【Embedding】Node2Vec:一种有偏的随机游走

2020 年 5 月 12 日 AINLP

1. Introduction

我们今天看的论文是斯坦福大学的同学 2016 年发表于的 ACM 的论文——《node2vec: Scalable Feature Learning for Networks》,到目前为止已经被引用 2600 多次。

在这篇论文中作者提出了一个半监督学习算法——Node2Vec,采用了有偏的随机游走算法并结合 Skip-gram 算法学习 Network Embedding,Node2Vec 可以通过参数设置来控制搜索策略,从而有效的平衡了 Embedding 的同质性和结构有效性。

接下来我们来看一下 Node2Vec 的具体实现。

2. Node2Vec

首先引入用于学习节点 Embedding 的 Skip-gram 算法,并给出目标函数为:

其中,u 为节点, 为节点 u 通过采样策略 S 得到的邻居, 是一个映射矩阵,相当于 Work2Vec 中的输入向量。

为简便起见,我们给出两个假设:

  • 条件独立性假设:假设观察一个节点的领域与观察其他节点的领域相互独立,所以我们有:

  • 特征空间对称型假设:在特征空间中,源节点与邻节点相互对称。所以我们有:

基于上面的假设,目标函数改为

其中  ,由于计算代价昂贵,所以我们用 Negative Sampling 进行优化。

2.1 Search Strategies

由于网络是非线形的,所以我们需要一个策略来为 Skip-gram 提供一个线形的输入。一种常见的策略是通过游走的方式来对于给定源节点 u 的不同邻域进行采样,邻域  不仅限与邻近的节点,而是与采样策略 S 有关。

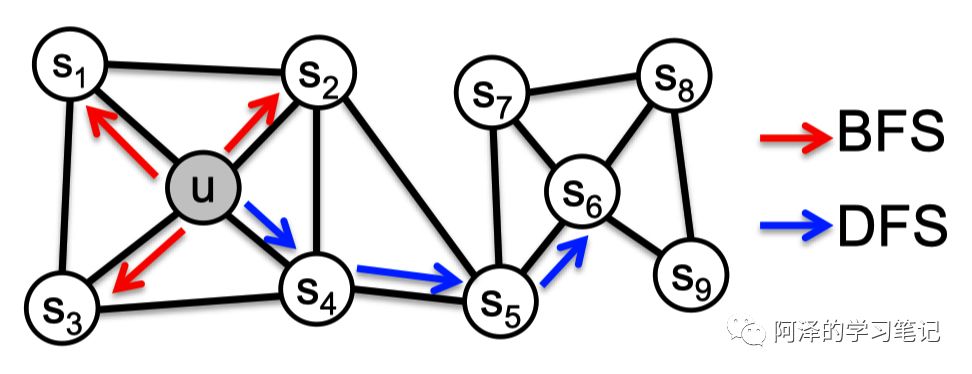
在评价网络节点的相似性我们有同质性结构等价性两个概念。

  • 同质性是指同属于一个集群的两个节点更加相似,如下图的节点 S1 和节点 u;
  • 结构等价性是指两个具有相似结构的节点更加相似,如下图的节点 S6 和节点 u。

那么为了更能体现出网络的结构性,我们应该是用 BFS 采集还是 DFS 采集?这里可以简单思考一下。

答案是:BFS 可以获得每个节点的邻居,强调的是局部微观视图,所以通过 BFS 采样的网络更能体现网络的局部结构,从而 Embedding 结果更能体现结构性;而 DFS 可以探索更大的网络结构,只有从更高的角度才能观察到更大的集群,所以其 Embedding 结果更能体现同质性。

这个答案是不是与我们的直觉有所相悖?

2.2 Biased Random Walk

我们先给出随机游走的公式:

其中, 表示第 i 次游走, 表示节点之间的转移概率,Z 为常数。

如果需要产生有偏的随机游走,一个比较简单的方法是令  ,但这样就没法适应不同网络结构,也不能引导我们的程序去探索不同类型的网络邻居。另外这里有偏随机游走策略应该是统筹 BFS 和 DFS 的,以平衡同质性和结构等价性。

所以我们定义了一个非标准的转移概率 :

其中:

其中, 表示节点 t 和节点 x 之间的最短路径,取值为 {0, 1, 2}。

我们结合下图来理解:

假设随机游走刚通过节点 t 来到节点 v,现在考虑接下来的转移概率,节点  与 节点 t 的最短路径为 1 所以  ,节点  与节点 t 的最短路径为 2 所以  ,同理节点 

直觉来看,参数 p 和 q 可以用来引导游走,近似地在 BFS 和 DFS 之间穿插,从而反映出不同节点在同质性和结构性上的亲和力。

  • Return parameter, p:参数 p 允许搜索程序重新访问遍历过的节点,其值越高,越不可能搜索已访问过的节点;
  • In-out parameter, q:参数 q 允许搜索程序区分“向内”和“向外”的节点。如果 q > 1 则,倾向于访问靠近节点 t 的节点,类似于 BFS 策略;反之,倾向于访问远离节点 t 的节点,类似于 DFS 策略。

最初的随机游走算法由于要存储所有的边,所以空间复杂度为  ,而有偏置的随机游走空间复杂度为: ,其中 a 是网络节点的平均度数,其值通常非常小。

Node2Vec 的随机游走方法兼容了 DFS 和 BFS 的优点,并且具有较低的时间复杂度和空间复杂度。现在我们来看下 Node2Vec 的伪代码:

Node2Vec 的算法共分为三个部分:预处理计算转移概率(PreprocessModifiedWeights,这个可以实现计算好),有偏置的随机游走(Node2VecWalk,加权采样使用的是 Alias 算法,我们在 LINE 那片论文里介绍过这个算法,其事件复杂度为 O(1))和异步随机梯度下降。每个阶段都可以并行化处理,这有助于加速 Node2Vec 算法的训练。

2.3 Learning Edge Feature

这篇文章还有一个创新的地方在于:除了原本的 Embedding 任务还给出了边的预测的任务。对于两个节点 u 和 v,其 Embedding 向量  可以映射一个新的 Embedding  ,例如  。其中, 是映射后节点对 (u,v) 的 Embedding 维度。可选的操作有:

3. Experience

来简单看一下实验,对比的实验除了 DeepWalk、LINE 外,还有谱聚类,实验目标是多分类,评价指标为 Macro-F1 和  Micro-F1:

来看下 Node2Vec 关于同质性和结构等价性的效果,下图为 Node2Vec 生成《悲惨世界》共现网络的可视化图,标签颜色可以反映同质性(上)和结构等价性(下)。图片的上半部分参数值为 p=1, q=0.5,图片的下半部分参数值为 p=1, q=2。

再来看下参数敏感性:

最后看一下边的预测:

上图的第一行是一些指标,用于评测数据集,评测方法如下:

4. Conclusion

一句话总结:Node2Vec 是一个新的 NetWork Embedding 算法,其综合 BFS 和 DFS 优缺点,提出了有偏的随机游走算法,最终的实验表明其具有良好的性能和可伸缩性。

从这篇文章中我们可以学到:

  1. 一种新的 Network Embedding 算法——Node2Vec;
  2. 有偏的随机游走算法;
  3. BFS 和 DFS 采样方法带来的结构性和同质性;
  4. 一种边预测的判定条件。

5. Reference

  1. 《node2vec: Scalable Feature Learning for Networks》
  2. 《关于Node2vec算法中Graph Embedding同质性和结构性的进一步探讨》


推荐阅读

AINLP年度阅读收藏清单

学自然语言处理,其实更应该学好英语

斯坦福大学NLP组Python深度学习自然语言处理工具Stanza试用

DistilBERT Understanding

太赞了!Springer面向公众开放电子书籍,附65本数学、编程、机器学习、深度学习、数据挖掘、数据科学等书籍链接及打包下载

数学之美中盛赞的 Michael Collins 教授,他的NLP课程要不要收藏?

自动作诗机&藏头诗生成器:五言、七言、绝句、律诗全了

模型压缩实践系列之——bert-of-theseus,一个非常亲民的bert压缩方法

这门斯坦福大学自然语言处理经典入门课,我放到B站了

征稿启示 | 稿费+GPU算力+星球嘉宾一个都不少

关于AINLP

AINLP 是一个有趣有AI的自然语言处理社区,专注于 AI、NLP、机器学习、深度学习、推荐算法等相关技术的分享,主题包括文本摘要、智能问答、聊天机器人、机器翻译、自动生成、知识图谱、预训练模型、推荐系统、计算广告、招聘信息、求职经验分享等,欢迎关注!加技术交流群请添加AINLPer(id:ainlper),备注工作/研究方向+加群目的。


登录查看更多
2

相关内容

【KDD2020】自适应多通道图卷积神经网络
专知会员服务
121+阅读 · 2020年7月9日
【ICML2020】持续图神经网络,Continuous Graph Neural Networks
专知会员服务
151+阅读 · 2020年6月28日
【ICLR2020-】基于记忆的图网络,MEMORY-BASED GRAPH NETWORKS
专知会员服务
110+阅读 · 2020年2月22日
近期必读的5篇 WSDM 2020【图神经网络(GNN)】相关论文
专知会员服务
57+阅读 · 2020年1月10日
赛尔笔记 | 一文读懂图神经网络
哈工大SCIR
83+阅读 · 2019年7月12日
论文浅尝 | 一种嵌入效率极高的 node embedding 方式
开放知识图谱
13+阅读 · 2019年5月12日
KDD 18 & AAAI 19 | 异构信息网络表示学习论文解读
PaperWeekly
21+阅读 · 2019年2月25日
网络表示学习介绍
人工智能前沿讲习班
18+阅读 · 2018年11月26日
网络表示学习综述:一文理解Network Embedding
PaperWeekly
34+阅读 · 2018年8月14日
图注意力网络
科技创新与创业
35+阅读 · 2017年11月22日
图上的归纳表示学习
科技创新与创业
23+阅读 · 2017年11月9日
Position-aware Graph Neural Networks
Arxiv
15+阅读 · 2019年6月11日
Logic Rules Powered Knowledge Graph Embedding
Arxiv
7+阅读 · 2019年3月9日
Embedding Logical Queries on Knowledge Graphs
Arxiv
3+阅读 · 2019年2月19日
dynnode2vec: Scalable Dynamic Network Embedding
Arxiv
15+阅读 · 2018年12月6日
Arxiv
4+阅读 · 2018年3月22日
Arxiv
4+阅读 · 2018年2月19日
VIP会员
相关资讯
赛尔笔记 | 一文读懂图神经网络
哈工大SCIR
83+阅读 · 2019年7月12日
论文浅尝 | 一种嵌入效率极高的 node embedding 方式
开放知识图谱
13+阅读 · 2019年5月12日
KDD 18 & AAAI 19 | 异构信息网络表示学习论文解读
PaperWeekly
21+阅读 · 2019年2月25日
网络表示学习介绍
人工智能前沿讲习班
18+阅读 · 2018年11月26日
网络表示学习综述:一文理解Network Embedding
PaperWeekly
34+阅读 · 2018年8月14日
图注意力网络
科技创新与创业
35+阅读 · 2017年11月22日
图上的归纳表示学习
科技创新与创业
23+阅读 · 2017年11月9日
相关论文
Top
微信扫码咨询专知VIP会员