干货|【西瓜书】周志华《机器学习》学习笔记与习题探讨(二)②

2017 年 9 月 25 日 机器学习研究会

西瓜书系列笔记

干货|Coursera吴恩达《神经网络与深度学习》课程笔记(1)-- 深度学习概述

干货|Coursera吴恩达《神经网络与深度学习》课程笔记(2)-- 神经网络基础之逻辑回归



1
性能度量



首先重温一遍理想。

理想:通过评估学习器的泛化误差,选出泛化误差最小的学习器。


那么,上一节通过留出法、交叉验证法和自助法得到了可以表现泛化误差的测试误差后,如何选出表现最佳的学习器呢?这就需要对泛化能力有一个评价标准。简单举个例子就是:得到了值,带入标准之中,选出最终结果。


【性能度量】衡量泛化能力的评价标准。

但实际上的性能度量,还要反映任务需求。在对比不同学习器的能力时,使用不同的性能度量往往会导致不同的评判结果。什么样的学习器是好的,不仅取决于算法数据,还决定于任务需求


预测任务中,评估学习器f的性能,需要将学习器的预测结果f(x)同真实标记y进行比较。


所以现在主要讨论的是监督学习。



如图是监督学习的性能度量,其中回归任务的性能度量一般采用均方误差,而分类任务的性能度量多种多样。




1、回归任务的性能度量——均方误差:



公式如下:


可知,均方误差是m个离散样本的方差的平均数。

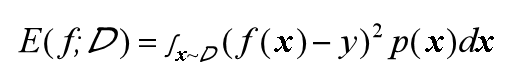
但对于数据分布Ɗ概率密度p(·),均方误差的计算公式如下:


可知,此时样本可以看做非离散样本而是连续样本


性能度量方法:通常,均方误差大的模型性能差,均方误差小的模型性能好。

均方误差反应的是回归任务模型判断正确与否的能力。




2、分类任务的性能度量1——错误率与精度



错误率:分类错误的样本占样本总数的比例。

精度:分类正确的样本占样本总数的比例。


错误率是m个离散样本指数函数和的平均数。



精度与错误率相同,也是m个离散样本指数函数和的平均数,但两者的指数函数不同。

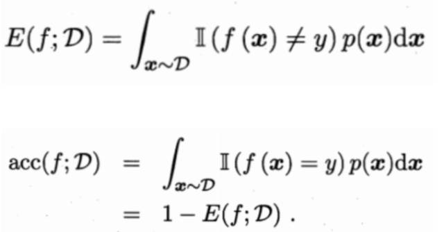
但对于数据分布Ɗ概率密度p(·),错误率和精度的计算公式如下:



可知,此时样本可以看做非离散样本而是连续样本


性能度量方法:通常,错误率低精度高的模型性能好,错误率高精度低的模型性能差。

错误率与精度反应的是分类任务模型判断正确与否的能力。




3、分类任务的性能度量2——查准率、查全率与F1




当需要反应的不是判断正确与否的能力,而是正例、反例查出的准确率时,就不能用错误率和精度作为判断分类任务模型的性能度量了。


判断得是否正确,在二分类任务中有四种表现形式,还拿西瓜🍉举例:

好西瓜判断成好西瓜,判断正确①;好西瓜判断成坏西瓜,判断错误②;

坏西瓜判断成好西瓜,判断错误③;坏西瓜判断成坏西瓜,判断正确④;


其中,①和④都是判断正确,②和③都是判断错误。错误率和精度是①和④、②和③的综合判断,只有判断正确与否的概念,没有正例反例的区别。


所以要引入查准率(P)、查全率(R)的概念。

下表是二分类结果混淆矩阵,将判断结果分为四个类别,真正例(TP)、假正例(FP)、假反例(FN)、真反例(TN)。



查准率:【真正例样本数】与【预测结果是正例的样本数】的比值。

查全率:【真正例样本数】与【真实情况是正例的样本数】的比值。


查准率是在讲,挑出的好瓜里头,有多少真的是好瓜。所以当希望选出的好瓜比例尽可能高的时候,查准率就要高。(当瓜农面对零售时,会逐个判断哪一个是好瓜,然后对每一个顾客说:“保校保甜,不甜不要钱。”如果瓜农的查准率不高,他要赔死了。)


查全率是在讲,挑出来真的好瓜,占总共好瓜个数的多少。所以当希望尽可能多的把好瓜选出来的时候,查全率就要高。(当瓜农面对批发时,就不要求每个都甜了,尽可能多的把好瓜都挑出来就行了,不然就浪费了好瓜。)


一般来说,查准率高时,查全率偏低;查全率高时,查准率偏低。通常只在一些简单任务中,查准率和查全率都偏高。


性能度量的方法:1、直接观察数值;2、建立P-R图。

直接观察数值已经介绍过了,现在介绍P-R图。


P-R图,即以查全率做横轴,查准率做纵轴的平面示意图,通过P-R曲线,来综合判断模型的性能。


但值得一提的是,同一个模型,在同一个正例判断标准下,得到的查准率和查全率只有一个,也就是说,在图中,只有一个点,而不是一条曲线。


那么要得到一条曲线,就需要不同的正例判断标准。

在判断西瓜好坏的时候,我们不是单纯的将西瓜分成好坏两堆,左边一堆好瓜,右边一堆坏瓜。



而是对预测结果进行排序,排在前面的是学习器认为最可能是正例的样本,排在最后面的是最不可能的样本。


现在按顺序,依次将每一个样本划分为正例进行预测,就得到了多组查准率和查全率的值了。


多组值就是多个点,样本充足的时候,可以连成一条平滑的曲线,即为P-R曲线。



得到P-R图后,如何判断哪个学习器性能更佳?


当曲线没有交叉的时候:外侧曲线的学习器性能优于内侧;


当曲线有交叉的时候

第一种方法是比较曲线下面积,但值不太容易估算;


第二种方法是比较两条曲线的平衡点,平衡点是“查准率=查全率”时的取值,在图中表示为曲线和对角线的交点。平衡点在外侧的曲线的学习器性能优于内侧。


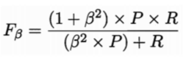
第三种方法是F1度量和Fβ度量。F1是基于查准率与查全率的调和平均定义的,Fβ则是加权调和平均。



通过比较两条曲线的F1,来判断哪个学习器性能更好。


但在不同的应用中,对查准率和查全率的重视程度不同,需要根据其重要性,进行加权处理,故而有了Fβ度量。β是查全率对查准率的相对重要性。


β>1时:查全率有更大影响;β=1时:影响相同,退化成F1度量;β<1时:查准率有更大影响。



以上是一个二分类混淆矩阵的查准率和查全率判断。


但实际情况中,一个分类学习器往往并不只有一个二分类混淆矩阵,当多次训练/测试或是在多个数据集上进行训练/测试的时候,就会出现多个二分类混淆矩阵。当需要综合考虑估计算法的“全局性能”时,有两种解决办法。


:在n个混淆矩阵中分别计算出查准率查全率,再计算均值,就得到“宏查准率”、“宏查全率”和“宏F1”。

:先将n个混淆矩阵的对应元素进行平均,再计算查准率查全率和F1,就得到“微查准率”、“微查全率”和“微F1”。



4、分类任务的性能度量3——ROC与AUC



与P-R图相同,ROC图通过对测试样本设置不同的阈值并与预测值比较,划分出正例和反例。再计算出真正例率和假正例率。P-R图逐个将样本作为正例,ROC图逐次与阈值进行比较后划分正例。本质上,都是将测试样本进行排序。


真正例率(TPR):【真正例样本数】与【真实情况是正例的样本数】的比值。(查全率)

假正例率(FPR):【假正例样本数】与【真实情况是反例的样本数】的比值。


ROC图全名“受试者工作特征”,以真正例率为纵轴,以假正例率为横轴。


转自:机器学习算法与自然语言处理


完整内容请点击“阅读原文”

登录查看更多
1

相关内容

【2020新书】监督机器学习,156页pdf,剑桥大学出版社
专知会员服务
154+阅读 · 2020年6月27日
【纽约大学】最新《离散数学》笔记,451页pdf
专知会员服务
131+阅读 · 2020年5月26日
【UMD开放书】机器学习课程书册,19章227页pdf,带你学习ML
【机器学习课程】机器学习中的常识性问题
专知会员服务
75+阅读 · 2019年12月2日
赶紧收藏!西瓜书《机器学习》完整笔记来了
大数据技术
30+阅读 · 2019年8月24日
详解常见的损失函数
七月在线实验室
20+阅读 · 2018年7月12日
机器学习者都应该知道的五种损失函数!
数盟
5+阅读 · 2018年6月21日
已删除
将门创投
4+阅读 · 2018年6月12日
【干货】监督学习与无监督学习简介
专知
14+阅读 · 2018年4月4日
资源 |​ 史上最全机器学习笔记
AI100
9+阅读 · 2017年11月21日
推荐|一份不错的机器学习笔记!
全球人工智能
22+阅读 · 2017年11月20日
干货|掌握机器学习数学基础之优化[1](重点知识)
机器学习研究会
10+阅读 · 2017年11月19日
课程笔记|吴恩达Coursera机器学习 Week1 笔记-机器学习基础
机器学习研究会
4+阅读 · 2017年10月18日
机器学习(13)之最大熵模型详解
机器学习算法与Python学习
7+阅读 · 2017年8月24日
Arxiv
13+阅读 · 2019年4月9日
Logically-Constrained Reinforcement Learning
Arxiv
3+阅读 · 2018年12月6日
Meta-Learning with Latent Embedding Optimization
Arxiv
6+阅读 · 2018年7月16日
Arxiv
5+阅读 · 2018年5月1日
Arxiv
4+阅读 · 2017年7月25日
Arxiv
3+阅读 · 2017年7月6日
VIP会员
相关资讯
赶紧收藏!西瓜书《机器学习》完整笔记来了
大数据技术
30+阅读 · 2019年8月24日
详解常见的损失函数
七月在线实验室
20+阅读 · 2018年7月12日
机器学习者都应该知道的五种损失函数!
数盟
5+阅读 · 2018年6月21日
已删除
将门创投
4+阅读 · 2018年6月12日
【干货】监督学习与无监督学习简介
专知
14+阅读 · 2018年4月4日
资源 |​ 史上最全机器学习笔记
AI100
9+阅读 · 2017年11月21日
推荐|一份不错的机器学习笔记!
全球人工智能
22+阅读 · 2017年11月20日
干货|掌握机器学习数学基础之优化[1](重点知识)
机器学习研究会
10+阅读 · 2017年11月19日
课程笔记|吴恩达Coursera机器学习 Week1 笔记-机器学习基础
机器学习研究会
4+阅读 · 2017年10月18日
机器学习(13)之最大熵模型详解
机器学习算法与Python学习
7+阅读 · 2017年8月24日
Top
微信扫码咨询专知VIP会员