CMU 提出全新 GAN 结构,GAN 自此迈入预训练大军!

2022 年 6 月 13 日 夕小瑶的卖萌屋

文|林锐

众所周知,现在 GAN 的应用是越来越宽泛了,尤其是在 CV 领域。不仅可以调个接口生成新头像图一乐,也可以用 GAN 做数据增强让模型更加健壮。

▲嘉然你带我走吧嘉然!

在CV领域,不像分类、目标检测等任务可以使用预训练好的backbone来加速训练、提升精度,GAN的训练基本上是从头开始!!因为GAN的判别器好坏直接影响生成器的梯度,判别器太好将导致生成器的梯度消失,网络就没法训练了。

本文的作者为了打破这种局限性,今年 CVPR'2022的一篇Oral 引入了叫做 Vision-aided GAN(以下简称VAG)的全新结构,使得 GAN 也能够采用预训练+精调的范式。此外,VAG 只用1%的训练数据就达到了与StyleGAN相匹配的水准,使得训练难度显著降低。

论文题目:
Ensembling Off-the-shelf Models for GAN Training

论文链接:
https://arxiv.org/abs/2112.09130

Github:
https://github.com/nupurkmr9/vision-aided-gan

背景

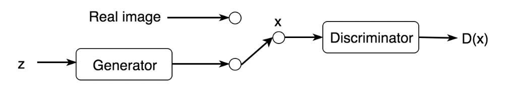
首先简要介绍GAN网络的训练模式。   

▲图一:GAN的基本结构

2014年,Goodfellow发明了GAN网络,GAN的训练过程分为:

1.先固定住生成器,接着训练判别器,使这个判别器能够分辨生成的数据和真实的数据。

2.一定step后固定住判别器,接着训练生成器,使生成器生成的图片骗过判别器。一定step后继续此循环,直到达到纳什平衡的状态。

为什么不一开始就用一个预训练的最优判别器呢? 因为判别器太强将导致梯度消失,这也就是为什么GAN网络一般是从头开始训练。

本文的作者提出的 VAG 结构不但克服了GAN网络训练中常见的过拟合的问题,还避免了因判别器过强引发的梯度消失。因此VAG能使用预训练过的大型模型作为判别器来提高训练精度、简化训练过程,可谓神奇。下图为VAG模型结构图。

▲图二:VAG结构图

实现方法

1.训练思路

这张结构图表达的训练思想非常简单,首先搭建好一个的预训练模型库,然后从模型库中取出若干个模型再接上分类头组成的新判别器,再跟初始GAN网络的判别器并联。因此模型的训练Loss就变成了下面的样子。

也就是说并联的判别器会跟原始判别器一起去训练,由于原始的判别器不够强,所以能一定程度上避免梯度消失,又因为新的判别器是用大数据集训练好的模型,其中蕴含的丰富特征也让GAN网络不至于在某个数据集上过拟合。

2.预训练模型选择

细心的同学也能发现,loss中存在一个系数K,这个K是指在总量为N的预训练模型库中选择K个模型加入到训练中来,这个选择也不是乱选的啊,那必须是要有备而来。

作者先做了K=1情况下的GAN训练实验,在模型库中选一个模型,固定住参数,然后接上一个可训练的分类头,去判断传导进网络的图片是真的还是假的。这个二分类的结果称为Linear Probe Accuracy(以下简称LPA),并比较了不同LPA的模型和最终GAN网络训练评价指标FID的相关性,下图为实验结果。

▲图三:LPA和FID的关系

由上图可知,LPA和FID基本上称线性关系,Acc越高,FID也越好。那么当K不等于1的情况下要怎么样把更多的模型加到训练里去呢?作者采用K-progressive model selection策略来逐步添加模型到原始结构里,并在这个基础上达到了SOTA的效果。如何挑选要添加的模型后面实验有进一步解释。

实验

1.模型有效性

首先下图显式地展现了在GAN网络中引入预训练模型后,只需要用极少量的数据就能达到SOTA的效果,用100%的数据训练实现了新的SOTA。

▲图四:VAG的训练结果

2.K-progressive Model Selection的有效性

首先从下图中可以看出来,逐步把预训练的模型添加到网络训练中后,GAN的FID在大部分数据集中都能得到显著的提升。说明增加预训练模型的方式是有效的,作者进一步分析了如何去做Model Selection。

▲图五:K-progressive Model Selection策略有效性分析

下图展现了3种不同添加model的方式,第一行是逐渐加入在此数据集下LPA最好、次好的模型,第二行是随机选择,第三行是选择最差、次差的模型,很明显逐渐加入最好的那一批模型最终的训练效果最好。

▲图六:不同Selection方式的有效性分析

总结

作者提出了Vision-aided GAN的结构,率先引入了预训练的模型辅助GAN训练并取得了新的SOTA,为之后的GAN网络训练提供了新的范式。

小编认为这篇文章的思路很直观,但是在实验中如何平衡新引入的GAN判别器Loss和原始判别器Loss是一个很难的抉择问题,因为在训练过程中,由于原始判别器Loss始终处于一个主导地位,很有可能模型直接摆烂完全不优化第二部分判别器的Loss,所以能把这种方法做work的才是真正的大佬呀。

后台回复关键词【入群

加入卖萌屋NLP、CV、搜推广与求职讨论群

后台回复关键词【顶会

获取ACL、CIKM等各大顶会论文集!

登录查看更多
1

相关内容

视觉语言多模态预训练综述
专知会员服务
122+阅读 · 2022年7月11日
【CVPR2022】基于知识蒸馏的高效预训练
专知会员服务
32+阅读 · 2022年4月23日
专知会员服务
22+阅读 · 2021年8月10日
【CVPR2021】GAN人脸预训练模型
专知会员服务
24+阅读 · 2021年4月10日
最新《生成式对抗网络GAN逆转》综述论文,22页pdf
专知会员服务
40+阅读 · 2021年1月19日
模型压缩究竟在做什么?我们真的需要模型压缩么?
专知会员服务
28+阅读 · 2020年1月16日
综述:基于GAN的图像翻译模型盘点
PaperWeekly
13+阅读 · 2019年9月2日
GAN毕业手册:从零到一构建自己的GAN模型
AI前线
14+阅读 · 2019年5月15日
万字综述之生成对抗网络(GAN)
PaperWeekly
43+阅读 · 2019年3月19日
BERT-预训练的强大
微信AI
60+阅读 · 2019年3月7日
GAN猫的脸
机械鸡
11+阅读 · 2017年7月8日
GAN | GAN介绍(2)
KingsGarden
27+阅读 · 2017年3月14日
国家自然科学基金
0+阅读 · 2015年12月31日
国家自然科学基金
0+阅读 · 2015年12月31日
国家自然科学基金
3+阅读 · 2014年12月31日
国家自然科学基金
0+阅读 · 2014年12月31日
国家自然科学基金
0+阅读 · 2013年12月31日
国家自然科学基金
0+阅读 · 2013年12月31日
国家自然科学基金
0+阅读 · 2013年12月31日
国家自然科学基金
0+阅读 · 2012年12月31日
国家自然科学基金
0+阅读 · 2011年12月31日
国家自然科学基金
0+阅读 · 2009年12月31日
Arxiv
0+阅读 · 2022年7月28日
Arxiv
0+阅读 · 2022年7月27日
Arxiv
19+阅读 · 2021年4月8日
Arxiv
11+阅读 · 2018年3月23日
Arxiv
10+阅读 · 2018年2月17日
VIP会员
相关VIP内容
视觉语言多模态预训练综述
专知会员服务
122+阅读 · 2022年7月11日
【CVPR2022】基于知识蒸馏的高效预训练
专知会员服务
32+阅读 · 2022年4月23日
专知会员服务
22+阅读 · 2021年8月10日
【CVPR2021】GAN人脸预训练模型
专知会员服务
24+阅读 · 2021年4月10日
最新《生成式对抗网络GAN逆转》综述论文,22页pdf
专知会员服务
40+阅读 · 2021年1月19日
模型压缩究竟在做什么?我们真的需要模型压缩么?
专知会员服务
28+阅读 · 2020年1月16日
相关资讯
综述:基于GAN的图像翻译模型盘点
PaperWeekly
13+阅读 · 2019年9月2日
GAN毕业手册:从零到一构建自己的GAN模型
AI前线
14+阅读 · 2019年5月15日
万字综述之生成对抗网络(GAN)
PaperWeekly
43+阅读 · 2019年3月19日
BERT-预训练的强大
微信AI
60+阅读 · 2019年3月7日
GAN猫的脸
机械鸡
11+阅读 · 2017年7月8日
GAN | GAN介绍(2)
KingsGarden
27+阅读 · 2017年3月14日
相关基金
国家自然科学基金
0+阅读 · 2015年12月31日
国家自然科学基金
0+阅读 · 2015年12月31日
国家自然科学基金
3+阅读 · 2014年12月31日
国家自然科学基金
0+阅读 · 2014年12月31日
国家自然科学基金
0+阅读 · 2013年12月31日
国家自然科学基金
0+阅读 · 2013年12月31日
国家自然科学基金
0+阅读 · 2013年12月31日
国家自然科学基金
0+阅读 · 2012年12月31日
国家自然科学基金
0+阅读 · 2011年12月31日
国家自然科学基金
0+阅读 · 2009年12月31日
Top
微信扫码咨询专知VIP会员