Node2Vec: 可扩展的网络特征学习

2020 年 11 月 9 日 AINLP

阿里巴巴电商推荐之十亿级商品embedding中, 我们介绍了如何利用用户的操作序列来为每个商品学习Embedding,今天我们就详细的介绍这个图结构特征学习的算法: Node2Vec。

Node2Vec[1]有3400+的引用,是一篇非常经典的论文,发表在KDD 2016上。

问题提出

给定一个图结构,为每个节点学习embedding,使之能够借助深度学习的东风在图上的各种问题中有所提升。

作为一个图结构,直接利用监督学习的方法去进行学习是比较难的,因为这样做需要提取特征,而图结构上提取特征比较困难;即便可以,也会导致这样的方法是受限于具体任务的,无法通用。

问题建模

首先,定义G=(V,E)为一个网络,V是节点集合,E是边集合。我们的目标是学习一个函数f,使得V中的每个节点都能映射到一个d维向量上。

对于每个节点u,定义NS(u)为这个节点的邻居节点集合。

在建模上,效仿skip-gram的操作,skip-gram是语言模型学习的一种方式,即对于一句话A B C D E,对于句子中的每个词,去预测周边的词语。

同理,对于图中的每个节点,去预测它的邻居。公式如下:

同时,做出两个假设:

  1. 节点之间相互独立,从而,预测节点集合就可以变成预测每个节点然后乘起来:

  1. 节点之间相互对称,即对于A,B的一个连接来说,A对B的作用和B对A的作用是对称的,所以,可以用一些对称函数来计算节点embedding之间的关系,这里采用的是内积,同时做了归一化:

基于这两个假设,最后的损失函数是:

其中,Zu的计算如下:

损失函数有了,但是skip-gram是在序列上去训练的,而网络不是序列。所以为了把网络变成序列,这里采用了一些随机采样的方法对网络进行遍历。

网络遍历

说起网络遍历,大家有计算机基础的恐怕直接就能想到DFS和BFS,即深度优先搜索和宽度优先搜索。

如下图所示,红色箭头代表的是宽度优先,而蓝色则是深度优先。

但大家细想一下,如果采用BFS和DFS中的一种的话,会有什么后果?

  • 如果是BFS,那么就会导致,有相似网络结构的节点会有相似的embedding,强调的是结构性。
  • 如果是DFS,就会导致,互相连接的节点会有相似的embedding,强调的是连接性。

显然,连接性和结构性都是我们需要的,所以我们想要的是BFS和DFS之间的一种遍历方法。

网络遍历策略

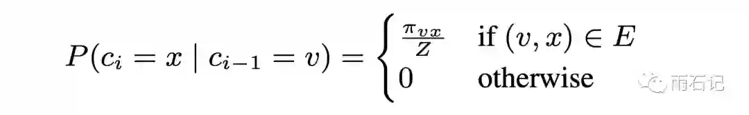
为了得到折中的遍历方法,提出了随机游走的策略。

πvx代表的是没有归一化的转移概率,Z是归一化常数。

为了防止一个节点被经常重复访问到,这里采用了二阶的权重策略。

对于节点x和它的上一个节点t,x要转移到的目标节点的权重πvx由alpha来决定,如果节点是t,那么概率为1/p,如果节点到t的距离是1,那么权重就为1,如果节点到t的距离是2,那么概率为1/q。如下图所示:

这里p被称为Return Parameter,q被称为In-out Parameter。如果q>1,那么算法倾向于BFS,反之,倾向于DFS。如果p>1,那么倾向于不重复节点,反之,则倾向于返回源节点。

边的embedding

在得到的节点的embedding之后,可以通过对一条边的两个节点的embedding做操作得到边的embedding。可以采用的操作如下:

node2vec

由上面的介绍,可以得到node2vec的算法:

在上面的算法中,node2vecWalk用来得到随机序列,其中AliasSample用来计算概率并采样。

在得到序列后,使用随机梯度下降来进行学习,这个学习就类似skip-gram了。

实验

首先,在一个小数据集上做了一个可视化的实验,学习到的embedding用K-means进行了聚类,聚类后相同类别的embedding有同样的颜色。

其中上图中的上半部分,参数为p=1, q=0.5,即倾向于BFS,所以学到的类别更强调连接性。下半部分,参数为p=1, q=2,倾向于DFS,学到的类别更强调结构性。

其次,在两个任务上对生成的embedding进行了验证:

  • node class prediction: 预测节点属于哪一类。
  • edge prediction: 预测两个节点间该不该有边。

对于分类任务,结果如下,可以看到,node2vec比其他方法强很多,DeepWalk算是比较接近的。

而对于边预测来说,结果如下,可以看到node2vec和DeepWalk两个一档,比其他方法强很多;而node2vec也比DeepWalk强一些。

总结与思考

总体观感,这篇论文非常巧妙,利用了skip-gram的方式来训练embedding,提出的随机游走的策略兼容了DFS和BFS两家之长,得到的效果也很赞。

我能naively的想到的可以改进的点就是动态调整p,q参数,使用更deep的网络结构来进行学习等。

参考文献

  • [1]. Grover, Aditya, and Jure Leskovec. "node2vec: Scalable feature learning for networks." Proceedings of the 22nd ACM SIGKDD international conference on Knowledge discovery and data mining. 2016.


由于微信平台算法改版,公号内容将不再以时间排序展示,如果大家想第一时间看到我们的推送,强烈建议星标我们和给我们多点点【在看】。星标具体步骤为:

(1)点击页面最上方"AINLP",进入公众号主页。

(2)点击右上角的小点点,在弹出页面点击“设为星标”,就可以啦。

感谢支持,比心

欢迎加入AINLP技术交流群
进群请添加AINLP小助手微信 AINLPer(id: ainlper),备注NLP技术交流

推荐阅读

这个NLP工具,玩得根本停不下来

征稿启示| 200元稿费+5000DBC(价值20个小时GPU算力)

完结撒花!李宏毅老师深度学习与人类语言处理课程视频及课件(附下载)

从数据到模型,你可能需要1篇详实的pytorch踩坑指南

如何让Bert在finetune小数据集时更“稳”一点

模型压缩实践系列之——bert-of-theseus,一个非常亲民的bert压缩方法

文本自动摘要任务的“不完全”心得总结番外篇——submodular函数优化

Node2Vec 论文+代码笔记

模型压缩实践收尾篇——模型蒸馏以及其他一些技巧实践小结

中文命名实体识别工具(NER)哪家强?

学自然语言处理,其实更应该学好英语

斯坦福大学NLP组Python深度学习自然语言处理工具Stanza试用

关于AINLP

AINLP 是一个有趣有AI的自然语言处理社区,专注于 AI、NLP、机器学习、深度学习、推荐算法等相关技术的分享,主题包括文本摘要、智能问答、聊天机器人、机器翻译、自动生成、知识图谱、预训练模型、推荐系统、计算广告、招聘信息、求职经验分享等,欢迎关注!加技术交流群请添加AINLPer(id:ainlper),备注工作/研究方向+加群目的。


阅读至此了,分享、点赞、在看三选一吧🙏

登录查看更多
0

相关内容

专知会员服务
38+阅读 · 2020年11月24日
专知会员服务
66+阅读 · 2020年9月24日
【KDD2020】自适应多通道图卷积神经网络
专知会员服务
121+阅读 · 2020年7月9日
【清华大学】图随机神经网络,Graph Random Neural Networks
专知会员服务
156+阅读 · 2020年5月26日
图机器学习经典算法 louvain 完全解读
图与推荐
11+阅读 · 2020年8月10日
图机器学习 2.2-2.4 Properties of Networks, Random Graph
图与推荐
10+阅读 · 2020年3月28日
论文浅尝 | GraphSAINT—基于图采样的归纳学习方法
开放知识图谱
7+阅读 · 2020年2月23日
一文读懂图卷积GCN
计算机视觉life
21+阅读 · 2019年12月21日
论文浅尝 | 一种嵌入效率极高的 node embedding 方式
开放知识图谱
13+阅读 · 2019年5月12日
网络表示学习介绍
人工智能前沿讲习班
18+阅读 · 2018年11月26日
图上的归纳表示学习
科技创新与创业
23+阅读 · 2017年11月9日
Arxiv
0+阅读 · 2021年2月3日
Arxiv
20+阅读 · 2019年9月7日
Self-Attention Graph Pooling
Arxiv
5+阅读 · 2019年4月17日
dynnode2vec: Scalable Dynamic Network Embedding
Arxiv
15+阅读 · 2018年12月6日
Arxiv
8+阅读 · 2018年3月17日
Arxiv
4+阅读 · 2018年2月19日
Arxiv
3+阅读 · 2018年2月7日
VIP会员
相关VIP内容
专知会员服务
38+阅读 · 2020年11月24日
专知会员服务
66+阅读 · 2020年9月24日
【KDD2020】自适应多通道图卷积神经网络
专知会员服务
121+阅读 · 2020年7月9日
【清华大学】图随机神经网络,Graph Random Neural Networks
专知会员服务
156+阅读 · 2020年5月26日
相关资讯
图机器学习经典算法 louvain 完全解读
图与推荐
11+阅读 · 2020年8月10日
图机器学习 2.2-2.4 Properties of Networks, Random Graph
图与推荐
10+阅读 · 2020年3月28日
论文浅尝 | GraphSAINT—基于图采样的归纳学习方法
开放知识图谱
7+阅读 · 2020年2月23日
一文读懂图卷积GCN
计算机视觉life
21+阅读 · 2019年12月21日
论文浅尝 | 一种嵌入效率极高的 node embedding 方式
开放知识图谱
13+阅读 · 2019年5月12日
网络表示学习介绍
人工智能前沿讲习班
18+阅读 · 2018年11月26日
图上的归纳表示学习
科技创新与创业
23+阅读 · 2017年11月9日
相关论文
Arxiv
0+阅读 · 2021年2月3日
Arxiv
20+阅读 · 2019年9月7日
Self-Attention Graph Pooling
Arxiv
5+阅读 · 2019年4月17日
dynnode2vec: Scalable Dynamic Network Embedding
Arxiv
15+阅读 · 2018年12月6日
Arxiv
8+阅读 · 2018年3月17日
Arxiv
4+阅读 · 2018年2月19日
Arxiv
3+阅读 · 2018年2月7日
Top
微信扫码咨询专知VIP会员