机器翻译、自动生成、知识图谱、预训练模型、推荐系统、计算广告、招聘信息、求职经验分享等,欢迎关注!加技术交流群请添加AINLPer(id:ainlper),备注工作/研究方向+加群目的。


阅读至此了,分享、点赞、在看三选一吧🙏

登录查看更多
0

相关内容

【干货书】Python机器学习及金融应用,384页pdf
专知会员服务
135+阅读 · 2021年1月1日
专知会员服务
41+阅读 · 2020年10月17日
专知会员服务
203+阅读 · 2020年9月1日
【经典书】概率统计导论第五版,730页pdf
专知会员服务
249+阅读 · 2020年7月28日
【视频】几何数据嵌入表示学习,74页ppt
专知会员服务
35+阅读 · 2020年7月24日
专知会员服务
43+阅读 · 2020年7月7日
最新《自动微分手册》77页pdf
专知会员服务
103+阅读 · 2020年6月6日
常见的距离算法和相似度计算方法
极市平台
18+阅读 · 2020年7月31日
机器学习计算距离和相似度的方法
极市平台
10+阅读 · 2019年9月20日
PyTorch 实战:计算 Wasserstein 距离
Python开发者
5+阅读 · 2019年3月19日
百面机器学习!算法工程师面试宝典!| 码书
程序人生
6+阅读 · 2019年3月2日
计算文本相似度常用的四种方法
论智
33+阅读 · 2018年5月18日
机器学习的5种距离度量方法
七月在线实验室
9+阅读 · 2018年5月18日
机器之心最干的文章:机器学习中的矩阵、向量求导
深度学习世界
12+阅读 · 2018年2月7日
用线性规划去计算句子之间的相似度
AI研习社
9+阅读 · 2017年12月27日
python文本相似度计算
北京思腾合力科技有限公司
24+阅读 · 2017年11月6日
文本分析 | 常用距离/相似度 一览
数说工作室
26+阅读 · 2017年10月12日
Arxiv
0+阅读 · 2021年1月31日
Arxiv
0+阅读 · 2021年1月26日
Learning in the Frequency Domain
Arxiv
11+阅读 · 2020年3月12日
Arxiv
8+阅读 · 2018年5月15日
VIP会员
相关VIP内容
【干货书】Python机器学习及金融应用,384页pdf
专知会员服务
135+阅读 · 2021年1月1日
专知会员服务
41+阅读 · 2020年10月17日
专知会员服务
203+阅读 · 2020年9月1日
【经典书】概率统计导论第五版,730页pdf
专知会员服务
249+阅读 · 2020年7月28日
【视频】几何数据嵌入表示学习,74页ppt
专知会员服务
35+阅读 · 2020年7月24日
专知会员服务
43+阅读 · 2020年7月7日
最新《自动微分手册》77页pdf
专知会员服务
103+阅读 · 2020年6月6日
相关资讯
常见的距离算法和相似度计算方法
极市平台
18+阅读 · 2020年7月31日
机器学习计算距离和相似度的方法
极市平台
10+阅读 · 2019年9月20日
PyTorch 实战:计算 Wasserstein 距离
Python开发者
5+阅读 · 2019年3月19日
百面机器学习!算法工程师面试宝典!| 码书
程序人生
6+阅读 · 2019年3月2日
计算文本相似度常用的四种方法
论智
33+阅读 · 2018年5月18日
机器学习的5种距离度量方法
七月在线实验室
9+阅读 · 2018年5月18日
机器之心最干的文章:机器学习中的矩阵、向量求导
深度学习世界
12+阅读 · 2018年2月7日
用线性规划去计算句子之间的相似度
AI研习社
9+阅读 · 2017年12月27日
python文本相似度计算
北京思腾合力科技有限公司
24+阅读 · 2017年11月6日
文本分析 | 常用距离/相似度 一览
数说工作室
26+阅读 · 2017年10月12日
Top
微信扫码咨询专知VIP会员