卷积神经网络系列之softmax,softmax loss和cross entropy的讲解

2019 年 4 月 11 日 极市平台

加入极市专业CV交流群,与6000+来自腾讯,华为,百度,北大,清华,中科院等名企名校视觉开发者互动交流!更有机会与李开复老师等大牛群内互动!

同时提供每月大咖直播分享、真实项目需求对接、干货资讯汇总,行业技术交流点击文末“阅读原文”立刻申请入群~

作者简介

魏凯峰:计算机视觉、深度学习、机器学习爱好者,CSDN博客专家“AI之路”。


我们知道卷积神经网络(CNN)在图像领域的应用已经非常广泛了,一般一个CNN网络主要包含卷积层,池化层(pooling),全连接层,损失层等。虽然现在已经开源了很多深度学习框架(比如MxNet,Caffe等),训练一个模型变得非常简单,但是你对这些层具体是怎么实现的了解吗?你对softmax,softmax loss,cross entropy了解吗?相信很多人不一定清楚。虽然网上的资料很多,但是质量参差不齐,常常看得眼花缭乱。为了让大家少走弯路,特地整理了下这些知识点的来龙去脉,希望不仅帮助自己巩固知识,也能帮到他人理解这些内容。


这一篇主要介绍全连接层和损失层的内容,算是网络里面比较基础的一块内容。先理清下从全连接层到损失层之间的计算。来看下面这张图,来自参考资料1(自己实在懒得画图了)。



这张图的等号左边部分就是全连接层做的事,W是全连接层的参数,我们也称为权值,X是全连接层的输入,也就是特征。从图上可以看出特征X是N*1的向量,这是怎么得到的呢?这个特征就是由全连接层前面多个卷积层和池化层处理后得到的,假设全连接层前面连接的是一个卷积层,这个卷积层的输出是100个特征(也就是我们常说的feature map的channel为100),每个特征的大小是4*4,那么在将这些特征输入给全连接层之前会将这些特征flat成N*1的向量(这个时候N就是100*4*4=1600)。解释完X,再来看W,W是全连接层的参数,是个T*N的矩阵,这个N和X的N对应,T表示类别数,比如你是7分类,那么T就是7。我们所说的训练一个网络,对于全连接层而言就是寻找最合适的W矩阵。因此全连接层就是执行WX得到一个T*1的向量(也就是图中的logits[T*1]),这个向量里面的每个数都没有大小限制的,也就是从负无穷大到正无穷大。然后如果你是多分类问题,一般会在全连接层后面接一个softmax层,这个softmax的输入是T*1的向量,输出也是T*1的向量(也就是图中的prob[T*1],这个向量的每个值表示这个样本属于每个类的概率),只不过输出的向量的每个值的大小范围为0到1。


现在你知道softmax的输出向量是什么意思了,就是概率,该样本属于各个类的概率!


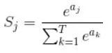
那么softmax执行了什么操作可以得到0到1的概率呢?先来看看softmax的公式(以前自己看这些内容时候对公式也很反感,不过静下心来看就好了):



公式非常简单,前面说过softmax的输入是WX,假设模型的输入样本是I,讨论一个3分类问题(类别用1,2,3表示),样本I的真实类别是2,那么这个样本I经过网络所有层到达softmax层之前就得到了WX,也就是说WX是一个3*1的向量,那么上面公式中的aj就表示这个3*1的向量中的第j个值(最后会得到S1,S2,S3);而分母中的ak则表示3*1的向量中的3个值,所以会有个求和符号(这里求和是k从1到T,T和上面图中的T是对应相等的,也就是类别数的意思,j的范围也是1到T)。因为e^x恒大于0,所以分子永远是正数,分母又是多个正数的和,所以分母也肯定是正数,因此Sj是正数,而且范围是(0,1)。如果现在不是在训练模型,而是在测试模型,那么当一个样本经过softmax层并输出一个T*1的向量时,就会取这个向量中值最大的那个数的index作为这个样本的预测标签。


因此我们训练全连接层的W的目标就是使得其输出的WX在经过softmax层计算后其对应于真实标签的预测概率要最高。


举个例子:假设你的WX=[1,2,3],那么经过softmax层后就会得到[0.09,0.24,0.67],这三个数字表示这个样本属于第1,2,3类的概率分别是0.09,0.24,0.67。


———————————–华丽的分割线——————————————


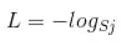
弄懂了softmax,就要来说说softmax loss了。 

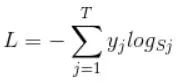
那softmax loss是什么意思呢?如下:



首先L是损失。Sj是softmax的输出向量S的第j个值,前面已经介绍过了,表示的是这个样本属于第j个类别的概率。yj前面有个求和符号,j的范围也是1到类别数T,因此y是一个1*T的向量,里面的T个值,而且只有1个值是1,其他T-1个值都是0。那么哪个位置的值是1呢?答案是真实标签对应的位置的那个值是1,其他都是0。所以这个公式其实有一个更简单的形式:



当然此时要限定j是指向当前样本的真实标签。


来举个例子吧。假设一个5分类问题,然后一个样本I的标签y=[0,0,0,1,0],也就是说样本I的真实标签是4,假设模型预测的结果概率(softmax的输出)p=[0.1,0.15,0.05,0.6,0.1],可以看出这个预测是对的,那么对应的损失L=-log(0.6),也就是当这个样本经过这样的网络参数产生这样的预测p时,它的损失是-log(0.6)。那么假设p=[0.15,0.2,0.4,0.1,0.15],这个预测结果就很离谱了,因为真实标签是4,而你觉得这个样本是4的概率只有0.1(远不如其他概率高,如果是在测试阶段,那么模型就会预测该样本属于类别3),对应损失L=-log(0.1)。那么假设p=[0.05,0.15,0.4,0.3,0.1],这个预测结果虽然也错了,但是没有前面那个那么离谱,对应的损失L=-log(0.3)。我们知道log函数在输入小于1的时候是个负数,而且log函数是递增函数,所以-log(0.6) < -log(0.3) < -log(0.1)。简单讲就是你预测错比预测对的损失要大,预测错得离谱比预测错得轻微的损失要大。


———————————–华丽的分割线———————————–


理清了softmax loss,就可以来看看cross entropy了。 

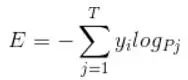
corss entropy是交叉熵的意思,它的公式如下:



是不是觉得和softmax loss的公式很像。当cross entropy的输入P是softmax的输出时,cross entropy等于softmax loss。Pj是输入的概率向量P的第j个值,所以如果你的概率是通过softmax公式得到的,那么cross entropy就是softmax loss。这是我自己的理解,如果有误请纠正。


参考资料1:

http://eli.thegreenplace.net/2016/the-softmax-function-and-its-derivative/




*延伸阅读

从最优化的角度看待 Softmax 损失函数

一文道尽softmax loss及其变种



点击左下角阅读原文”,即可申请加入极市目标跟踪、目标检测、工业检测、人脸方向、视觉竞赛等技术交流群,更有每月大咖直播分享、真实项目需求对接、干货资讯汇总,行业技术交流,一起来让思想之光照的更远吧~



觉得有用麻烦给个好看啦~  

登录查看更多
3

相关内容

【CVPR 2020-商汤】8比特数值也能训练卷积神经网络模型
专知会员服务
26+阅读 · 2020年5月7日
一网打尽!100+深度学习模型TensorFlow与Pytorch代码实现集合
【书籍】深度学习框架:PyTorch入门与实践(附代码)
专知会员服务
167+阅读 · 2019年10月28日
初学者的 Keras:实现卷积神经网络
Python程序员
24+阅读 · 2019年9月8日
神经网络训练tricks
极市平台
6+阅读 · 2019年4月15日
人脸识别损失函数综述(附开源实现)
极市平台
29+阅读 · 2019年3月12日
一文道尽softmax loss及其变种
极市平台
14+阅读 · 2019年2月19日
深度学习面试100题(第56-60题)
七月在线实验室
9+阅读 · 2018年7月23日
全连接网络到卷积神经网络逐步推导
炼数成金订阅号
7+阅读 · 2018年4月25日
CNN 反向传播算法推导
统计学习与视觉计算组
30+阅读 · 2017年12月29日
从LeNet-5到DenseNet
AI研习社
9+阅读 · 2017年11月18日
Tensorflow卷积神经网络
全球人工智能
13+阅读 · 2017年10月14日
卷积神经网络(CNN)学习笔记1:基础入门
黑龙江大学自然语言处理实验室
14+阅读 · 2016年6月16日
Efficient and Effective $L_0$ Feature Selection
Arxiv
5+阅读 · 2018年8月7日
Arxiv
29+阅读 · 2018年4月6日
VIP会员
相关资讯
初学者的 Keras:实现卷积神经网络
Python程序员
24+阅读 · 2019年9月8日
神经网络训练tricks
极市平台
6+阅读 · 2019年4月15日
人脸识别损失函数综述(附开源实现)
极市平台
29+阅读 · 2019年3月12日
一文道尽softmax loss及其变种
极市平台
14+阅读 · 2019年2月19日
深度学习面试100题(第56-60题)
七月在线实验室
9+阅读 · 2018年7月23日
全连接网络到卷积神经网络逐步推导
炼数成金订阅号
7+阅读 · 2018年4月25日
CNN 反向传播算法推导
统计学习与视觉计算组
30+阅读 · 2017年12月29日
从LeNet-5到DenseNet
AI研习社
9+阅读 · 2017年11月18日
Tensorflow卷积神经网络
全球人工智能
13+阅读 · 2017年10月14日
卷积神经网络(CNN)学习笔记1:基础入门
黑龙江大学自然语言处理实验室
14+阅读 · 2016年6月16日
Top
微信扫码咨询专知VIP会员