深度学习 | 一文综述所有用于推荐系统的深度学习方法

2017 年 8 月 11 日 德先生



在信息泛滥的时代,如何快速高效地萃取出有价值信息成为人们的当务之急,传统的推荐系统由此应运而生;而在诸多领域硕果累累的深度学习也被应用于推荐系统,为后者注入新的动力。机器之心编译的这篇论文,对深度学习在推荐系统中的应用现状作了综述性调研,以期进一步推动推荐系统研究的进展;对于发现的新问题,文中也给出了潜在的解决方案。 



随着线上信息的体量、复杂度和动态性的不断增长,推荐系统已经成为了一种可以有效解决这种信息过载问题的关键性解决方案。近几年,深度学习的革命性进步在语音识别、图像分析和自然语言处理方面都受到了广泛关注。与此同时,近期的一些研究也说明了深度学习在处理信息检索和推荐任务中的有效性。由于其一流的性能表现和高质量的推荐结果,将深度学习应用于推荐系统已经获得了动力。与传统推荐模型相比,深度学习可以更好的理解用户需求、项目特征及其之间的历史性互动。


本文旨在为近期推动推荐系统研究的基于深度学习的推荐方法提供一份综述评论。同时提出一种基于深度学习推荐模型的分类体系(taxonomy),用于对那些被调查的文章进行分类。在分析回顾相关工作成果的基础上我们发现了尚待解决的问题,潜在的解决方案也将被讨论。


二维分类方法与定性分析:



图 1:基于深度学习的推荐系统分类的二维体系,左侧部分对神经网络模型进行了说明,右侧部分则说明了整合模型。



图 2:(a)使用的数据集;(b)使用的评测指标;(c)最有影响力的工作。



表 2:年引用次数超过 10 次的最具影响力论文。


应用领域:



表 3:特定应用领域的推荐模型。

基于多层感知机(MP)的推荐系统


多层感知机是简明且有效的模型。它广泛应用于很多领域,尤其是工业界。多层前馈网络能够让任意的可测函数接近任意的期望精度。它也是很多高级模型的基础。



图 3:(a)神经协同过滤;(b)CCCFNet;(c)宽度&深度学习;(d)DeepFM。


基于自编码器(Autoencoders)的推荐系统


将自编码器应用于推荐系统一般有两种常用方式:(1)使用自编码器在瓶颈层(bottleneck layer)来学习低维度特征表征;或者(2)直接在重构层填充评分矩阵的空白处。



图 4:(a)I-AutoRec;(b)CFN;(c)ACF;(d)CDAE。



表 4:5 个基于自编码器的推荐模型之间的对比。


图 5:(a)协同深度学习(左)与协同深度排序(右)的图模型;(b)深度协同过滤框架。

基于卷积神经网络(CNN)的推荐系统


此种系统中的卷积神经网络大多是用于特征提取( feature extraction)的。



图 6:(a)基于 Attention 的 CNN;(b)个性化 CNN 标签推荐;(c)DeepCoNN;(d)ConvMF。


基于循环神经网络(RNN)的推荐系统


循环神经网络特别适用于处理推荐系统中的评级和序列特征的时序动态。



图 7:(a)借助 RNN 的 Session 推荐;(b)借助 RNN 的完善的 Session 推荐;(c)循环推荐网络;(d)用于标签推荐的基于 Attention 的 RNN。


基于深度语义相似性模型(DSSM)的推荐系统


深度语义相似性模型(DSSM)是一种广泛应用于信息检索领域的深度神经网络。它非常适用于排行榜(top-n)推荐。基础型 DSSM 由 MLP 组成,更高级的神经层比如卷积层和最大池化(max-pooling )层可以被很容易地添加进去。


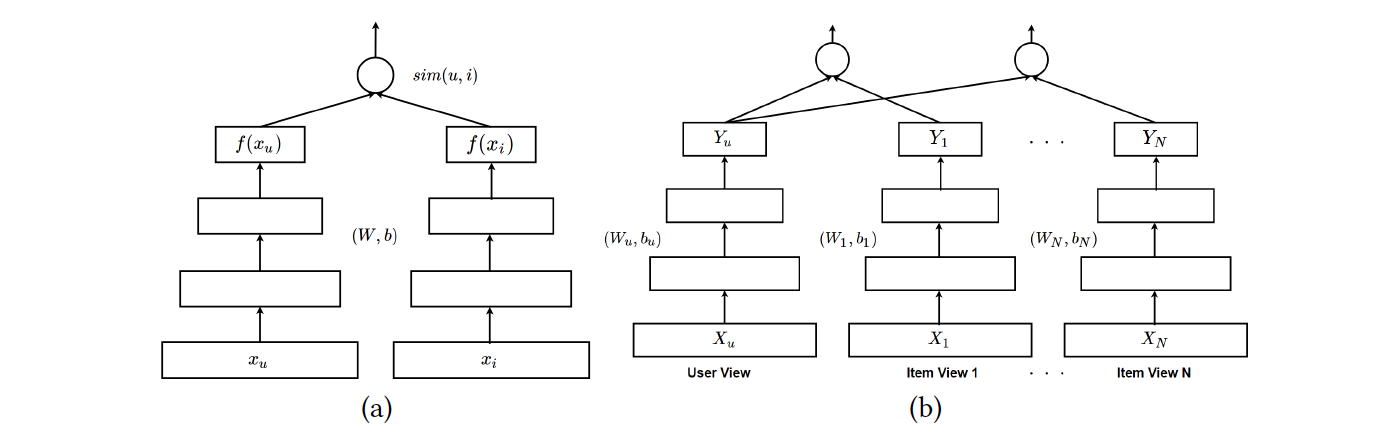
图 8:(a)基于深度语义相似性的个性化推荐;(b)多视角深度神经网络。

基于受限玻尔兹曼机(RBM)的推荐系统


图 9:(a)RBM-CF;(b)带有隐式反馈的条件性 RBM-CF;(c)基于用户和基于项目的 RBM-CF 的组合;(d)混合 RBM-CF。


新兴方法:NADE 和 GAN


NADE 提出了一种易于处理的方法,以对源数据的真实分布进行近似计算,并且可以在几个试验性数据集中产生最一流的推荐精度(与其它基于深度学习的推荐模型相比)。生成对抗网络(GAN)能够将判别模型和生成模型相融合,并且充分利用二者的优点。



图 10:(a)基于神经自回归的推荐系统;(b)IRGAN。


用于推荐系统的深度复合网络(DCM)



图 11:现有的深度复合模型。



图 12:(a)CNN 和 RNN 的引用推荐;(b)比较性深度学习模型;(c)NRT;(d)带有 CNN 的深度语义相似性模型(DSSM)



识别二维码,进入德先生旗下求知书店,选购更多德先生推荐书籍



德先生精彩文章回顾

在公众号会话位置回复以下关键词,查看德先生往期文章!


人工智能|类脑研究|人机大战|机器人

虚拟现实|无人驾驶|智能制造|无人机

科研创新|网络安全|数据时代|区块链

……


更多精彩文章正在赶来,敬请期待!

点击“阅读原文”,移步求知书店,可查阅选购德先生推荐书籍。


登录查看更多
0

相关内容

推荐系统,是指根据用户的习惯、偏好或兴趣,从不断到来的大规模信息中识别满足用户兴趣的信息的过程。推荐推荐任务中的信息往往称为物品(Item)。根据具体应用背景的不同,这些物品可以是新闻、电影、音乐、广告、商品等各种对象。推荐系统利用电子商务网站向客户提供商品信息和建议,帮助用户决定应该购买什么产品,模拟销售人员帮助客户完成购买过程。个性化推荐是根据用户的兴趣特点和购买行为,向用户推荐用户感兴趣的信息和商品。随着电子商务规模的不断扩大,商品个数和种类快速增长,顾客需要花费大量的时间才能找到自己想买的商品。这种浏览大量无关的信息和产品过程无疑会使淹没在信息过载问题中的消费者不断流失。为了解决这些问题,个性化推荐系统应运而生。个性化推荐系统是建立在海量数据挖掘基础上的一种高级商务智能平台,以帮助电子商务网站为其顾客购物提供完全个性化的决策支持和信息服务。

知识荟萃

精品入门和进阶教程、论文和代码整理等

更多

查看相关VIP内容、论文、资讯等
基于深度学习的多标签生成研究进展
专知会员服务
147+阅读 · 2020年4月25日
专知会员服务
164+阅读 · 2020年4月21日
专知会员服务
201+阅读 · 2020年3月6日
【综述】金融领域中的深度学习,附52页论文下载
专知会员服务
165+阅读 · 2020年2月27日
南洋理工大学,深度学习推荐系统综述
专知会员服务
176+阅读 · 2019年10月14日
深度学习视频中多目标跟踪:论文综述
专知会员服务
94+阅读 · 2019年10月13日
深度学习自然语言处理综述,266篇参考文献
专知会员服务
231+阅读 · 2019年10月12日
初学者系列:推荐系统Wide & Deep Learning详解
基于深度学习的NLP 32页最新进展综述,190篇参考文献
人工智能学家
28+阅读 · 2018年12月4日
深度学习在推荐系统中的应用综述(最全)
七月在线实验室
17+阅读 · 2018年5月5日
收藏 | 就喜欢看综述论文:情感分析中的深度学习
黑龙江大学自然语言处理实验室
3+阅读 · 2018年2月1日
就喜欢看综述论文:情感分析中的深度学习
机器之心
13+阅读 · 2018年1月26日
深度学习在推荐系统上的应用
AI研习社
7+阅读 · 2018年1月24日
深度学习时代的推荐系统
大数据技术
8+阅读 · 2018年1月6日
Anomalous Instance Detection in Deep Learning: A Survey
Arxiv
8+阅读 · 2019年5月20日
Learning to Focus when Ranking Answers
Arxiv
5+阅读 · 2018年8月8日
Arxiv
9+阅读 · 2018年1月30日
Arxiv
5+阅读 · 2017年7月23日
VIP会员
相关VIP内容
基于深度学习的多标签生成研究进展
专知会员服务
147+阅读 · 2020年4月25日
专知会员服务
164+阅读 · 2020年4月21日
专知会员服务
201+阅读 · 2020年3月6日
【综述】金融领域中的深度学习,附52页论文下载
专知会员服务
165+阅读 · 2020年2月27日
南洋理工大学,深度学习推荐系统综述
专知会员服务
176+阅读 · 2019年10月14日
深度学习视频中多目标跟踪:论文综述
专知会员服务
94+阅读 · 2019年10月13日
深度学习自然语言处理综述,266篇参考文献
专知会员服务
231+阅读 · 2019年10月12日
相关资讯
初学者系列:推荐系统Wide & Deep Learning详解
基于深度学习的NLP 32页最新进展综述,190篇参考文献
人工智能学家
28+阅读 · 2018年12月4日
深度学习在推荐系统中的应用综述(最全)
七月在线实验室
17+阅读 · 2018年5月5日
收藏 | 就喜欢看综述论文:情感分析中的深度学习
黑龙江大学自然语言处理实验室
3+阅读 · 2018年2月1日
就喜欢看综述论文:情感分析中的深度学习
机器之心
13+阅读 · 2018年1月26日
深度学习在推荐系统上的应用
AI研习社
7+阅读 · 2018年1月24日
深度学习时代的推荐系统
大数据技术
8+阅读 · 2018年1月6日
Top
微信扫码咨询专知VIP会员