详解个性化推荐五大最常用算法

2017 年 7 月 8 日 量子位 专注报道AI
允中 若朴 编译自 Stats&Bots
量子位 出品 | 公众号 QbitAI

推荐系统,是当今互联网背后的无名英雄。

我们在某宝首页看见的商品,某条上读到的新闻,甚至在各种地方看见的广告,都有赖于它。

昨天,一个名为Stats&Bots的博客详解了构建推荐系统的五种方法。

量子位编译如下:

现在,许多公司都在用大数据来向用户进行相关推荐,驱动收入增长。推荐算法有很多种,数据科学家需要根据业务的限制和要求选择最好的算法。

为了简化这个任务,Statsbot团队写了一份现有的主要推荐系统算法的概述

协同过滤

协同过滤(Collaborative filtering, CF)及其变体是最常用的推荐算法之一。即使数据科学的新手也可以用它来构建自己的个人电影推荐系统,起码可以写在简历上。

我们想给用户推荐东西,最合乎逻辑方法是找到具有相似兴趣的人,分析他们的行为,并向用户推荐相同的项目。另一种方法是看看用于以前买的商品,然后给他们推荐相似的。

CF有两种基本方法:基于用户的协同过滤和基于项目的协同过滤。

无论哪种方法,推荐引擎有两个步骤:

  • 了解数据库中有多少用户/项目与给定的用户/项目相似。

  • 考虑到与它类似的用户/项目的总权重,评估其他用户/项目,来预测你会给该产品用户的打分。

“最相似”在算法中是什么意思?

我们有每个用户的偏好向量(矩阵R的行),和每个产品的用户评分向量(矩阵R的列),如下图所示。

首先,我们只留下两个向量的值都已知的元素。

例如我们想比较Bill和Jane,已知比尔没有看泰坦尼克号,Jane没看过蝙蝠侠,于是,我们只能通过星战来衡量他们的相似度了。谁没看过星球大战呢是吧?

测量相似度的最流行方法是余弦相似性或用户/项目向量之间的相关性。最后一步,是根据相似度用加权算术平均值填充表中的空单元格。

矩阵分解

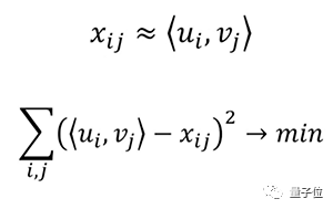
这是一个非常优雅的推荐算法,因为当涉及到矩阵分解时,我们通常不会太多地去思考哪些项目将停留在所得到矩阵的列和行中。但是使用这个推荐引擎,我们清楚地看到,u是第i个用户的兴趣向量,v是第j个电影的参数向量。

所以我们可以用u和v的点积来估算x(第i个用户对第j个电影的评分)。我们用已知的分数构建这些向量,并使用它们来预测未知的得分。

例如,在矩阵分解之后,Ted的向量是(1.4; .8),电影A的向量是(1.4; .9),现在,我们可以通过计算(1.4; .8)和(1.4; .9)的点积,来还原电影A-Ted的得分。结果,我们得到2.68分。

聚类

上面两种算法都极其简单,适用于小型系统。在这两种方法中,我们把推荐问题当做一个有监督机器学习任务来解决。

现在,该开始用无监督学习来解决问题了。

假设我们正在建立一个大型推荐系统,这时协同过滤和矩阵分解花费的时间更长了。第一个浮现在脑海里的解决之道,就是聚类。

业务开展之初,缺乏之前的用户数据,聚类将是最好的方法。

不过,聚类是一种比较弱的个性化推荐,因为这种方法的本质是识别用户组,并对这个组内的用户推荐相同的内容。

当我们有足够数据时,最好使用聚类作为第一步,来缩减协同过滤算法中相关邻居的选择范围。这个方法还能挺高复杂推荐系统的性能。

每个聚类都会根据其中用户的偏好,来分配一组典型的偏好。每个聚类中的用户,都会收到为这个聚类计算出的推荐内容。

深度学习

在过去的十年中,神经网络已经取得了巨大的飞跃。如今,神经网络已经得以广泛应用,并逐渐取代传统的机器学习方法。

接下来,我要介绍一下YouTube如何使用深度学习方法来做个性化推荐。

毫无疑问,由于体量庞大、动态库和各种观察不到的外部因素,为YouTube用户提供推荐内容是一项非常具有挑战性的任务。

根据《Deep Neural Networks for YouTube Recommendations》( https://static.googleusercontent.com/media/research.google.com/ru//pubs/archive/45530.pdf ),YouTube的推荐系统算法由两个神经网络组成:一个用于候选生成,一个用于排序。如果你没时间仔细研究论文,可以看看我们下面给出的简短总结。

以用户的浏览历史为输入,候选生成网络可以显著减小可推荐的视频数量,从庞大的库中选出一组最相关的视频。这样生成的候选视频与用户的相关性最高,然后我们会对用户评分进行预测。

这个网络的目标,只是通过协同过滤提供更广泛的个性化。

进行到这一步,我们得到一组规模更小但相关性更高的内容。我们的目标是仔细分析这些候选内容,以便做出最佳的选择。

这个任务由排序网络完成。

所谓排序就是根据视频描述数据和用户行为信息,使用设计好的目标函数为每个视频打分,得分最高的视频会呈献给用户。

通过这两步,我们可以从非常庞大的视频库中选择视频,并面向用户进行有针对性的推荐。这个方法还能让我们把其他来源的内容也容纳进来。

推荐任务是一个极端的多类分类问题。这个预测问题的实质,是基于用户(U)和语境(C),在给定的时间t精确地从库(V)中上百万的视频类(i)中,对特定的视频观看(Wt)情况进行分类。

建立推荐系统前该知道的要点

如果你有一个庞大的数据库,而且准备提供在线的推荐,最好把这个任务拆分成两个子问题:

  1. 选择Top N个候选;

  2. 排序。

如衡量推荐模型的质量?

除了标准质量指标之外,还有一些针对推荐问题的指标:比如说召回率与准确率(https://en.wikipedia.org/wiki/Information_retrieval#Precision_at_K)。还有一些其他的指标,见《软件工程中的推荐系统》一书第12章(http://www.ict.swin.edu.au/personal/jgrundy/papers/rsse2014.pdf)

如果你正在使用分类算法解决推荐问题,应该考虑生成负例样本。如果用户购买了推荐的商品,你应该将其添加为正例样本,而其他列为负例样本。

要从在线得分和离线得分两个方面考察算法质量。一个只基于历史数据的训练模型,可能会导致低水平的推荐,因为算法没办法与时俱进。

推荐阅读

个性化推荐在产品里都能用在哪呢?

量子位曾报道过知乎、Quora、Airbnb是如何使用机器学习技术的,推荐系统是其中的重头戏:

详解:知乎如何使用机器学习,未来还有哪些想象空间

详解:估值18亿美元的新晋独角兽Quora,如何使用机器学习?

搞日租房的Airbnb,如何用机器学习对接上百万的房东和租客?

【完】

一则通知

量子位读者5群开放申请,对人工智能感兴趣的朋友,可以添加量子位小助手的微信qbitbot2,申请入群,一起研讨人工智能。

另外,量子位大咖云集的自动驾驶技术群,仅接纳研究自动驾驶相关领域的在校学生或一线工程师。申请方式:添加qbitbot2为好友,备注“自动驾驶”申请加入~

招聘

量子位正在招募编辑/记者等岗位,工作地点在北京中关村。相关细节,请在公众号对话界面,回复:“招聘”。

 扫码强行关注『量子位』

追踪人工智能领域最劲内容


登录查看更多
4

相关内容

协同过滤(英语:Collaborative Filtering),简单来说是利用某兴趣相投、拥有共同经验之群体的喜好来推荐用户感兴趣的信息,个人透过合作的机制给予信息相当程度的回应(如评分)并记录下来以达到过滤的目的进而帮助别人筛选信息,回应不一定局限于特别感兴趣的,特别不感兴趣信息的纪录也相当重要。协同过滤又可分为评比(rating)或者群体过滤(social filtering)。其后成为电子商务当中很重要的一环,即根据某顾客以往的购买行为以及从具有相似购买行为的顾客群的购买行为去推荐这个顾客其“可能喜欢的品项”,也就是借由社群的喜好提供个人化的信息、商品等的推荐服务。除了推荐之外,近年来也发展出数学运算让系统自动计算喜好的强弱进而去芜存菁使得过滤的内容更有依据,也许不是百分之百完全准确,但由于加入了强弱的评比让这个概念的应用更为广泛,除了电子商务之外尚有信息检索领域、网络个人影音柜、个人书架等的应用等。
【SIGIR2020】LightGCN: 简化和增强图卷积网络推荐
专知会员服务
73+阅读 · 2020年6月1日
KGCN:使用TensorFlow进行知识图谱的机器学习
专知会员服务
83+阅读 · 2020年1月13日
【推荐系统/计算广告/机器学习/CTR预估资料汇总】
专知会员服务
88+阅读 · 2019年10月21日
可解释推荐:综述与新视角
专知会员服务
114+阅读 · 2019年10月13日
推荐系统BAT面试题:说说协同过滤的原理
七月在线实验室
50+阅读 · 2019年1月30日
推荐系统中的矩阵分解技术
AINLP
9+阅读 · 2018年12月24日
通俗易懂,互联网的常见推荐算法
架构师之路
6+阅读 · 2018年4月17日
【推荐系统】详解基于内容的推荐算法
产业智能官
23+阅读 · 2018年1月11日
推荐系统机器学习算法概览
论智
7+阅读 · 2017年12月14日
干货 :详解个性化推荐五大最常用算法
数据分析
6+阅读 · 2017年7月19日
Arxiv
6+阅读 · 2020年2月15日
Domain Representation for Knowledge Graph Embedding
Arxiv
14+阅读 · 2019年9月11日
Arxiv
3+阅读 · 2019年3月1日
Arxiv
3+阅读 · 2018年8月27日
Arxiv
14+阅读 · 2018年4月18日
Arxiv
5+阅读 · 2017年11月13日
VIP会员
相关VIP内容
【SIGIR2020】LightGCN: 简化和增强图卷积网络推荐
专知会员服务
73+阅读 · 2020年6月1日
KGCN:使用TensorFlow进行知识图谱的机器学习
专知会员服务
83+阅读 · 2020年1月13日
【推荐系统/计算广告/机器学习/CTR预估资料汇总】
专知会员服务
88+阅读 · 2019年10月21日
可解释推荐:综述与新视角
专知会员服务
114+阅读 · 2019年10月13日
相关资讯
推荐系统BAT面试题:说说协同过滤的原理
七月在线实验室
50+阅读 · 2019年1月30日
推荐系统中的矩阵分解技术
AINLP
9+阅读 · 2018年12月24日
通俗易懂,互联网的常见推荐算法
架构师之路
6+阅读 · 2018年4月17日
【推荐系统】详解基于内容的推荐算法
产业智能官
23+阅读 · 2018年1月11日
推荐系统机器学习算法概览
论智
7+阅读 · 2017年12月14日
干货 :详解个性化推荐五大最常用算法
数据分析
6+阅读 · 2017年7月19日
相关论文
Top
微信扫码咨询专知VIP会员