图像压缩哪家强?请看这份超详细对比

2018 年 7 月 10 日 PaperWeekly



在碎片化阅读充斥眼球的时代,越来越少的人会去关注每篇论文背后的探索和思考。


在这个栏目里,你会快速 get 每篇精选论文的亮点和痛点,时刻紧跟 AI 前沿成果。


点击本文底部的「阅读原文」即刻加入社区,查看更多最新论文推荐。

这是 PaperDaily 的第 88 篇文章


本期推荐的论文笔记来自 PaperWeekly 社区用户 @TwistedW本文来自早稻田大学,论文用精炼的语言对比了几类图像生成模型,将卷积自编码器(CAE)、生成对抗网络(GAN)和超分辨率(SR)在生成图像性能上做了比较。通过提取图像紧凑的特征,文章得出 CAE 比 JPEG 具有更好的编码效率,GAN 显示出在大压缩比和高主观质量重建方面的潜在优势,超分辨率在其中实现了最佳的速率失真(RD)性能,与 BPG 相当。

如果你对本文工作感兴趣,点击底部阅读原文即可查看原论文。

关于作者:武广,合肥工业大学硕士生,研究方向为图像生成。

■ 论文 | Performance Comparison of Convolutional AutoEncoders, Generative Adversarial Networks and Super-Resolution for Image Compression

■ 链接 | https://www.paperweekly.site/papers/2085

■ 作者 | Zhengxue Cheng / Heming Sun / Masaru Takeuchi / Jiro Katto


图像压缩在计算机视觉领域占据着比较重要的位置,随着 GAN,VAE 和超分辨率图像让生成模型得到了很大的进步。不同的模型有着不同的性能优势,本文用精炼的语言加上较为严谨的实验对比了 GAN,CAE 和 super-resolution 在图像压缩性能上的优势


论文引入


图像压缩一直是图像处理领域的一个基础和重要的研究课题。传统的图像压缩算法,如 JPEG,JPEG2000 和 BPG,依赖于手工制作的编码器。深度学习方法的发展提高了图像压缩的性能,其中比较有突破的图像压缩是在 Autoencoder,GAN 和超分辨率方面。


这篇论文提出了三种架构,分别使用卷积自动编码器(CAE),GAN 和超分辨率(SR)进行有损图像压缩。此外,还对它们的编码性能并进行了全面的比较。 


实验结果表明,由于 Autoencoder 可以紧凑表示特性,CAE 可以实现比 JPEG 更高的编码效率;GAN 显示出在大压缩比和高主观质量重建方面的潜在优势;超分辨率在三种方法中实现了最佳的速率失真(RD)性能。 


总结一下论文的贡献: 


  • 基于 CAE,GAN,SR 提出了三种整体压缩体系结构 

  • 对这三种框架做了全面的性能比较


CAE用于图像压缩


文中将图像压缩中的 DCT 和小波变换换成了 CAE(卷积自编码器),整体架构如下图所示:



上图比较符合传统的图像压缩的流程,不过主要的框架是在 CAE 的基础上建立的。连续的下采样操作会破坏重建图像的质量,所以 Autoencoder 采用卷积滤波器执行上下采样,CAE 的内部结构如下图:



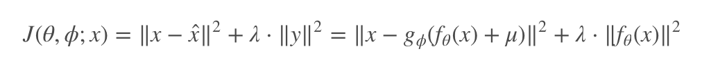
内部卷积层之后的激活函数采用的是参数整流线性单元(PReLU)函数,而不是相关工作中常用的 ReLU,因为我们发现 PReLU 可以与 ReLU 相比时,提高了重建图像的质量,尤其是在高比特率。整体的损失函数定义为:



其中为 MSE 损失,x 是原始图像 x̂ 是重构图像,μ 是均值噪声,fθ(x) 是 x 经过 encoder 得到的编码函数,gϕ(y) 为解码得到的解码函数。


GAN用于图像压缩


我们都知道 GAN 多用于图像的生成,图像的压缩也需要在 GAN 的基础上做一些小小的改变,那就是在生成器前面加上一个编码器,这样就可以把图像 encode 到适合 G 生成即可,这个编码器的结构和判别器类似,GAN 做图像压缩的整体框架如下:



这个模型框架结构很清晰,不需要太多的解释,判别器可以提高输出图像的真实性,损失函数为:



这里只写非对抗损失函数部分,对抗损失函数和原始 GAN 是一致的。JG(x) 包含两部分,前半部分是 MSE 损失,后半部分是减小特征层的损失可有利于图像的高质量重建。


基于 GAN 的体系结构与基于 CAE 的体系结构在图像压缩中有三个不同之处。首先,直接输入 RGB 分量,因此不应用从 RGB 到 YCbCr 的色彩空间转换;其次,不在训练过程中添加统一的噪音,因为 GAN 会从噪音中继承重建图像。第三,使用范围编码器,而不是 JPEG2000 熵编码器。


SR用于图像压缩


超分辨率压缩结构如下图所示:



对于具有复杂纹理或小分辨率的图像,SR 将成为高质量重建的瓶颈。因此,在编码器中构建重建循环且为自适应策略,该循环计算仅由 SR 引起的失真,即上图中的 Pre PSNR。


当 Pre PSNR 大于预定阈值时,图像被下采样到(0.5W,0.5H)并且在解码之后进行 SRCNN 滤波。否则,将图像下采样到(0.7W,0.7H),自适应策略的效果如下表。实验中阈值设置为 33.0 dB,并且选择约 30% 的图像以使用 SRCNN 滤波器。



性能比较


为了测量编码效率,通过每像素比特(bpp)来测量速率。PSNR(dB)和 MS-SSIM 分别用于测量客观和主观质量。


CAE 


由于 CAE 生成的特征图不是能量紧凑的,所以还要用 PCA 进一步去相关特征图。PCA 生成的特征映射和旋转特征映射的示例如下图所示。



可以看到,在右下角生成了更多的零,在旋转的特征映射中,大值居中于左上角,这有利于熵编码器降低速率。与 JPEG2000 相比,基于 CAE 的方法优于 JPEG,并且在 Kodak 数据集图像上实现了 13.7% 的 BD 率减少。


GAN


GAN 的图像压缩在 CLIC 验证数据集上进行了性能比较实验:



其中 bpp 越小越好,PSNR 越大越好,MS-SSIM 越大越好!可以看出 GAN 的一定优势。 


对比结果 


实验在 CLIC 验证数据集进行公平评估。具有 MS-SSIM 和 PSNR 的 RD 曲线如下图。超分辨率的 RD 曲线很短,因为它是通过用 BPG 编解码器中的固定量化参数(QP) 值改变自适应策略中的阈值来进行的。通过改变 QP,超分辨率还可以实现广泛的 RD 曲线。



从 RD 曲线总结了几个观察结果:


1. 由于自动编码器的固有特性,在有损压缩的情况下,CAE 优于 JPEG。自动编码器可以减少尺寸以从图像中提取压缩的演示文稿,因此 CAE 优于 JPEG 和 JPEG2000。


2. GAN 在低比特率下比在高比特率下表现更好,因此 GAN 倾向于实现大的压缩比。同时,GAN 在 MS-SSIM 上的性能优于 PSNR,因为 GAN 的重建是基于图像数据的分布,肉眼更加认同。特别是对于 MS-SSIM,GAN 具有从 0.2bpp 到 0.8bpp 的稳定性能。


3. SR 在这三种方法中实现了最佳性能,因为它具有新兴算法 BPG 和基于机器学习的超分辨率滤波器的优点。如果可以提供更多的计算资源,那么通过添加更好的超分辨率滤波器,可以预期有希望的结果将超过 BPG。


下表是在速率约为 0.15bpp 的三种方法的比较:



可以看出基于 SR 的方法与 BPG 非常接近,基于 GAN 和 CAE 的体系结构优于 JPEG,特别是 GAN 和 CAE 具有相似的 PSNR,但就相对主观的 MS-SSIM 而言,GAN 比 CAE 更好。

总结


论文提出了三种使用 CAE,GAN 和 SR 进行压缩的体系结构,并讨论了它们的性能。结果表明:


  • CAE 比传统的有限压缩变换更好,并且有望用作特征提取器;

  • GAN 显示出对大压缩比和主观质量重建的潜在优势;

  • 基于 SR 的压缩实现了其中最佳的编码性能。

本文由 AI 学术社区 PaperWeekly 精选推荐,社区目前已覆盖自然语言处理、计算机视觉、人工智能、机器学习、数据挖掘和信息检索等研究方向,点击「阅读原文」即刻加入社区!



点击标题查看更多论文解读: 




关于PaperWeekly


PaperWeekly 是一个推荐、解读、讨论、报道人工智能前沿论文成果的学术平台。如果你研究或从事 AI 领域,欢迎在公众号后台点击「交流群」,小助手将把你带入 PaperWeekly 的交流群里。


▽ 点击 | 阅读原文 | 查看原论文

登录查看更多
5

相关内容

收缩自编码器(contractive autoencoder,CAE)是一种正则自编码器。它在编码h=f(x)的基础上添加了显示的正则项,鼓励 f 的导数尽可能小,它的惩罚项Ω(h) 是平方Frobenius范数(元素平方的和),作用于与编码器的函数相关偏导数的Jacobian矩阵。
【ICML2020】对比多视角表示学习
专知会员服务
53+阅读 · 2020年6月28日
轻量级神经网络架构综述
专知会员服务
97+阅读 · 2020年4月29日
3D目标检测进展综述
专知会员服务
193+阅读 · 2020年4月24日
深度神经网络模型压缩与加速综述
专知会员服务
130+阅读 · 2019年10月12日
概览CVPR 2018神经网络图像压缩领域进展
论智
13+阅读 · 2018年6月13日
一文读懂图像压缩算法
七月在线实验室
17+阅读 · 2018年5月2日
如何设计基于深度学习的图像压缩算法
论智
41+阅读 · 2018年4月26日
基于GAN的极限图像压缩框架
论智
12+阅读 · 2018年4月15日
一场深度学习引发的图像压缩革命
极市平台
8+阅读 · 2018年3月30日
选对论文,效率提升50% | 本周值得读
PaperWeekly
5+阅读 · 2018年3月9日
Talking-Heads Attention
Arxiv
15+阅读 · 2020年3月5日
Heterogeneous Deep Graph Infomax
Arxiv
12+阅读 · 2019年11月19日
Self-Attention Graph Pooling
Arxiv
5+阅读 · 2019年4月17日
Arxiv
8+阅读 · 2018年5月21日
VIP会员
相关资讯
概览CVPR 2018神经网络图像压缩领域进展
论智
13+阅读 · 2018年6月13日
一文读懂图像压缩算法
七月在线实验室
17+阅读 · 2018年5月2日
如何设计基于深度学习的图像压缩算法
论智
41+阅读 · 2018年4月26日
基于GAN的极限图像压缩框架
论智
12+阅读 · 2018年4月15日
一场深度学习引发的图像压缩革命
极市平台
8+阅读 · 2018年3月30日
选对论文,效率提升50% | 本周值得读
PaperWeekly
5+阅读 · 2018年3月9日
Top
微信扫码咨询专知VIP会员