亚马逊提出:目标检测训练秘籍(代码已开源)

2019 年 2 月 13 日 CVer

点击上方“CVer”,选择"星标"和“置顶”

重磅干货,第一时间送达

前戏


最近目标检测方向,出了很多paper,CVer也立即跟进报道(点击可访问):



本文介绍一篇很棒的目标检测训练技巧论文。该论文是由Amazon Web Services 提出,其中作者团队中就有李沐等大神。之前Amazon还提出图像分类的Tricks论文,详见 亚马逊:用CNN进行图像分类的Tricks


简介

《Bag of Freebies for Training Object Detection Neural Networks》


arXiv: https://arxiv.org/abs/1902.04103

github: https://github.com/dmlc/gluon-cv

作者团队:Amazon Web Services

注:2019年02月11日刚出炉的paper


Abstract:目标检测训练与图像分类模型的研究相比,相对缺少普遍性。由于网络结构和优化目标明显更加复杂,因此针对某些检测算法而不是其他检测算法专门设计了各种训练策略和 pipelines。在这项工作中,我们探索了有助于将最先进的目标检测模型的性能提升到一个新水平而不牺牲推理(inference)速度的通用调整。我们的实验表明,这些训练秘籍(freebies)可以在精度上增加5%,因此每个人都应该考虑在一定程度上将这些训练秘籍应用于目标检测训练中。



正文


主要贡献


1)我们是第一个系统地评估各种目标检测 pipelines 中应用的各种训练启发式方法,为未来的研究提供了有价值的实践指导。


2)我们提出了一种用于训练目标检测网络的 visually coherent image mixup 方法,该方法被证明在提高模型通用能力方面非常有效。


3)在不改变网络结构和损失函数的情况下,基于现有模型,我们 achieved up to 5% out of 30% absolute average precision。


4)我们扩展了目标检测数据增广领域的研究深度,显著增强了模型泛化能力,有助于减少过度拟合问题。实验还揭示了可以在不同网络结构中一致地提高目标检测性能的良好技术。


所有相关代码都是开源的,模型的预训练权重可在GluonCV工具包中获得。

GluonCVhttps://github.com/dmlc/gluon-cv


具体创新点


1. Visually Coherent Image Mixup for Object Detection


这个创新点是受前段时间很出名的用于图像分类的数据增广论文:《mixup: Beyond empirical risk minimization》(ICLR 2018) 启发。用于图像分类的mixup方法如下:



用于目标检测的方法如下:



注意mixup中最重要的超参数就是α 和 β ,不同的值对结果(mAP)会有很大影响,结果如下所示:


Effect of various mix-up approaches

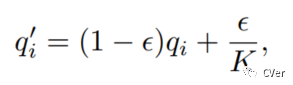
2. Classification Head Label Smoothing


这个创新点是受《Rethinking the inception architecture for computer vision》论文启发。

3. Data Pre-processing


  • 随机几何变换。包括随机裁剪(带约束),随机扩展,随机水平翻转和随机缩放(随机插值)。


  • 随机颜色抖动(jittering),包括亮度,色调,饱和度和对比度。


4. Training Scheduler Revamping


  • the step schedule

  • cosine learning rate adjustment

  • Warm up learning rate 

Visualization of learning rate scheduling with warm-up

enabled for YOLOv3 training on Pascal VOC


5. Synchronized Batch Normalization


做了大量实验,调研 Synchronized Batch Normalization 对 YOLOv3的实验影响


注:有卡任性,哈哈


6. Random shapes training for single-stage object detection networks 


为了适应内存限制并允许更简单的批处理,许多 single-stage 目标检测网络采用固定形状进行训练。本论文中,将一小批N个训练图像的大小调整为Nx3xHxW,其中H和W是D = randint(1; k)的multipliers。例如,使用H = W ∈ {320; 352; 384; 416; 448; 480; 512; 544; 576; 608} 用于YOLOv3训练。


实验结果


论文中使用 YOLOv3 和 Faster R-CNN 作为实验的目标检测框架。


YOLOv3 改进实验结果(在VOC数据集上)


Training Refinements on YOLOv3, evaluated at 416×416

on Pascal VOC 2007 test set


Faster R-CNN 改进实验结果(在VOC数据集上)


Training Refinements on Faster-RCNN, evaluated at 600 × 1000 on Pascal VOC 2007 test set


注:从实验结果来看,涨点很明显,将这些tricks用在你当前的研究项目中,应该会有很大帮助。


想要了解最新最快最好的论文速递、开源项目和干货资料,欢迎加入CVer学术交流群。涉及图像分类、目标检测、图像分割、人脸检测&识别、目标跟踪、GANs、学术竞赛交流、Re-ID、风格迁移、医学影像分析、姿态估计、OCR、SLAM、场景文字检测&识别和超分辨率等方向。


扫码进群


这么硬的论文速递,麻烦给我一个好看


▲长按关注我们

麻烦给我一个好看

登录查看更多
0

相关内容

目标检测,也叫目标提取,是一种与计算机视觉和图像处理有关的计算机技术,用于检测数字图像和视频中特定类别的语义对象(例如人,建筑物或汽车)的实例。深入研究的对象检测领域包括面部检测和行人检测。 对象检测在计算机视觉的许多领域都有应用,包括图像检索和视频监视。

知识荟萃

精品入门和进阶教程、论文和代码整理等

更多

查看相关VIP内容、论文、资讯等
【Google】监督对比学习,Supervised Contrastive Learning
专知会员服务
75+阅读 · 2020年4月24日
专知会员服务
164+阅读 · 2020年4月21日
专知会员服务
110+阅读 · 2020年3月12日
【Amazon】使用预先训练的Transformer模型进行数据增强
专知会员服务
58+阅读 · 2020年3月6日
【Google AI】开源NoisyStudent:自监督图像分类
专知会员服务
55+阅读 · 2020年2月18日
【ICLR2020】五篇Open代码的GNN论文
专知会员服务
48+阅读 · 2019年10月2日
训练目标检测模型只需要这 6 行代码
AI科技评论
8+阅读 · 2019年8月19日
大盘点 | 性能最强的目标检测算法
极市平台
9+阅读 · 2019年7月8日
Kaggle实战目标检测奇淫技巧合集
极市平台
17+阅读 · 2019年6月1日
CenterNet:目标即点(代码已开源)
极市平台
25+阅读 · 2019年5月24日
深度神经网络模型训练中的最新tricks总结【原理与代码汇总】
人工智能前沿讲习班
172+阅读 · 2019年3月6日
【学界】李沐等将目标检测绝对精度提升 4%,不牺牲推理速度
GAN生成式对抗网络
7+阅读 · 2019年2月15日
【干货】李沐等人:CNN图像分类Trick合集(附详细代码)
GAN生成式对抗网络
58+阅读 · 2018年12月11日
【下载】PyTorch 实现的YOLO v2目标检测算法
专知
15+阅读 · 2017年12月27日
A Survey on Edge Intelligence
Arxiv
52+阅读 · 2020年3月26日
Arxiv
45+阅读 · 2019年12月20日
Arxiv
8+阅读 · 2019年3月28日
Arxiv
7+阅读 · 2018年6月1日
Arxiv
5+阅读 · 2018年5月16日
Arxiv
5+阅读 · 2017年7月23日
VIP会员
相关VIP内容
【Google】监督对比学习,Supervised Contrastive Learning
专知会员服务
75+阅读 · 2020年4月24日
专知会员服务
164+阅读 · 2020年4月21日
专知会员服务
110+阅读 · 2020年3月12日
【Amazon】使用预先训练的Transformer模型进行数据增强
专知会员服务
58+阅读 · 2020年3月6日
【Google AI】开源NoisyStudent:自监督图像分类
专知会员服务
55+阅读 · 2020年2月18日
【ICLR2020】五篇Open代码的GNN论文
专知会员服务
48+阅读 · 2019年10月2日
相关资讯
训练目标检测模型只需要这 6 行代码
AI科技评论
8+阅读 · 2019年8月19日
大盘点 | 性能最强的目标检测算法
极市平台
9+阅读 · 2019年7月8日
Kaggle实战目标检测奇淫技巧合集
极市平台
17+阅读 · 2019年6月1日
CenterNet:目标即点(代码已开源)
极市平台
25+阅读 · 2019年5月24日
深度神经网络模型训练中的最新tricks总结【原理与代码汇总】
人工智能前沿讲习班
172+阅读 · 2019年3月6日
【学界】李沐等将目标检测绝对精度提升 4%,不牺牲推理速度
GAN生成式对抗网络
7+阅读 · 2019年2月15日
【干货】李沐等人:CNN图像分类Trick合集(附详细代码)
GAN生成式对抗网络
58+阅读 · 2018年12月11日
【下载】PyTorch 实现的YOLO v2目标检测算法
专知
15+阅读 · 2017年12月27日
相关论文
A Survey on Edge Intelligence
Arxiv
52+阅读 · 2020年3月26日
Arxiv
45+阅读 · 2019年12月20日
Arxiv
8+阅读 · 2019年3月28日
Arxiv
7+阅读 · 2018年6月1日
Arxiv
5+阅读 · 2018年5月16日
Arxiv
5+阅读 · 2017年7月23日
Top
微信扫码咨询专知VIP会员