【复数】图解普林斯顿微积分 19

2017 年 11 月 12 日 遇见数学 遇见数学

第 28 章 复数

28.1 基础

这部分内容请查看 【不可能的数字:复数】- 图解不可不知的数学知识

若z = x + iy, 与其对应的共轭复数(complex conjugate) x-iy . z 的模(modulus) 为  x 2 + y 2 , 写作 |z| .

复数与它的共轭复数的乘积是模的平方, 即:

复指数函数(Complex exponentials)

再《幂级数和泰勒级数》一章已经知道:

如果 x 为复数 z, 就会得到一个项为复数的级数  e z  , 其中z 是任意复数, 则且级数收敛.

28.2 复平面

在复平面内将每个点看作一个复数, 而不是一对实数. 可将平面中的点用极坐标代替.

那么在复平面内极坐标为 (r, θ) 的点, 所表示的复数的笛卡尔坐标 (x= cos(θ), y=r sin(θ)) :

下面来看看数学中最著名公式之一的欧拉恒等式:

观察下图不同的 θ 值对应的  e i θ , 请留意动画停顿之处(特别是在复平面中等于 -1 的地方)

对于不在单位圆上的点, 你只需乘以 r , 也就是如果 (x,y) 和 (r,θ) 为相同的点, 则  x+i y = r  e i θ .

从上图中可以得知  e i θ  关于 θ 是周期的, 且周期为 2π . 这意味着  e i ( 3 π / 2 ) e i π / 2  .

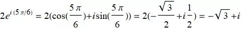
笛卡尔形式和极坐标形式互换

将极坐标形式的复数转成笛卡尔形式, 可以利用欧拉恒等式, 即  e i θ =cos( θ )+i sin( θ )  . 例如

由笛卡儿形式转换到极坐标形式要用到这个公式  r= x 2 + y 2  和  y x  . 比如对于辅助 z= 1-i 中 x=1, y=-1. 由图形知道点 (1,-1) 再第四象限, 且两种 θ 均正确(加上 2π 的任意整数倍).

28.3 复数的高次幂

极坐标形式比较容易进行乘法和取幂运算, 比如

28.4 解  z n  = w

如何解  z n =w  的方程, 其中 n 是整数, w 为复数. 这意味着要取 w 的 n 次方根. 使用极坐标形式的幂次来进行求解.

一般第, 方程有 n 个解, 当画出这些解时, 它们的顶点形成了一个正 n 多边形.

28.6 一些三角级数

三角级数是系数为  a n  和  b n  , 形如下面的级数:

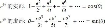
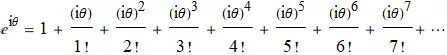
28.7 欧拉恒等式和幂级数

来看看用幂级数来证明欧拉恒等式吧:

按照之前 28.1.1 节对  e z  的定义, 将 z 替换为 iθ , 可以得到

由于i 的幂在值 1, i, -1, -i 间持续循环:

展开后整理实部系数和虚部系数, 可以推出欧拉等式   e i θ =cos( θ )+i sin( θ )


登录查看更多
1

相关内容

最新《自动微分手册》77页pdf
专知会员服务
103+阅读 · 2020年6月6日
【纽约大学】最新《离散数学》笔记,451页pdf
专知会员服务
131+阅读 · 2020年5月26日
博客 | MIT—线性代数(下)
AI研习社
6+阅读 · 2018年12月20日
合集 | 更好的解释(数学篇) 1~12
遇见数学
31+阅读 · 2018年10月11日
【机器学习数学基础】动图解释泰勒级数(一)
机器学习研究会
6+阅读 · 2018年2月25日
机器学习(29)之奇异值分解SVD原理与应用详解
机器学习算法与Python学习
6+阅读 · 2017年11月30日
图解机器学习
深度学习世界
3+阅读 · 2017年11月24日
图解高等数学|线性代数
遇见数学
39+阅读 · 2017年10月18日
GAN的数学原理
算法与数学之美
16+阅读 · 2017年9月2日
机器学习(13)之最大熵模型详解
机器学习算法与Python学习
7+阅读 · 2017年8月24日
【基础数学】- 01
遇见数学
20+阅读 · 2017年7月25日
Arxiv
9+阅读 · 2018年10月24日
Arxiv
4+阅读 · 2018年9月6日
Arxiv
6+阅读 · 2018年4月21日
Arxiv
5+阅读 · 2018年1月23日
Arxiv
27+阅读 · 2017年12月6日
VIP会员
相关VIP内容
最新《自动微分手册》77页pdf
专知会员服务
103+阅读 · 2020年6月6日
【纽约大学】最新《离散数学》笔记,451页pdf
专知会员服务
131+阅读 · 2020年5月26日
相关资讯
博客 | MIT—线性代数(下)
AI研习社
6+阅读 · 2018年12月20日
合集 | 更好的解释(数学篇) 1~12
遇见数学
31+阅读 · 2018年10月11日
【机器学习数学基础】动图解释泰勒级数(一)
机器学习研究会
6+阅读 · 2018年2月25日
机器学习(29)之奇异值分解SVD原理与应用详解
机器学习算法与Python学习
6+阅读 · 2017年11月30日
图解机器学习
深度学习世界
3+阅读 · 2017年11月24日
图解高等数学|线性代数
遇见数学
39+阅读 · 2017年10月18日
GAN的数学原理
算法与数学之美
16+阅读 · 2017年9月2日
机器学习(13)之最大熵模型详解
机器学习算法与Python学习
7+阅读 · 2017年8月24日
【基础数学】- 01
遇见数学
20+阅读 · 2017年7月25日
相关论文
Arxiv
9+阅读 · 2018年10月24日
Arxiv
4+阅读 · 2018年9月6日
Arxiv
6+阅读 · 2018年4月21日
Arxiv
5+阅读 · 2018年1月23日
Arxiv
27+阅读 · 2017年12月6日
Top
微信扫码咨询专知VIP会员