让神经网络变快变小变高效:Google AI出品的神经网络模型优化技术MorphNet

2019 年 4 月 18 日 量子位
鱼羊 编译整理
量子位 报道 | 公众号 QbitAI

想要调整你的神经网络来完成特定任务?这件事并没有想象中那么简单。

深度神经网络(DNN)是块好砖,不过想要搬动它,需要耗费的计算资源和时间成本可能非常昂贵。

现在,Google AI放出了MorphNet。他们用流行的图像分类神经网络Inception V2对其进行测试之后发现,在不牺牲精度的情况下,神经网络变得更快更小,算力消耗还减少了!

MorphNet是什么

MorphNet是一种神经网络模型优化( refinement)技术,走的是利用现有架构,针对特定任务优化的路线。

也就是说这是一个迁移学习问题。迁移学习的难点在于找出不变量,模型需要处理许多与此前训练的任务目标相近,但又不完全一样的任务,这会使模型性能大打折扣甚至崩溃。

而MorphNet的成功之处在于,只要将针对类似问题构建的神经网络作为输入,就能为新任务创造更小、更快、更合身的新架构。

MorphNet通过循环收缩和扩展两个阶段来优化神经网络。

收缩阶段

在收缩阶段,MorphNet会识别出低效神经元,并运用稀疏正则化器来修剪它们。

需要说明的是MorphNet会在考虑目标资源的情况下来计算一个神经元的损失,因此在训练过程之中,优化器能够意识到资源损失,从而认识到哪些神经元是高效的,哪些又是可以被移除的。

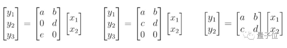
有些不明白?那么来看看下面这个例子,看MorphNet是如何计算神经网络的计算成本(如FLOPs,即每秒浮点运算次数)的:

假设一个表示为矩阵乘法的神经网络层,该层具有 2 个输入(Xn),6 个权重(a, b, …, f)以及 3 个输出(Yn;神经元)。也就是说评估这一层需要 6 次乘法。

MorphNet将乘法数视作输入数和输出数的乘积。在左侧的示例当中,虽然有两个权重为0,进行评估时仍然需要执行所有的乘法。但中间的示例显示了结构的稀疏性,MorphNet能够识别它的输出数为 2,并且该层的乘法数从 6 减少到了4。按照这个想法,MorphNet可以确定网络中每一个神经元的增量成本,以产生右侧这样更为有效的模型。

扩展阶段

在扩展阶段,MorphNet使用宽度乘数来均匀地扩展所有层的大小。

举个例子,如果扩展50%,那么对于低效层来说,神经元从 100 个收缩到 10 个之后,只会重新扩展到15个;而对于重要层来说,神经元只会从 100 个收缩到 80 个,重新扩展后则可能达到 120 个,并且获得更多可支配的资源。

也就是说,MorphNet的最终效果是将计算资源从网络中效率低的部分重新分配到效率高的部分。

MorphNet优化AI模型

效果怎么样

Google AI团队用MorphNet对Inception V2网络模型进行了训练。

图片截自论文MorphNet论文

基线方法是使用宽度乘数,通过均匀缩小每个卷积的输出数量来权衡精度和算力消耗(红色)。

MorphNet方法则直接以算力消耗为目标,在收缩模型时生成更好的权衡曲线(蓝色)。

在同等精度之下,MorphNet方法将算力消耗降低了11%到15%。

在对Inception V2的优化上MorphNet表现出色,对于其他的网络模型,MorphNet也同样好用。

图片截自论文MorphNet论文

既成功压缩了模型尺寸/ FLOPs,在质量上又几乎没有损失,果然Google出品,必属精品。

这么好用的东西,Google已经自己用起来了。Google AI团队表示,MorphNet已应用于Google多个生产规模的图像处理模型。

传送门

MorphNet现已开源。

GitHub地址:
https://github.com/google-research/morph-net

论文地址:
https://arxiv.org/pdf/1711.06798.pdf

作者系网易新闻·网易号“各有态度”签约作者


活动报名|多模态视频人物识别

加入社群

量子位AI社群开始招募啦,量子位社群分:AI讨论群、AI+行业群、AI技术群;


欢迎对AI感兴趣的同学,在量子位公众号(QbitAI)对话界面回复关键字“微信群”,获取入群方式。(技术群与AI+行业群需经过审核,审核较严,敬请谅解)


量子位 QbitAI · 头条号签约作者

վ'ᴗ' ի 追踪AI技术和产品新动态

喜欢就点「好看」吧 !

登录查看更多
1

相关内容

[ICML-Google]先宽后窄:对深度薄网络的有效训练
专知会员服务
36+阅读 · 2020年7月5日
Sklearn 与 TensorFlow 机器学习实用指南,385页pdf
专知会员服务
131+阅读 · 2020年3月15日
专知会员服务
45+阅读 · 2020年3月6日
【Google】利用AUTOML实现加速感知神经网络设计
专知会员服务
30+阅读 · 2020年3月5日
模型压缩究竟在做什么?我们真的需要模型压缩么?
专知会员服务
28+阅读 · 2020年1月16日
深度神经网络模型压缩与加速综述
专知会员服务
130+阅读 · 2019年10月12日
MorphNet:致力打造规模更小、速度更快的神经网络
谷歌开发者
6+阅读 · 2019年5月6日
谷歌提出MorphNet:网络规模更小、速度更快!
全球人工智能
4+阅读 · 2019年4月20日
谷歌 MorphNet:让你的神经网络更小但更快
机器学习算法与Python学习
5+阅读 · 2019年4月18日
已删除
将门创投
7+阅读 · 2018年11月5日
从零开始:教你如何训练神经网络
机器之心
5+阅读 · 2017年12月11日
TensorFlow神经网络教程
Python程序员
4+阅读 · 2017年12月4日
干货|浅谈神经网络中激活函数的设计
机器学习研究会
5+阅读 · 2017年10月28日
Question Generation by Transformers
Arxiv
5+阅读 · 2019年9月14日
Arxiv
11+阅读 · 2018年5月13日
Arxiv
4+阅读 · 2018年3月14日
VIP会员
相关VIP内容
[ICML-Google]先宽后窄:对深度薄网络的有效训练
专知会员服务
36+阅读 · 2020年7月5日
Sklearn 与 TensorFlow 机器学习实用指南,385页pdf
专知会员服务
131+阅读 · 2020年3月15日
专知会员服务
45+阅读 · 2020年3月6日
【Google】利用AUTOML实现加速感知神经网络设计
专知会员服务
30+阅读 · 2020年3月5日
模型压缩究竟在做什么?我们真的需要模型压缩么?
专知会员服务
28+阅读 · 2020年1月16日
深度神经网络模型压缩与加速综述
专知会员服务
130+阅读 · 2019年10月12日
相关资讯
MorphNet:致力打造规模更小、速度更快的神经网络
谷歌开发者
6+阅读 · 2019年5月6日
谷歌提出MorphNet:网络规模更小、速度更快!
全球人工智能
4+阅读 · 2019年4月20日
谷歌 MorphNet:让你的神经网络更小但更快
机器学习算法与Python学习
5+阅读 · 2019年4月18日
已删除
将门创投
7+阅读 · 2018年11月5日
从零开始:教你如何训练神经网络
机器之心
5+阅读 · 2017年12月11日
TensorFlow神经网络教程
Python程序员
4+阅读 · 2017年12月4日
干货|浅谈神经网络中激活函数的设计
机器学习研究会
5+阅读 · 2017年10月28日
Top
微信扫码咨询专知VIP会员