f-GAN简介:GAN模型的生产车间

2020 年 2 月 15 日 PaperWeekly


©PaperWeekly 原创 · 作者|苏剑林

单位|追一科技

研究方向|NLP、神经网络

今天介绍一篇比较经典的工作,作者命名为 f-GAN,他在文章中给出了通过一般的 f 散度来构造一般的 GAN 的方案。可以毫不夸张地说,这论文就是一个 GAN 模型的“生产车间”,它一般化的囊括了很多 GAN 变种,并且可以启发我们快速地构建新的 GAN 变种(当然有没有价值是另一回事,但理论上是这样)。


论文链接:https://arxiv.org/abs/1606.00709

局部变分

整篇文章对 f 散度的处理事实上在机器学习中被称为“局部变分方法”,它是一种非常经典且有用的估算技巧。事实上本文将会花大部分篇幅介绍这种估算技巧在 f 散度中的应用结果。至于 GAN,只不过是这个结果的基本应用而已。


f散度


首先我们还是对 f 散度进行基本的介绍。所谓 f 散度,是 KL 散度的一般化:



注意,按照通用的约定写法,括号内是 p/q 而不是 q/p,大家不要自然而言地根据 KL 散度的形式以为是 q/p。

可以发现,这种形式能覆盖我们见过的很多概率分布之间的度量了,这里直接把论文中的表格搬进来(部分)。


凸函数

上面列举了一堆的分布度量以及对应的 f ,那么一个很自然的问题是这些 f 的共同特点是什么呢?  

答案是:  

1. 它们都是非负实数到实数的映射( );  

2. f(1)=0;  

3. 它们都是凸函数。  

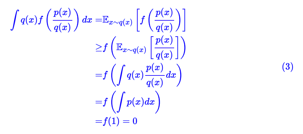
第一点是常规的,第二点  f(1)=0 保证了  ,那第三点凸函数是怎么理解呢? 其实它是凸函数性质的一个最基本的应用,因为凸函数有一个非常重要的性质(詹森不等式):


也就是“函数的平均大于平均的函数”,有些教程会直接将这个性质作为凸函数的定义。 而如果 f(u) 是光滑的函数,我们一般会通过二阶导数 f′′(u) 是否恒大于等于 0 来判断是否凸函数。

利用 (2),我们有:


也就是说,这三个条件保证了 f 散度是非负,而且当两个分布一模一样时 f 散度就为 0,这使得   可以用来简单地度量分布之间的差异性。 当然,f 散度原则上并没有保证 P≠Q 时  但通常我们会选择严格凸的 f(即 f′′(u) 恒大于 0),那么这时候可以保证 P≠Q 时 ,也就是说这时候有 

注: 即便如此,一般情况下   仍然不是满足公理化定义的“距离”,不过这个跟本文主题关系不大,这里只是顺便一提。


凸共轭
现在从比较数学的角度讨论一下凸函数,一般地,记凸函数的定义域为 D(对于本文来说,)。 选择任意一个点 ξ,我们求 y=f(u) 在 u=ξ 处的切线,结果是:

考虑两者的差函数:

所谓凸函数,直观理解,就是它的图像总在它的(任意一条)切线上方,因此对于凸函数来说下式恒成立。

整理成:

因为不等式是恒成立的,并且等号是有可能取到的,因此可以导出:

换新的记号,记 t=f′(ξ),并从中反解出 ξ(对于凸函数,这总能做到,读者可以自己尝试证明),然后记:

那么就有:

这里的 g(t) 就称为 f(u) 的共轭函数。留意花括号里边的式子,给定 f 后,g 也确定了,并且整个式子关于 u 是线性的。所以总的来说,我们做了这样的一件事情:

对一个凸函数给出了线性近似,并且通过最大化里边的参数就可以达到原来的值。

注意给定 u,我们都要最大化一次 t 才能得到尽可能接近 f(u) 的结果,否则随便代入一个 t,只能保证得到下界,而不能确保误差大小。所以它称为“局部变分方法”,因为要在每一个点(局部)处都要进行最大化(变分)。这样一来,我们可以理解为 t 实际上是 u 的函数,即:

 上述讨论过程实际上已经给出了计算凸共轭的方法,在这里我们直接给出上表对应的凸函数的共轭函数。

注:这里的 W 为朗伯 W 函数。
https://en.wikipedia.org/wiki/Lambert_W_function
f-GAN
由上述推导,我们就可以给出 f 散度的估算公式,并且进一步给出 f-GAN 的一般框架。 
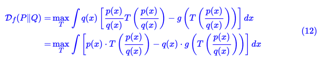
f散度估计

计算 f 散度有什么困难呢?根据定义 (1) ,我们同时需要知道两个概率分布 P , Q 才可以计算两者的 f 散度,但事实上在机器学习中很难做到这一点,有时我们最多只知道其中一个概率分布的解析形式,另外一个分布只有采样出来的样本,甚至很多情况下我们两个分布都不知道,只有对应的样本(也就是说要比较两批样本之间的相似性),所以就不能直接根据 (1) 来计算 f 散度了。 

结合 (1) 和 (11) ,我们得到:

将   记为整体 T(x),那么就有:

式 (13) 就是估计 f 散度的基础公式了。意思就是说:分别从两个分布中采样,然后分别计算 T(x) 和 g(T(x)) 的平均值,优化 T,让它们的差尽可能地大,最终的结果就是f散度的近似值了。显然 T(x) 可以用足够复杂的神经网络拟合,我们只需要优化神经网络的参数。

注意在对凸函数的讨论中,我们在最大化目标的时候,对 T 的值域是有限制的。因此,在 T 的最后一层,我们必须设计适当的激活函数,使得 T 满足要求的值域。当然激活函数的选择不是唯一的,参考的激活函数已经列举在前表。注意,尽管理论上激活函数的选取是任意的,但是为了优化上的容易,应该遵循几个原则:

1. 对应的定义域为 R,对应的值域为要求值域(边界点可以忽略);
2. 最好选择全局光滑的函数,不要简单地截断,例如要求值域为 R+ 的话,不要直接用 relu(x),可以考虑的是   或者 
3. 注意式 (13) 的第二项包含了 g(T(x)),也就是 g 和 T 的复合计算,因此选择激活函数时,最好使得它与 g 的复合运算比较简单。
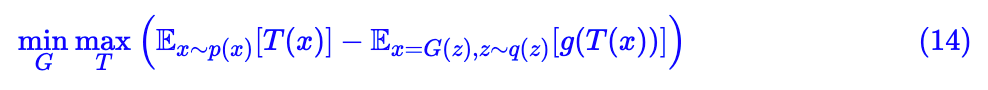
GAN批发
好了,说了那么久,几乎都已经到文章结尾了,似乎还没有正式说到 GAN。事实上,GAN 可以算是整篇文章的副产物而已。 

GAN 希望训练一个生成器,将高斯分布映射到我们所需要的数据集分布,那就需要比较两个分布之间的差异了,经过前面的过程,其实就很简单了,随便找一种 f 散度都可以了。然后用式 (13) 对 f 散度进行估计,估计完之后,我们就有 f 散度的模型了,这时候生成器不是希望缩小分布的差异吗?最小化 f 散度就行了。所以写成一个表达式就是:

或者反过来:

就这样完了。
需要举几个例子?好吧,先用 JS 散度看看。把所有东西式子一步步代进去,你会发现最终结果是(略去了 log2 的常数项):

其中 D 用   激活。 这就是最原始版本的 GAN 了。
用 Hellinger 距离试试?结果是:

这里的 D(x) 是线性激活。这个貌似还没有命名?不过论文中已经对它做过实验了。
那用 KL 散度呢?因为 KL 散度是不对称的,所以有两个结果,分别为:

或:

这里的 D(x) 也是线性激活。
好吧,不再举例了。其实这些 f 散度本质上都差不多,看不到效果差别有多大。不过可以注意到,JS 散度和 Hellinger 距离都是对称的、有界的,这是一个非常好的性质,以后我们会用到。
总结

说白了,本文主要目的还是介绍 f 散度及其局部变分估算而已。所以大部分还是理论文字,GAN 只占一小部分。

当然,经过一番折腾,确实可以达到“GAN 生产车间”的结果(取决于你有多少种f散度),这些新折腾出来的 GAN 可能并不像我们想象中的 GAN,但它们确实在优化 f 散度。不过,以往标准 GAN(对应 JS 散度)有的问题,其实 f 散度照样会有,因此 f-GAN 这个工作更大的价值在于“统一”,从生成模型的角度,并没有什么突破。




点击以下标题查看更多往期内容: 





#投 稿 通 道#

 让你的论文被更多人看到 



如何才能让更多的优质内容以更短路径到达读者群体,缩短读者寻找优质内容的成本呢?答案就是:你不认识的人。


总有一些你不认识的人,知道你想知道的东西。PaperWeekly 或许可以成为一座桥梁,促使不同背景、不同方向的学者和学术灵感相互碰撞,迸发出更多的可能性。 


PaperWeekly 鼓励高校实验室或个人,在我们的平台上分享各类优质内容,可以是最新论文解读,也可以是学习心得技术干货。我们的目的只有一个,让知识真正流动起来。


📝 来稿标准:

• 稿件确系个人原创作品,来稿需注明作者个人信息(姓名+学校/工作单位+学历/职位+研究方向) 

• 如果文章并非首发,请在投稿时提醒并附上所有已发布链接 

• PaperWeekly 默认每篇文章都是首发,均会添加“原创”标志


📬 投稿邮箱:

• 投稿邮箱:hr@paperweekly.site 

• 所有文章配图,请单独在附件中发送 

• 请留下即时联系方式(微信或手机),以便我们在编辑发布时和作者沟通




🔍


现在,在「知乎」也能找到我们了

进入知乎首页搜索「PaperWeekly」

点击「关注」订阅我们的专栏吧



关于PaperWeekly


PaperWeekly 是一个推荐、解读、讨论、报道人工智能前沿论文成果的学术平台。如果你研究或从事 AI 领域,欢迎在公众号后台点击「交流群」,小助手将把你带入 PaperWeekly 的交流群里。


▽ 点击 | 阅读原文 | 查看作者博客

登录查看更多
0

相关内容

最新《生成式对抗网络》简介,25页ppt
专知会员服务
176+阅读 · 2020年6月28日
专知会员服务
109+阅读 · 2020年5月21日
【CVPR2020】MSG-GAN:用于稳定图像合成的多尺度梯度GAN
专知会员服务
29+阅读 · 2020年4月6日
GANs最新综述论文: 生成式对抗网络及其变种如何有用
专知会员服务
72+阅读 · 2019年10月19日
生成式对抗网络GAN异常检测
专知会员服务
118+阅读 · 2019年10月13日
GAN新书《生成式深度学习》,Generative Deep Learning,379页pdf
专知会员服务
208+阅读 · 2019年9月30日
GAN 为什么需要如此多的噪声?
AI科技评论
14+阅读 · 2020年3月17日
从动力学角度看优化算法:GAN的第三个阶段
PaperWeekly
11+阅读 · 2019年5月13日
万字综述之生成对抗网络(GAN)
PaperWeekly
43+阅读 · 2019年3月19日
【原理】学懂GAN的数学原理,让它不再神秘
GAN生成式对抗网络
3+阅读 · 2017年11月26日
在TensorFlow中对比两大生成模型:VAE与GAN
机器之心
12+阅读 · 2017年10月23日
GAN的数学原理
算法与数学之美
16+阅读 · 2017年9月2日
【原理】GAN的数学原理
GAN生成式对抗网络
8+阅读 · 2017年8月30日
GAN | GAN介绍(2)
中国科学院网络数据重点实验室
44+阅读 · 2017年8月4日
Arxiv
8+阅读 · 2018年5月21日
Arxiv
4+阅读 · 2018年3月23日
Arxiv
5+阅读 · 2017年12月14日
VIP会员
相关资讯
GAN 为什么需要如此多的噪声?
AI科技评论
14+阅读 · 2020年3月17日
从动力学角度看优化算法:GAN的第三个阶段
PaperWeekly
11+阅读 · 2019年5月13日
万字综述之生成对抗网络(GAN)
PaperWeekly
43+阅读 · 2019年3月19日
【原理】学懂GAN的数学原理,让它不再神秘
GAN生成式对抗网络
3+阅读 · 2017年11月26日
在TensorFlow中对比两大生成模型:VAE与GAN
机器之心
12+阅读 · 2017年10月23日
GAN的数学原理
算法与数学之美
16+阅读 · 2017年9月2日
【原理】GAN的数学原理
GAN生成式对抗网络
8+阅读 · 2017年8月30日
GAN | GAN介绍(2)
中国科学院网络数据重点实验室
44+阅读 · 2017年8月4日
Top
微信扫码咨询专知VIP会员