L2正则没有想象那么好?可能是“权重尺度偏移”惹的祸

2020 年 8 月 26 日 PaperWeekly


©PaperWeekly 原创 · 作者|苏剑林

单位|追一科技

研究方向|NLP、神经网络


L2 正则是机器学习常用的一种防止过拟合的方法(应该也是一道经常遇到的面试题)。简单来说,它就是希望权重的模长尽可能小一点,从而能抵御的扰动多一点,最终提高模型的泛化性能。但是读者可能也会发现,L2 正则的表现通常没有理论上说的那么好,很多时候加了可能还有负作用。

最近的一篇文章 Improve Generalization and Robustness of Neural Networks via Weight Scale Shifting Invariant Regularizations 从“权重尺度偏移”这个角度分析了 L2 正则的弊端,并提出了新的 WEISSI 正则项。整个分析过程颇有意思,在这里与大家分享一下。

论文标题:Improve Generalization and Robustness of Neural Networks via Weight Scale Shifting Invariant Regularizations

论文链接:https://arxiv.org/abs/2008.02965


相关内容
这一节中我们先简单回顾一下 L2 正则,然后介绍它与权重衰减的联系以及与之相关的 AdamW 优化器 [1]  。
1.1 L2正则的理解

为什么要添加 L2 正则?这个问题可能有多个答案。有从 Ridge 回归角度回答的,有从贝叶斯推断角度回答的,这里给出从扰动敏感性的角度的理解。

对于两个(列)向量 ,我们有柯西不等式 。根据这个结果,我们就可以证明:

这里的 等于矩阵 的所有元素的平方和。证明并不困难,有兴趣的读者自行完成。
这个结果告诉我们: 的变化量,可以被 控制住,因此如果我们希望 很小时 的变化量也尽可能小,那么我们可以降低 ,这时候就可以加入正则项
不难发现,这其实就是 L2 正则。这个角度的相关讨论还可以参考深度学习中的Lipschitz约束:泛化与生成模型(不过要注意两篇文章的记号略有不同)。
1.2 AdamW优化器
在使用 SGD 进行优化时,假设原来的迭代为 ,那么不难证明加入 L2 正则 后变成了:

由于 ,所以这会使得整个优化过程中参数 有“收缩”到 0 的倾向,这样的改动称为“权重衰减(Weight Decay)”。
不过,L2 正则与权重衰减的等价性仅仅是在 SGD 优化器下成立,如果用了自适应学习率优化器如 Adagrad、Adam 等,那么两者不等价。在自适应学习率优化器中,L2 正则的作用约等于往优化过程里边加入 而不是
也就是说每个元素的惩罚都很均匀,而不是绝对值更大的元素惩罚更大,这部分抵消了 L2 正则的作用。论文 Decoupled Weight Decay Regularization [1] 首次强调了这个问题,并且提出了改进的 AdamW 优化器。


新的正则

在这一节中,我们将指出常见的深度学习模型中往往存在“权重尺度偏移(Weight Scale Shif)”现象,这个现象可能会导致了 L2 正则的作用没那么明显。进一步地,我们可以构建一个新的正则项,它具有跟 L2 类似的作用,但是与权重尺度偏移现象更加协调,理论上来说会更加有效。

2.1 权重尺度偏移

我们知道深度学习模型的基本结构就是“线性变换+非线性激活函数”,而现在最常用的激活函数之一是 。有意思的是,这两者都满足“正齐次性”,也就是对于 ,我们有 恒成立。
对于其他的激活函数如 SoftPlus、GELU、Swish 等,其实它们都是 的光滑近似,因此可以认为它们是近似满足“正齐次性”。
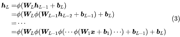
“正齐次性”使得深度学习模型对于权重尺度偏移具有一定的不变性。具体来说,假设一个L层的模型:

假设每个参数引入偏移 ,那么根据正齐次性可得:

如果 ,那么参数为 就跟参数为 的模型完全等价了。
换句话说,模型对于 的权重尺度偏移具有不变性(WEIght-Scale-Shift-Invariance,WEISSI)。

2.2 与L2正则不协调

刚才我们说只要尺度偏移满足 ,那么两组参数对应的模型就等价了,但问题是它们对应的 L2 正则却不等价:

并且可以证明,如果固定 ,并且保持约束 ,那么 的最小值在:

事实上,这就体现了 L2 正则的低效性。试想一下,假如我们已经训练得到一组参数 ,这组参数泛化性能可能不大好,于是我们希望 L2 正则能帮助优化器找到一组更好参数(牺牲一点 ,降低一点 )。
但是,上述结果告诉我们,由于权重尺度偏移不变性的存在,模型完全可以找到一组新的参数 ,它跟原来参数的模型完全等价(没有提升泛化性能),但是 L2 正则还更小(L2 正则起作用了)。说白了,就是 L2 正则确实起作用了,但没有提升模型泛化性能,没有达到使用 L2 正则的初衷。

2.3 WEISSI正则

上述问题的根源在于,模型对权重尺度偏移具有不变性,但是 L2 正则对权重尺度偏移没有不变性。如果我们能找到一个新的正则项,它有类似的作用,同时还对权重尺度偏移不变,那么就能解决这个问题了。个人感觉原论文对这部分的讲解并不够清晰,下面的推导以笔者的个人理解为主。

我们考虑如下的一般形式的正则项:

对于 L2 正则来说, ,只要 是关于 x 在 上的单调递增函数,那么就能保证优化但目标是缩小。要注意我们希望正则项具有尺度偏移不变性,并不需要 ,而只需要:

因为优化过程只需要用到它的梯度。可能有的读者都能直接看出它的一个解了,其实就是对数函数 。所以新提出来的正则项就是:

除此之外,原论文可能担心上述正则项惩罚力度还不够,还对参数方向加了个 L1 的惩罚,总的形式为:

2.4 实验效果简述

按惯例展示一下原论文的是实验结果,当然既然作者都整理成文了,显然说明是有正面结果的:
▲原论文对WEISSI正则的实验结果之一
对于我们来说,无非就是知道有这么个新的选择,炼丹的时候多一种尝试罢了。毕竟正则项这种东西,没有什么理论能保证它一定能起作用,还是用了才能知道结果,别人说得再漂亮也没用。


文章小结

本文介绍了神经网络模型中的权重尺度偏移不变性的现象,并指出它与 L2 正则的不协调性,继而提出了作用类似但能够解决不协调性的正则项。



参考文献


[1] https://arxiv.org/abs/1711.05101




更多阅读





#投 稿 通 道#

 让你的论文被更多人看到 



如何才能让更多的优质内容以更短路径到达读者群体,缩短读者寻找优质内容的成本呢?答案就是:你不认识的人。


总有一些你不认识的人,知道你想知道的东西。PaperWeekly 或许可以成为一座桥梁,促使不同背景、不同方向的学者和学术灵感相互碰撞,迸发出更多的可能性。 


PaperWeekly 鼓励高校实验室或个人,在我们的平台上分享各类优质内容,可以是最新论文解读,也可以是学习心得技术干货。我们的目的只有一个,让知识真正流动起来。


📝 来稿标准:

• 稿件确系个人原创作品,来稿需注明作者个人信息(姓名+学校/工作单位+学历/职位+研究方向) 

• 如果文章并非首发,请在投稿时提醒并附上所有已发布链接 

• PaperWeekly 默认每篇文章都是首发,均会添加“原创”标志


📬 投稿邮箱:

• 投稿邮箱:hr@paperweekly.site 

• 所有文章配图,请单独在附件中发送 

• 请留下即时联系方式(微信或手机),以便我们在编辑发布时和作者沟通



🔍


现在,在「知乎」也能找到我们了

进入知乎首页搜索「PaperWeekly」

点击「关注」订阅我们的专栏吧



关于PaperWeekly


PaperWeekly 是一个推荐、解读、讨论、报道人工智能前沿论文成果的学术平台。如果你研究或从事 AI 领域,欢迎在公众号后台点击「交流群」,小助手将把你带入 PaperWeekly 的交流群里。



登录查看更多
0

相关内容

【KDD2020】最小方差采样用于图神经网络的快速训练
专知会员服务
28+阅读 · 2020年7月13日
【Nature论文】深度网络中的梯度下降复杂度控制
专知会员服务
41+阅读 · 2020年3月9日
模型压缩究竟在做什么?我们真的需要模型压缩么?
专知会员服务
28+阅读 · 2020年1月16日
从动力学角度看优化算法:GAN的第三个阶段
PaperWeekly
11+阅读 · 2019年5月13日
L1和L2正则先验分别服从什么分布
七月在线实验室
11+阅读 · 2019年5月8日
从动力学角度看优化算法:一个更整体的视角
黑龙江大学自然语言处理实验室
8+阅读 · 2019年1月28日
从动力学角度看优化算法:自适应学习率算法
PaperWeekly
8+阅读 · 2018年12月27日
详解常见的损失函数
七月在线实验室
20+阅读 · 2018年7月12日
机器学习者都应该知道的五种损失函数!
数盟
5+阅读 · 2018年6月21日
理解神经网络的激活函数
论智
7+阅读 · 2018年1月8日
如何找到最优学习率?
AI研习社
11+阅读 · 2017年11月29日
深度学习超参数简单理解
计算机视觉战队
4+阅读 · 2017年11月28日
Arxiv
5+阅读 · 2018年6月12日
Arxiv
21+阅读 · 2018年5月23日
Arxiv
5+阅读 · 2018年1月30日
Arxiv
20+阅读 · 2018年1月17日
VIP会员
相关资讯
从动力学角度看优化算法:GAN的第三个阶段
PaperWeekly
11+阅读 · 2019年5月13日
L1和L2正则先验分别服从什么分布
七月在线实验室
11+阅读 · 2019年5月8日
从动力学角度看优化算法:一个更整体的视角
黑龙江大学自然语言处理实验室
8+阅读 · 2019年1月28日
从动力学角度看优化算法:自适应学习率算法
PaperWeekly
8+阅读 · 2018年12月27日
详解常见的损失函数
七月在线实验室
20+阅读 · 2018年7月12日
机器学习者都应该知道的五种损失函数!
数盟
5+阅读 · 2018年6月21日
理解神经网络的激活函数
论智
7+阅读 · 2018年1月8日
如何找到最优学习率?
AI研习社
11+阅读 · 2017年11月29日
深度学习超参数简单理解
计算机视觉战队
4+阅读 · 2017年11月28日
Top
微信扫码咨询专知VIP会员