从LXMERT到VLMO:多模态预训练模型的演变史

2021 年 11 月 13 日 PaperWeekly


©作者 | 吉雅太
单位 | 清华大学
研究方向 | 多模态研究


自从 2018 年 BERT 在 NLP 领域声名鹊起,通过预训练在 n 多 NLP 任务中刷榜,成功发掘出了 transformer 的潜力,众多研究者就看到了多模态发展的新的机会——使用大量数据做预训练。

因为从 updn 模型开始,多模态这面普遍把图片提取成区域特征序列做后续处理,这样的话多模态是视觉和文本特征序列,NLP 中是文本特征序列,没什么本质差异,自然可以把预训练搬过来,一系列多模态 transformer 预训练的文章应运而生。

举个栗子:LXMERT、VLBERT、ViLBERT、UNITER、UNIMO、OSCAR、VisualBert、VLP、今年的 ViLT、VinVL、SOHO、SimVLM、METER 等等,以及没有使用预训练也达到很好效果的 MCAN。

按结构主要可以分为单流、双流,单流就是把不同模态特征序列先拼起来,通过 transformer 进行自注意力,双流就是先各个模态特征单独自注意力,再经过 transformer 交叉注意力。模型都是大同小异,或者预训练方法有些小的差别,最主要的趋势是预训练数据越来越大。

几个模型的预训练数据规模:



LXMERT


论文标题: 

LXMERT: Learning Cross-Modality Encoder Representations from Transformers 

论文地址: 

https://arxiv.org/abs/1908.07490


视觉特征使用 faster rcnn 提取区域化特征,文本提取 word-level 特征。预训练使用了五个:Language Task: Masked Cross-Modality LM;Vision Task: RoI-Feature Regression;Vision Task: Detected-Label Classification;Cross-Modality Matching;Image Question Answering (QA)。





ViLBERT


论文标题: 

ViLBERT: Pretraining Task-Agnostic Visiolinguistic Representations for Vision-and-Language Tasks

论文地址: 

https://arxiv.org/abs/1908.02265


结构基本和 LXMERT 一样,差别有以下几点:预训练时 vilbert 对 masked region 的预测是一个 object label 的概率分布,让它去接近区域特征提取器、即目标检测模型对该区域的预测 label 分布,损失为两个分布的 KL 散度;预测答案时输出头不同,vilbert 用 [IMG]、[CLS] 表征向量相乘后接分类器。 



UNITER


论文标题: 

UNITER: UNiversal Image-TExt Representation Learning

论文地址: 

https://arxiv.org/abs/1909.11740



结构和其他的一样,预训练任务采用了四个:MLM;MRM,把某区域特征换为全 0,然后去恢复它,mlm 和 mrm 不同时进行,mrm 分为三类,一个是回归特征向量,一个是分类任务,GT 是目标检测预测的 label,再一个是最小化预测的分类分数向量和目标检测预测的分数向量之间的 KL 散度;ITM,图文匹配;

WRA,为了提供视觉区域和文本单词更细粒度的对齐,通过使用 Optimal Transport,有效地计算从图片特征转换到文本特征的最小代价,这里没太看懂,大概就是 OT 可以学出一个矩阵 T,表示第 i 个区域、第 j 个文本是否是对应的,损失就是 ,这里的 c 是余弦距离。预训练策略是对每个 batch 随机采样一个任务来训练。



Oscar


论文标题: 

Oscar: Object-Semantics Aligned Pre-training for Vision-Language Tasks

论文地址: 

https://arxiv.org/abs/2004.06165




本文预训练使用的数据是 图片-文本-检测到的 object 标签 三元组,相当于用物体标签做图片和文本的锚点,减小两种模态之间的 gap,因为标签一方面和图片的某区域对应,另一方面它又是文本内容。

两个预训练任务:A Dictionary View:Masked Token Loss,即恢复被 mask 掉的文本 token,可能在句子里,也可能是 tags;A Modality View: Contrastive Loss,把 tags 序列以 50% 概率换掉,然后在输出进行二分类,判断此时的三元组是正确的还是被污染的。



SOHO


论文标题: 

Seeing Out of tHe bOx: End-to-End Pre-training for Vision-Language Representation Learning

论文地址: 

https://arxiv.org/abs/2104.03135


作者团队来自北京科技大学、Beijing Engineering Research Center of Industrial Spectrum Imaging、MSRA。本文提出模型 SOHO(see out of the box),用整张图片作为输入,用端到端的方式学习视觉语言表征,即无需提取区域化特征,所以叫做 out of the(bounding)box。由于不需做目标检测,推理速度快了十倍。

SOHO 通过便于跨模态理解的视觉字典(VD)提取全面而紧凑的图像特征。本文使用一个叫做 MVM(masked visual modeling)的预训练,会利用到 VD,其他预训练有 MLM、ITM(图文匹配)。但其实使用网格特征很多之前的工作都已经在用了。


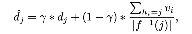
很常见的结构,比较新的是 visual dictionary 的提出,它的 motivation 是 CNN 提取出的图片的网格化特征并没有一个明确的含义(不像区域化特征对应了 object),VD 目的是弥补网格特征和语言 token 之间的 gap,比较巧妙,最终实现的目的是让属于同一类 object 的网格特征具有更高的语义相似性。

VD 是一个二维矩阵,由 k 个特征 d 组成,对于某一个视觉特征 v,计算最相似的 d(二范数距离最小),(然后用这个 d 替代 v,但我觉得这样的话会丧失一个物体的不同网格之间的特异性)。VD 的更新:先随机初始化,然后用移动平均法更新:


没太看懂它的公式,总之思路就是视觉字典中的特征 d 应该向目前输入的特征 v 学习,就是找到和 v 最相似的存储的特征后,再用 v 更新这个存储的特征,使得存储的特征越来越趋向于表征某一类物体。

预训练用了 masked language modeling、image-text matching,以及 masked visual modeing,MVM 是随机 mask 掉某个物体的所有网格,然后预测这些网格属于的类别(这里的类别指的是在 VD 中,每一个存储的特征给一个编号)。

实验在一些下游任务上都取得了较可观的效果。



ViLT


论文标题: 

ViLT: Vision-and-Language Transformer Without Convolution or Region Supervision

论文地址: 

https://arxiv.org/abs/2102.03334


本文 motivation 在于视觉特征不管用目标检测得到的区域特征,还是卷积得到网格化特征,都是很耗时的。


ViLT 提取图片特征的方法模仿 ViT,对每个 patch 做一个 linear projection,参数量骤降,具体做法就是把每个 patch( )展成一维,再映射到隐状态维度。模型初始化使用 ViT 的权重,结构也和 vit 相同(结构上与 bert 唯一的不同在于 LN 层的位置)。

预训练的方法有:image text matching(ITM)and masked language modeling(MLM)。另外使用了一种 word patch alignment(WPA)的方法计算文本子集和视觉子集的对齐分数(仿照 uniter)。

引入 WholeWord Masking 的方法,因为分词时有时会把一个词分开,这种方法是把属于一个词的所有分词都 mask 掉。使用 Image Augmentation 增强模型泛化性,在微调时,他们使用 RandAugment 里的所有方法,除了两个:颜色转换和裁剪。



SimVLM


论文标题: 

SimVLM: Simple Visual Language Model Pretraining with Weak Supervision

论文地址: 

https://arxiv.org/abs/2108.10904


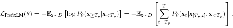
作者团队来自 CMU、谷歌、华盛顿大学。总体思路是用更大尺度弱监督数据做预训练,用一个语言建模的目标去进行端到端地训练。在相当多任务上达到 sota,尤其在 VQA2.0 上,达到了 80 的准确率,刷新认知,犹记得大四下做 VQA 时,准确率还停留在 70 出头,当时想上个 70 都很难,现在都卷到 80 了。。SimVLM 预训练更简单,不需要做目标检测(不需使用区域化特征)或辅助的损失(比如lxmert 里使用了 5 个预训练任务),但是获得了很好的表现。并且模型有很强的泛化能力,在零样本学习中同样表现良好。


simvlm 使用的结构还是 transformer,与之前的模型的一个区别在于预训练方法的不同,本文使用 prefixLM。之前的预训练一般用 MLM,建模双向的关系,或者生成式的 LM,逐词生成,建模单向的关系。prefixLM 算是两者的结合,即给定前半段文本,逐词生成后半段文本。


预训练的数据取用的是大尺度的图片-文本对(由于数据量很大,所以也含有较多噪声),数据来自 Scaling up visual and vision-language representation learning with noisy text supervision 。由于预训练任务对模态不敏感,所以也可以用纯文本加入预训练,弥补图片-文本对时包含的噪声。

实验

设计了三种变体:base、large、huge。具体超参数设置见原文。使用 AdamW 做优化器。在 5 个下游任务作了微调:VQA、Visual entailment(视觉文本关系判断)、视觉推理、image caption、多模态翻译。


零样本生成任务:不需微调训练。比如 image caption,在推理时,给一个前缀  prompt “a picture of”,就可以生成后续的描述。获得了和监督学习一样好的效果。还比如开放域 VQA 等。



METER


论文标题: 

An Empirical Study of Training End-to-End Vision-and-Language Transformers

论文地址: 

https://arxiv.org/abs/2111.02387




这篇文章就是在视觉、语言特征提取上用了最新的有效的基于 transformer 的模型比如 swin、roberta 等,最后在下游任务上,比如 VQA2.0,取得了仅次于 simvlm 的结果,文章强调了 meter 的预训练数据只有 4M,而 simvlm 用了 1.8B。

这篇文章做了大量的实验,在每一个环节都尝试了大量的方法,经典“a+b”,不过大部分这些预训练的文章感觉创新都不是很大。结构上,视觉特征用了 ViT,DeiT,Distilled-DeiT,CaiT,VOLO,BEiT,Swin Transformer,CLIP-ViT,文本用了 BERT,RoBERTa,ELECTRA,ALBERT,DeBERTa。融合模块用了双流和单流两种。整体结构有 Encoder-Only,Encoder-Decoder 两种。

预训练又试了很多:MLM、ITM、MIM(设计了两种 masked patch classification 方法)(mim 用处不大)。

实验

证明了文本 roberta、视觉 swin transformer、CLIP-ViT-224/16 效果较好。

发现的 trick:(1)随机初始化的权重设置学习率应大于有预训练的权重的学习率;(2)用插值等方法提高图像分辨率。

融合部分 co-attention 优于 merged attention。

预训练部分证明了 MLM 和 ITM 是有效的,MIM 起反作用。



VLMO


论文标题: 

VLMO: Unified Vision-Language Pre-Training with Mixture-of-Modality-Experts

论文地址: 

https://arxiv.org/abs/2111.02358


这篇论文也是 11 月份刚挂在 arxiv 上的多模态预训练模型 VLMO。作者团队来自微软。


本文作出的主要改进在于这几个方面:对 transformer 结构做了一些修改,将传统编码器的 FFN 分为三条路径(视觉、语言、跨模态),分别构成了 dual encoder 和 fusion encoder,可以分别适用于不同的下游任务,比如检索任务用 dual、需要跨模态语义信息的分类任务用 fusion;预训练任务分阶段进行,image-only、text-only、image-text。

作者认为多模态编码器可以分为两类,一类是像 CLIP、ALIGN 这样的 dual encoder,分别对图片、文本编码后,计算一个编码特征之间的相似度;一类是 fusion encoder,就是我们常见的这些,挖掘跨模态的语义信息。vlmo 做的事情主要就是把两类融合起来,这样可以适用的预训练、下游任务更广泛。

具体方法。图片表征和 vit、vilt 相同,分 patch,再展平做线性映射作为输入。(这种方法最大的优势就是快,但从 vlit 结果来看,准确率有点拉,这篇文章虽然也用这种方法,但是准确率很高)文本编码一样,联合特征就是拼接起来。模型结构比较灵活,要单独编码图片、文本时,就用 V-FFN、L-FFN,编码拼接起来的图片文本序列时,用 VL-FFN。daul 时,就用前两层;fusion 时,底层用前两个分别编码,上层用 VL-FFN 编码高级特征。

预训练。三个:Image-Text Contrast,一个 batch 的图片、文本作对比学习,对角线上是正样本对(这是一般的方法,但本文的方法分为图片对文本、文本对图片的相似度,没太看懂);MLM;ITM。预训练在三类数据上分阶段进行。实验也是常用的四个预训练数据集:coco、vg、sbu、gcc。


特别鸣谢

感谢 TCCI 天桥脑科学研究院对于 PaperWeekly 的支持。TCCI 关注大脑探知、大脑功能和大脑健康。


更多阅读




#投 稿 通 道#

 让你的文字被更多人看到 



如何才能让更多的优质内容以更短路径到达读者群体,缩短读者寻找优质内容的成本呢?答案就是:你不认识的人。


总有一些你不认识的人,知道你想知道的东西。PaperWeekly 或许可以成为一座桥梁,促使不同背景、不同方向的学者和学术灵感相互碰撞,迸发出更多的可能性。 


PaperWeekly 鼓励高校实验室或个人,在我们的平台上分享各类优质内容,可以是最新论文解读,也可以是学术热点剖析科研心得竞赛经验讲解等。我们的目的只有一个,让知识真正流动起来。


📝 稿件基本要求:

• 文章确系个人原创作品,未曾在公开渠道发表,如为其他平台已发表或待发表的文章,请明确标注 

• 稿件建议以 markdown 格式撰写,文中配图以附件形式发送,要求图片清晰,无版权问题

• PaperWeekly 尊重原作者署名权,并将为每篇被采纳的原创首发稿件,提供业内具有竞争力稿酬,具体依据文章阅读量和文章质量阶梯制结算


📬 投稿通道:

• 投稿邮箱:hr@paperweekly.site 

• 来稿请备注即时联系方式(微信),以便我们在稿件选用的第一时间联系作者

• 您也可以直接添加小编微信(pwbot02)快速投稿,备注:姓名-投稿


△长按添加PaperWeekly小编




🔍


现在,在「知乎」也能找到我们了

进入知乎首页搜索「PaperWeekly」

点击「关注」订阅我们的专栏吧



·

登录查看更多
3

相关内容

在搭建网络模型时,需要随机初始化参数,然后开始训练网络,不断调整直到网络的损失越来越小。在训练的过程中,一开始初始化的参数会不断变化。当参数训练到比较好的时候就可以将训练模型的参数保存下来,以便训练好的模型可以在下次执行类似任务时获得较好的结果。
【CVPR 2022】视觉提示调整(VPT),Vision Prompt Tuning
专知会员服务
32+阅读 · 2022年3月12日
【CVPR2022】高分辨率和多样化的视频-文本预训练模型
专知会员服务
10+阅读 · 2022年3月6日
【CVPR2022】三元组对比学习的视觉-语言预训练
专知会员服务
33+阅读 · 2022年3月3日
多模态预训练模型简述
专知会员服务
113+阅读 · 2021年4月27日
专知会员服务
65+阅读 · 2021年4月11日
【AAAI2021】知识增强的视觉-语言预训练技术 ERNIE-ViL
专知会员服务
26+阅读 · 2021年1月29日
【ICML2020】统一预训练伪掩码语言模型
专知会员服务
27+阅读 · 2020年7月23日
AAAI2022 预训练中的多模态信息融合与表征探究
RUC AI Box
3+阅读 · 2022年3月15日
SimVLM:弱监督简单视觉语言模型预训练
TensorFlow
0+阅读 · 2021年12月9日
多模态中的Prompt范式:从CLIP、CoOp到CLIP-adapter
PaperWeekly
5+阅读 · 2021年11月3日
一文读懂最强中文NLP预训练模型ERNIE
AINLP
25+阅读 · 2019年10月22日
站在BERT肩膀上的NLP新秀们(PART III)
AINLP
11+阅读 · 2019年6月18日
站在BERT肩膀上的NLP新秀们:XLMs、MASS和UNILM
PaperWeekly
16+阅读 · 2019年6月6日
国家自然科学基金
5+阅读 · 2013年12月31日
国家自然科学基金
0+阅读 · 2013年12月31日
国家自然科学基金
3+阅读 · 2012年12月31日
国家自然科学基金
0+阅读 · 2012年12月31日
国家自然科学基金
0+阅读 · 2012年12月31日
国家自然科学基金
0+阅读 · 2011年12月31日
国家自然科学基金
0+阅读 · 2011年12月31日
国家自然科学基金
0+阅读 · 2011年12月31日
国家自然科学基金
0+阅读 · 2009年12月31日
Arxiv
3+阅读 · 2022年4月19日
Arxiv
0+阅读 · 2022年4月18日
Vision-and-Language Pretrained Models: A Survey
Arxiv
3+阅读 · 2022年4月15日
Arxiv
17+阅读 · 2021年3月29日
VIP会员
相关VIP内容
【CVPR 2022】视觉提示调整(VPT),Vision Prompt Tuning
专知会员服务
32+阅读 · 2022年3月12日
【CVPR2022】高分辨率和多样化的视频-文本预训练模型
专知会员服务
10+阅读 · 2022年3月6日
【CVPR2022】三元组对比学习的视觉-语言预训练
专知会员服务
33+阅读 · 2022年3月3日
多模态预训练模型简述
专知会员服务
113+阅读 · 2021年4月27日
专知会员服务
65+阅读 · 2021年4月11日
【AAAI2021】知识增强的视觉-语言预训练技术 ERNIE-ViL
专知会员服务
26+阅读 · 2021年1月29日
【ICML2020】统一预训练伪掩码语言模型
专知会员服务
27+阅读 · 2020年7月23日
相关基金
国家自然科学基金
5+阅读 · 2013年12月31日
国家自然科学基金
0+阅读 · 2013年12月31日
国家自然科学基金
3+阅读 · 2012年12月31日
国家自然科学基金
0+阅读 · 2012年12月31日
国家自然科学基金
0+阅读 · 2012年12月31日
国家自然科学基金
0+阅读 · 2011年12月31日
国家自然科学基金
0+阅读 · 2011年12月31日
国家自然科学基金
0+阅读 · 2011年12月31日
国家自然科学基金
0+阅读 · 2009年12月31日
Top
微信扫码咨询专知VIP会员