Kaggle 商品销量预测季军方案出炉,应对时间序列问题有何妙招

2018 年 3 月 18 日 AI研习社 思颖

AI 研习社消息,Kaggle 上 Corporación Favorita 主办的商品销量预测比赛于两个月前落下帷幕,此次比赛的奖金池共计三万美元,吸引到 1675 支队伍参赛。

近日,Private Leaderboard 上的亚军 SoLucky 团队在 arxiv 上发表了一篇论文,阐述了其获胜方案,AI 研习社对论文内容进行编译整理如下:

作者参加了在 Kaggle 上举办的 Corporacion Favorita Grocery Sales Forecasting 销量预测比赛,并取得了第二名的成绩。

这场比赛是基于时间序列数据的基础机器学习问题,论文中阐明了总体分析和解决方案。

作者的方法基于空洞卷积神经网络(dilated convolutional neural network)并进行了改善,来对时间序列进行预测。利用这种技术,在 n 个示例批次中不断迭代,能够快速和准确地对大量时间序列数据进行处理。

  比赛背景

Kaggle 等竞赛平台举办的时间序列比赛目前已经成为机器学习流行赛事,这些竞赛有助于推进机器学习顶尖技术的发展,将其用于实际领域。

时间序列是不太为人所知的分析领域。由于数据存在着季节性、动态性和周期性的特征,数据序列是非线性的,并存在噪声,因此很难准确进行识别和预测。

神经网络在近几年的热度急剧增长,这使人们对预测有了截然不同的理解。硬件的进步使得我们能够在一定时间内利用深度神经网络解决问题。目前,深度学习是一个可行的解决方案,利用这项技术,近年来研究者们在基准数据集的分类精度上打破了很多记录。

作者在本文中讨论了解决 Corporacion Favorita Grocery Sales Forecasting 商品销量预测问题的方法,描述并分析了将卷积神经网络应用于时间序列数据。

  数据集描述

数据被分为两部分——训练数据和测试数据。训练数据用于模型训练,测试数据被分为几部分,分别用于在公共和私人的排行榜上进行模型的准确性评估。这场比赛中,Corporacion Favorita 提供 125,497,040 个训练观察值和 3370,464 个测试观察值。

数据集由按日销售额、商店编号、商品编号和促销信息组成。此外,主办方还提供交易信息、石油价格、商店信息和假期。

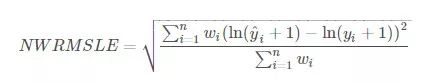
该竞赛使用 NWRMSLE(标准化加权均方根对数误差)作为评价指标。

  问题定义

实体店中的采购和销售需要保持平衡。稍微将销售预测过量,店里就会积存许多货物,要是积压了不易储存的商品会更加糟糕。而要是将销量预测过低,设想一下,当顾客把钱都付了,却发现没货,那这家店的口碑将会急剧下降。

此外,随着零售商增加新的门店,那里的顾客又可能存在独特的需求,比如他们想要新的产品,口味随季节而变化,那问题将变得更加复杂,产品市场如何真的很难预知。

在这次比赛中,主办方希望参赛者建立一个更准确的预测产品销量的模型。作者的目标是建立一个可能应用于实际,并具有最高准确度的销量预测模型。

主要存在如下三种挑战:

  • 噪声数据:尽管组织者尽力准备并提供了大量数据,但其中存在有噪声标签的数据。有些数据(石油价格、假期、交易)与目标没有关联,在之后根本不会使用。

  • 不可见数据:有这样一种情况,在测试集中出现了不可见的数据。由于存在这类不可见的商店/商品数据,模型的行为将不可预测。原因如下:训练集中不包括销售额为 0 的记录,但是测试集包含所有的商店/商品组合(不管商店此前是否销售该商品)。最后,作者假设这些不可见的组合只是零销售额数据,用 0 来进行替换。

  • 准确度:因为这个实验是严格按照比赛规则进行的,作者尝试了所有可能用来提高预测准确度的方法。

  可选方案

下面的这些架构基于神经网络,但在这个比赛中,最终结果不如作者最后使用的 WaveNet 模型,但他们相信这种架构可以提供一种完全不同的方法来解决问题,产生出一些有趣的洞见,甚至在其他比赛中超越 WaveNet。

循环神经网络

循环神经网络(RNN)可以将当前节点的输出作为下一个节点的输入,可以如下描述:相较于其他深度学习算法,RNN 已经被广泛用于预测时间序列问题,并被定位为预测此类数据数组问题的最先进的方法。

这些网络的效率可以通过重复的连接来解释,这些连接允许网络访问以前的时间序列值的整个历史。

可以将 RNN 看成同一个网络的多个副本,每个副本会传递消息给后续副本。由于自身属性,RNN 与序列和列表密切相关。在过去的几年中,将 RNN 应用于时间序列预测问题上已经取得了惊人的成果。

其中具有象征意义的是 LSTMs,这是一种非常特殊的 RNN,在许多任务上,它比标准 RNN 的表现要好得多。

GRU 架构也可以作为解决当前问题的方法,它们与 LSTMs 相似,结构更简。

  作者的方法

基于 WaveNet CNN 网络并做了一些额外的扩展和修改。

近年来,深度学习技术的发展促使研究人员探索出各种时间序列预测方法,其中就有 WaveNet。WaveNet 是一个生成模型,这意味着模型可以针对一些条件输入生成实值数据(real-valued data)序列。

该架构背后的核心思想是空洞因果卷积(dilated causal convolutions)。由于没有循环连接和跳跃步骤,空洞卷积训练起来比 RNN 要快。

目前,因果卷积存在的问题之一是:为了增大感受野,需要用到多层卷积或者或很多大滤波器。

空洞卷积不存在这些问题,它使用上采样滤波器代替特征映射(feature maps)。换句话说,空洞卷积允许只增加核的视野在层间维持特征映射的大小,另外,可以用更少的参数捕获输入的全局视图。

为了能够产生 16 天的预测值,作者对模型进行了修改。因为训练使用的是下一步预测值,错误会持续累积。为了解决这个问题,他们使用 sequence to sequence 方法,编码器和解码器不会共享参数。解码器将会在产生长序列时处理累积的噪声。这里还用了亚当优化器更新网络权重。数据是通过小批次产生的,随机采样 128 个序列。

由于整个数据集大约包含 17 万序列 x 365 天,所以在每次训练迭代中都能向模型输入不同的数据。考虑到这一点,该模型能很好地处理过拟合问题。

在训练过程中,学习率衰减系数设置为 0.0005。作者将过去 16 天的训练数据做成一个集合,并将其用于验证。销售量的变化和促销信息可以用来生成的季度和年度模型。

在最后若干个上千或上万的的小批次中,模型会稍微出现过拟合,所以结果会有一点波动。

为了解决过拟合问题,平滑短期波动,着重于长期的动态性和周期性趋势,作者用到移动平均法(Moving average)。在 5000 次小批量迭代之后,模型开始预测,之后每过 2000 次迭代产生预测。在特定的迭代之后,如下图所示,5 个模型的平均性能优于单个模型。为了将模型准确性进一步提高,最终,作者使用指数移动平均法(exponential moving average),利用局部交叉验证(local cross-validation)计算出平滑因子(smooth factor)。

该模型有很好的捕获时间序列数据规律的能力,因此很多特性都没有被使用。其中一些是单位产品销售额和促销信息。

  总结

企业面临一个明显的问题——市场是不可预测的。任何销售预测,无论你的分析条件多么严谨,都可能是完全错误的。如果市场状况保持相对不变,一种可靠的预测方法就是使用历史数据。作者的经验表明,卷积神经网络非常善于处理历史数据,捕捉季节性的趋势、周期和无规律的趋势,如下图所示。

他们描述了一种使用 CNN WaveNet 的方法,这是一个 sequence to sequence 架构,在销售预测方面,它是解决时间序列预测问题的有效方法(如下图)。

在未来,需要对层数更多的 CNN 进行更深入的研究,以完成更复杂的任务。为了训练更深的网络,需要大量的数据。在未来,对不同类型和领域的数据进行分析可能是另一个有趣的方向。此外,将不同技术融合起来也能获得相当的准确性。

比赛地址:

https://www.kaggle.com/c/favorita-grocery-sales-forecasting

论文地址:

https://arxiv.org/pdf/1803.04037.pdf

  福利时间

TensorFlow 是目前最活跃的深度学习框架。《TensorFlow 入门与实践》基于 1.3 版本,首先介绍了它的安装和基本用法,然后讨论了深度学习的基本概念,包括神经网络前向计算、损失函数、反向传播计算和优化函数等,接着介绍了卷积神经网络和循环神经网络,最后介绍了在大规模应用的场景下,如何实现分布式的深度学习训练。 

作者:罗冬日

定价:49.00元

页数:180

  • 讲解深度学习的原理和 TensorFlow 框架应用,并配有翔实的代码实例

  • 通过本书,你能快速上手搭建一个深度学习应用

  • 内容由浅入深,包含全连接网络、卷积神经网络和循环神经网络、分布式训练等 

  • 赵娟(博士后,范德堡大学医学中心 )、刘光远(Facebook资深工程师 )、张科(微软高级工程师) 联袂推荐

AI 研习社和图灵社区为大家准备了 3 本《TensorFlow 入门与实践》,留言点赞数前 3 的用户可以免!费!获!得!活动截止时间为 3 月 20 日(周二) 中午 12 点,欢迎大家踊(花)跃(式)留言~

限时拼团

3 大模块,30 个课时

高校数学系教授带班

100% 学员好评

与 100 + 同学一起夯实数学基础,走稳机器学习入门第一步!

▼▼▼






新人福利




关注 AI 研习社(okweiwu),回复  1  领取

【超过 1000G 神经网络 / AI / 大数据,教程,论文】



Kaggle 大神 Eureka 的高手进阶之路

登录查看更多
13

相关内容

时间序列(或称动态数列)是指将同一统计指标的数值按其发生的时间先后顺序排列而成的数列。时间序列分析的主要目的是根据已有的历史数据对未来进行预测。经济数据中大多数以时间序列的形式给出。根据观察时间的不同,时间序列中的时间可以是年份、季度、月份或其他任何时间形式。
【新书册】贝叶斯神经网络,41页pdf
专知会员服务
180+阅读 · 2020年6月3日
《人工智能2020:落地挑战与应对 》56页pdf
专知会员服务
197+阅读 · 2020年3月8日
金融时序预测中的深度学习方法:2005到2019
专知会员服务
168+阅读 · 2019年12月4日
干货 | 各大数据竞赛 Top 解决方案汇总
AI科技评论
12+阅读 · 2018年11月12日
机器学习预测世界杯:巴西夺冠
新智元
5+阅读 · 2018年6月11日
应对时间序列问题有何妙招(Kaggle比赛亚军)
七月在线实验室
32+阅读 · 2018年3月19日
Xgboost算法——Kaggle案例
R语言中文社区
13+阅读 · 2018年3月13日
数据科学与机器学习数据集
Datartisan数据工匠
8+阅读 · 2017年12月14日
Python机器学习Kaggle案例实战
炼数成金订阅号
12+阅读 · 2017年8月10日
视频 | 如何用 AI 预测股价?
AI研习社
5+阅读 · 2017年6月30日
Arxiv
3+阅读 · 2018年9月12日
Arxiv
9+阅读 · 2018年4月20日
Arxiv
9+阅读 · 2018年3月23日
Arxiv
4+阅读 · 2018年3月19日
Arxiv
5+阅读 · 2017年9月8日
VIP会员
相关资讯
干货 | 各大数据竞赛 Top 解决方案汇总
AI科技评论
12+阅读 · 2018年11月12日
机器学习预测世界杯:巴西夺冠
新智元
5+阅读 · 2018年6月11日
应对时间序列问题有何妙招(Kaggle比赛亚军)
七月在线实验室
32+阅读 · 2018年3月19日
Xgboost算法——Kaggle案例
R语言中文社区
13+阅读 · 2018年3月13日
数据科学与机器学习数据集
Datartisan数据工匠
8+阅读 · 2017年12月14日
Python机器学习Kaggle案例实战
炼数成金订阅号
12+阅读 · 2017年8月10日
视频 | 如何用 AI 预测股价?
AI研习社
5+阅读 · 2017年6月30日
Top
微信扫码咨询专知VIP会员