文本分析 | 常用距离/相似度 一览

2017 年 10 月 12 日 数说工作室 歪歪


这个系列打算以文本相似度为切入点,逐步介绍一些文本分析的干货,包括分词、词频、词频向量、TF-IDF、文本匹配等等。


第一篇中,介绍了文本相似度是干什么的;

第二篇,介绍了如何量化两个文本,如何计算余弦相似度,穿插介绍了分词、词频、向量夹角余弦的概念。


其中具体如何计算,在这里复习:





度量两个文本的相似度,或者距离,可以有很多方法,余弦夹角只是一种。本文简单列了一下常用的距离。


需要注意的是,本文中列的方法,有的是距离,也就是指越小越相似,有的是相似度,值越大越相似。


在 Python 的距离包 pairwise_distances 中,统一处理成了距离,即都是值越小,则距离越小、越相似。在具体的介绍中,我会专门说明一下。


本文中统一用下面两个文本作为例子:


text1 = '上海市市级科技重大专项’

text2 = '上海市国家级科研重大项目'


将2个进行分词,选取词维度有:

(上海市, 市级, 国家级, 科技, 科研, 重大, 专项, 项目)


x = (1, 1, 0, 1, 0, 1, 1, 0)

y = (1, 0, 1, 0, 1, 1, 0, 1)


OK,下面结合这个例子,具体介绍下各种距离:


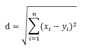
1、欧氏距离(Euclidean Distance)


(1)定义

欧氏距离是最常见的向量距离,定义为:

值越小越相似。


(2)实例计算

用 Python 验证,x 和 y 的欧氏距离为 = 2.45


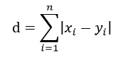
2、曼哈顿距离(Manhattan Distance)


(1)定义

曼哈顿距离的定义为:

值越小越相似。


(2)实例计算

用 Python 验证,x 和 y 的曼哈顿距离为 = 6


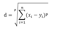
3、闵科夫斯基距离(Minkowski Distance)


(1)定义

值越小越相似。


(2)实例计算

用 Python 验证,x 和 y 的闵科夫斯基距离为 = 2.45



4、马氏距离(Mahalanobis Distance)


(1)定义:

值越小越相似。


(2)实例计算

由于马氏距离需要计算向量x与y的协方差S,因此对数据量有一定要求,本例中数据量不足因此 Python 提示无法计算。



5、海明距离(Hamming Distance)


(1)定义

海明距离为两串向量中,对应元素不一样的个数,比如101010与101011的最后一位不一样,那么hamming distance即为1,,同理000与111的hamming为3。


但这没有考虑到向量的长度,如111111000与111111111的距离也是3,尤其是比较文本的相似时,这样的结果肯定不合理,因此我们可以用向量长度作为分母。Python 中的 hamming distance 即这么计算的。


海明距离也是值越小越相似。但除以长度之后的海明距离,最大值为1(完全不相似),最小值为0(完全一致)。


(2)实例计算


6、Jaccard 系数


(1)定义

Jaccard系数的原始定义为:

两个集合中,交集的个数/并集的个数。


比如本例中的两个文本:


text1 = '上海市市级科技重大专项’ → {上海市, 市级, 科技, 重大, 专项 }

text2 = '上海市国家级科研重大项目' → {上海市, 国家级, 科研, 重大, 项目}


交集有2个(上海市,重大),并集有8个。

因此Jaccard系数为:1/4。


转化成向量计算,其实跟 hamming 距离是一样的,都是对应元素相同的个数,除以向量的个数。


原始定义是相似度,即越大越相似,取值范围是 0~1(1=100%一致,0=完全不相似)。在 Python 中,需要统一转化成距离,即值越小月相似。因此 Python 中的定义为: 1 - Jaccard 系数。


(2)Python 验证


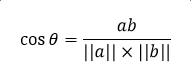
7、余弦夹角相似度(Cosine Similarity)


(1)定义

余弦夹角相似度之前专门说过(文本分析 | 词频与余弦相似度),在文本分析中,它是一个比较常用的衡量方法。


简单复习一下,有a、b两个向量,那么 cosine 相似度的原始定义为:

它本身是值越大越相似,取值范围是0~1(1=100%一致,0=完全不相似)。在 Python 中,需要转化成距离,即越小越相似。Python 中的定义为: 1 - cosine similarity


(2)Python 验证


8、切比雪夫距离(Chebyshev Distance )


(1)定义

切比雪夫距离的定义为:

意思就是,x 和 y 两个向量,对应元素只差的最大值的绝对值。值越小越相似


本例中,最大值只可能是1了。


(2)Python 验证


pairwise_distances 包中还有很多距离:

感兴趣可以了解一下

http://scikit-learn.org/stable/modules/generated/sklearn.metrics.pairwise.pairwise_distances.html



更多 SQL 连载、Python 连载、SAS 教程 请关注 数说工作室


【统计师的 Python 系列】连载

  • 第1天:谁来给我讲讲Python?

  • 第2天:再接着介绍一下Python呗

  • 第3天:Numpy你好

  • 第4天:欢迎光临Pandas

  • 第5天:Pandas,露两手

  • 第6天:数据合并

  • 第7天:数据清洗(1)

  • 第8天:数据清洗(2)文本处理

  • 第9天:正则表达式

  • 第10天:数据聚合

  • 第11天:class-类


【文本挖掘系列】连载

  • 1、文本相似度思想

  • 2、词频与余弦相似度算法

  • 3、TF-IDF 治啰嗦利器


【分类战车SVM】系列

  • 开题话

  • 线性分类

  • 最大间隔分类器

  • 拉格朗日对偶问题

  • 核函数

  • SMO算法

  • 用Python做SVM模型


SAS系列,包括 【SAS IML系列】、【SAS 正则表达式系列】、【SAS 基础系列】

金融数据挖掘系列、量化投资系列、生物大数据系列 等等更多干货......

登录查看更多
26

相关内容

Python分布式计算,171页pdf,Distributed Computing with Python
专知会员服务
108+阅读 · 2020年5月3日
Transformer文本分类代码
专知会员服务
118+阅读 · 2020年2月3日
 【中科院信工所】社交媒体情感分析,40页ppt
专知会员服务
104+阅读 · 2019年12月13日
【论文推荐】文本分析应用的NLP特征推荐
专知会员服务
34+阅读 · 2019年12月8日
ExBert — 可视化分析Transformer学到的表示
专知会员服务
32+阅读 · 2019年10月16日
机器学习计算距离和相似度的方法
极市平台
10+阅读 · 2019年9月20日
如何匹配两段文本的语义?
黑龙江大学自然语言处理实验室
7+阅读 · 2018年7月21日
计算文本相似度常用的四种方法
论智
33+阅读 · 2018年5月18日
机器学习的5种距离度量方法
七月在线实验室
9+阅读 · 2018年5月18日
干货 | 自然语言处理(5)之英文文本挖掘预处理流程
机器学习算法与Python学习
7+阅读 · 2018年4月5日
用线性规划去计算句子之间的相似度
AI研习社
9+阅读 · 2017年12月27日
基于典型相关分析的词向量
AI研习社
7+阅读 · 2017年12月24日
机器学习(30)之线性判别分析(LDA)原理详解
机器学习算法与Python学习
11+阅读 · 2017年12月6日
python文本相似度计算
北京思腾合力科技有限公司
24+阅读 · 2017年11月6日
各种相似性度量及Python实现
机器学习算法与Python学习
11+阅读 · 2017年7月6日
Music Transformer
Arxiv
5+阅读 · 2018年12月12日
Labeling Panoramas with Spherical Hourglass Networks
Arxiv
22+阅读 · 2018年8月30日
VIP会员
相关VIP内容
相关资讯
机器学习计算距离和相似度的方法
极市平台
10+阅读 · 2019年9月20日
如何匹配两段文本的语义?
黑龙江大学自然语言处理实验室
7+阅读 · 2018年7月21日
计算文本相似度常用的四种方法
论智
33+阅读 · 2018年5月18日
机器学习的5种距离度量方法
七月在线实验室
9+阅读 · 2018年5月18日
干货 | 自然语言处理(5)之英文文本挖掘预处理流程
机器学习算法与Python学习
7+阅读 · 2018年4月5日
用线性规划去计算句子之间的相似度
AI研习社
9+阅读 · 2017年12月27日
基于典型相关分析的词向量
AI研习社
7+阅读 · 2017年12月24日
机器学习(30)之线性判别分析(LDA)原理详解
机器学习算法与Python学习
11+阅读 · 2017年12月6日
python文本相似度计算
北京思腾合力科技有限公司
24+阅读 · 2017年11月6日
各种相似性度量及Python实现
机器学习算法与Python学习
11+阅读 · 2017年7月6日
Top
微信扫码咨询专知VIP会员