电影院今天复工,应该如何排座位?这是个数学家研究了几百年的问题

2020 年 7 月 20 日 量子位
晓查 编译整理
量子位 报道 | 公众号 QbitAI

今天,国内电影院在停业将近半年后终于复工了。为了保持合理的隔离距离,国家电影局规定每场电影的上座率不得超过30%。

那么问题来了:

如果有一间影厅要复工,在保持安全距离的情况下,如何才能尽可能多的安排观影人群?

这个问题,在当初办公室复工的时候也同样适用。

我们先来把这个问题转化成一个几何问题:

把每个人所在的位置看做圆心,隔离距离的一半(也就是3英尺)为半径画圆。怎样才能让这些圆排列得最密。

这个问题在现实中似乎有个最佳答案,我们可以买来一箱汽水,看看厂商怎么排列一罐罐圆形的汽水的。

上面可乐罐的这种排列方法叫做“正方形堆积”,因为将每个圆的圆心连接起来是正方形。

我们来算算这种饮料包装究竟能占据多少比例的空间。

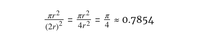
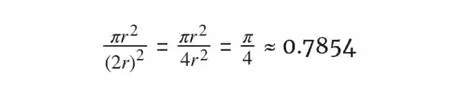
假设上图中圆的半径是r,那么正方形的边长就是2r。圆的面积是πr2,正方形的面积是(2r)2

那么这种排列方法所占的面积比例为:

也就是说平面有78.54%的面积被圆覆盖,这是正方形堆积的密度。难道这就是效率最高的排列方式了吗?

不难发现,其实还有一种排得更紧密的方法,将一排的可乐滑动到另一排的缝隙中,这种排列方式被叫做“六角堆积”。

这样圆之间的缝隙更小,排列的密度也更高了。实际情况怎样,我们来算算。

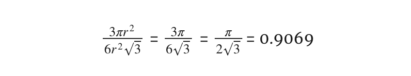
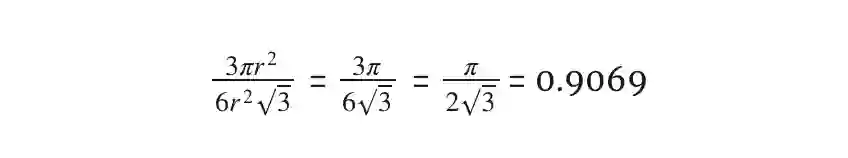
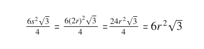
每个六角形内都是有1个整圆和6个1/3圆,所以相当于有3个整圆。

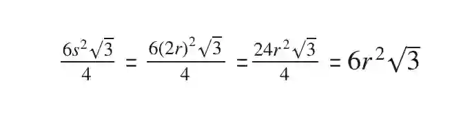
假设圆的半径是r,六边形边长是s=2r,根据六边形面积计算公式:


而一个六边形内共有3个整圆,所以圆占据的面积是:


可以看到,填充率一下子提升到了90.69%,六角比正方形排列的效率更高。实际上也没有其他方法比六角排列的填充率更高了。

但这个显而易见的结论要获得严格的数学证明却非易事,包括拉格朗日、高斯等数学大神为之付出大量努力,直到1940年代,这个问题才得到严格证明。

既然六角排列的效率更高,为何饮料要采用正方形排列?那是因为饮料外包装箱一般是方形,如果用六角排列,反而无法照顾到边角。

倘若边角占据的面积较小,那么90.69%相比78.54%带来的提升还是能把边角浪费的空间弥补回来。

到了三维空间,情况更为复杂。如何让球体排列的密度更高,需要一层一层来。

第一层,我们用六角堆积的方式占据尽可能多的空间:

每3个球体之间都有1个孔隙,按照二维空间的方式,把第二层球体插入到孔隙中。但是我们不可能把每个孔隙都放上球体,因为相邻孔隙之间的距离小于球体的直径,我们只能间隔插入。就像下面这样:


接下来第三层怎么排列,有两种选择:

一种方式是堆积六角堆积(HCP),就是填补如下的孔洞:

这样就相当于第三层球位置与第一层一样。从上面俯看下去,第一层和第三层重合,也就是ABABAB……的排列方式。

另一种是面心立方(FCC),填充以下位置:

从上面俯看下去,一二三层互不重合,也就是ABCABC……的排列方式。

如果你小时候垒过玻璃球,那么一般都会垒成面心立方。

巧合的是,两种排列方式占据的空间比例都是

虽然填充空间的比例一样,但这在物理和化学中却是两种完全不同的排列方式。

如果把球体看做是原子,那么怎么排列就决定了这种物质的晶体结构,也会影响其物理化学性质。

六角堆积和面心立方是不是三维空间中最密集的堆积方式呢?

早在1611年,著名天文学家开普勒就提出了这种猜想,但是直到1998年,才由数学家托马斯·黑尔斯(Thomas Hales)提供完整的证明。

至此,2维、3维的情况都已经完全解决,但是在维度更高的空间里,哪种方式的排列密度最高,数学家们一直没有解决,即使只是到4维。

直到2016年传来了一个好消息,8维和24维空间的最密堆积问题已经被一位乌克兰女数学家Maryna Viazovska证明。

为何偏偏是这两种维数?因为随着维度的增加,n维球与它的外切立方体的体积之比也越来越小。这一点有个直观的理解方法:

n维立方体有2^n个角,而边角是球体填充不到的地方,边角数会随着维度增加,所以球体填充率降低也在意料之中。

8维和24维中的球体收缩得恰到好处,让球体之间的的孔隙正好能被另一相同同半径球体填充,从而获得了一种特殊的超密堆积。

现在科学家已经解决了1、2、3、8、24维的最密堆积情况,还有更多的维度等着他们去探索。

参考链接:
https://www.quantamagazine.org/the-math-of-social-distancing-is-a-lesson-in-geometry-20200713/


本文系网易新闻•网易号特色内容激励计划签约账号【量子位】原创内容,未经账号授权,禁止随意转载。

人类未来20年最重要的航天任务——登陆火星,已经启动!这场征服星辰大海的征程,将彻底改变我们的未来。


什么是火星探索,为什么要远征未来,如何培养科学探索的精神?


中国空间探测技术首席科学传播专家庞之浩,最新推出讲给孩子的火星课《登陆火星》,在其中深入浅出地讲解火星探索史+航天知识,回答了你还不知道的种种好奇疑问。


现在这一精心打磨的课程正在超值预售中,定价99元,目前限时半价,仅49元。让孩子爱上探索宇宙,培养科学思维,现在就开始吧~

给孩子的火星课
限时半价中👇


量子位 QbitAI · 头条号签约作者


վ'ᴗ' ի 追踪AI技术和产品新动态


喜欢就点「在看」吧 !


登录查看更多
0

相关内容

数学家是以研究或应用数学为职业的人。著名数学家有阿基米德、欧拉、高斯、伽罗华、黎曼、格罗腾迪克等。
专知会员服务
203+阅读 · 2020年9月1日
【普林斯顿】持续视角下的机器学习,31页ppt及视频
专知会员服务
24+阅读 · 2020年8月19日
【纽约大学】最新《离散数学》笔记,451页pdf
专知会员服务
131+阅读 · 2020年5月26日
再谈变分自编码器VAE:从贝叶斯观点出发
PaperWeekly
13+阅读 · 2018年4月2日
如何轻松解锁神经网络的数学姿势
ImportNew
6+阅读 · 2018年1月4日
VIP会员
Top
微信扫码咨询专知VIP会员