方程组的几何解释 [MIT线代第一课pdf下载]

2019 年 10 月 24 日 AINLP

攻读鉴于之前MIT的线代笔记没有跟新完和很多童鞋希望pdf版本下载学习,这里我把相关资源放到github上并重新更新完,希望对大家学习有所帮助。

pdf下载地址与Github地址:

https://github.com/yizhen20133868/MIT-Linear-Algebra-Notes


如有帮助,欢迎大家给个Star!!

该笔记总结了我们在学习MIT线性代数课程的学习经验和过程。

课程顺序是按照麻省理工公开课的 Linear Algebra. 记录的学习笔记。

本笔记作者介绍:
丁坤博 东北大学本科生,推免至北京大学攻读硕士
覃立波 哈尔滨工业大学SCIR实验室在读博士生,导师车万翔老师

一、知识概要

本节开始,我们一起来学习线性代数的有关知识,首节我们从解方程谈起,学 习线性代数的应用之一就是求解复杂方程问题,本节核心之一即为从行图像与列 图像的角度解方程。

二.方程组的几何解释基础

2.1 二维的行图像

我们首先通过一个例子来从行图像角度求解方程:

系数矩阵(A):将方程系数按行提取出来,构成一个矩阵

未知向量(x):将方程未知数提取出来,按列构成一个向量。

向量(b) :将等号右侧结果按列提取,构成一个向量

接下来我们通过行图像来求解这个方程:

所谓行图像,就是在系数矩阵上,一次取一行构成方程,在坐标系上作图。

和我们在初等数学中学习的作图求解方程的过程无异。

2.2 二维的列图像

接下来我们使用列图像求解此方程:


即寻找合适的 x,y 使得 x 倍的(2,-1) + y 倍的(-1,2)得到最终的向量(0,3)。在很 明显能看出来,1 倍(2,-1) + 2 倍(-1,2)即满足条件。反映在图像上,明显结果正确。


三.方程组的几何解释推广

3.1 高维行图像


如果绘制行图像,很明显这是一个三个平面相交得到一点,我们想直接看出 这个点的性质可谓是难上加难,比较靠谱的思路是先联立其中两个平面,使其相 交于一条直线,在研究这条直线与平面相交于哪个点,最后得到点坐标即为方程 的解。

这个求解过程对于三维来说或许还算合理,那四维呢?五维甚至更高维数 呢?直观上很难直接绘制更高维数的图像,这种行图像受到的限制也越来越多。

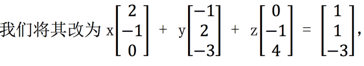
3.2 高维列图像

左侧是线性组合,右侧是合适的线性组合组成的结果,这样一来思路就清晰多 了,“寻找线性组合”成为了解题关键。


很明显这道题是一个特例,我们只需要取 x = 0,y = 0,z = 1。就得到了结 果,这在行图像之中并不明显。

当然,之所以我们更推荐使用列图像求解方程, 是因为这是一种更系统的求解方法,即寻找线性组合,而不用绘制每个行方程的 图像之后寻找那个很难看出来的点。

另外一个优势在于,如果我们改变最后的结果 b,例如本题中,

那么我们 2 −1 1 0 −3 4 −3 就重新寻找一个线性组合就够了,但是如果我们使用的是行图像呢?那意味着我 们要完全重画三个平面图像,就简便性来讲,两种方法高下立判。


另外,还要注意的一点是对任意的 b 是不是都能求解 Ax = b 这个矩阵方程呢?也就是对 3*3 的系数矩阵 A,其列的线性组合是不是都可以覆盖整个三维空间呢?对于我们举的这个例子来说,一定可以,还有我们上面 2*2 的那个例子,也可以 覆盖整个平面,但是有一些矩阵就是不行的,比如三个列向量本身就构成了一个 平面,那么这样的三个向量组合成的向量只能活动在这个平面上,肯定无法覆盖 2 −1 1 一个三维空间,

这三个向量就构

3.3 矩阵乘法

四、学习感悟

这部分内容是对线性代数概念的初涉,从解方程谈起,引进列空间的概念,可 以发现从列空间角度将求解方程变化为求列向量的线性组合,这个方式更加科学。介绍了矩阵乘法,这部分内容重在理解。

希望对大家有帮助~

下载如下资料可以访问项目地址:

https://github.com/yizhen20133868/MIT-Linear-Algebra-Notes


本文转载自公众号:机器学习算法与自然语言处理,作者:丁坤博、覃立波


推荐阅读:

2021 校招算法岗, 劝退还是继续

一文读懂最强中文NLP预训练模型ERNIE

神经网络硬核入门-反向传播(BP)算法


登录查看更多
0

相关内容

线性代数(Linear Algebra)是数学的一个分支,它的研究对象是向量,向量空间(或称线性空间),线性变换和有限维的线性方程组。向量空间是现代数学的一个重要课题;因而,线性代数被广泛地应用于抽象代数和泛函分析中;通过解析几何,线性代数得以被具体表示。线性代数的理论已被泛化为算子理论。由于科学研究中的非线性模型通常可以被近似为线性模型,使得线性代数被广泛地应用于自然科学和社会科学中。 - 题图来自「维基百科」。
【经典书】概率统计导论第五版,730页pdf
专知会员服务
249+阅读 · 2020年7月28日
专知会员服务
168+阅读 · 2020年7月27日
【干货书】图形学基础,427页pdf
专知会员服务
151+阅读 · 2020年7月12日
干货书《数据科学数学系基础》2020最新版,266页pdf
专知会员服务
323+阅读 · 2020年3月23日
【经典书】Python计算机视觉编程,中文版,363页pdf
专知会员服务
143+阅读 · 2020年2月16日
【经典书】精通机器学习特征工程,中文版,178页pdf
专知会员服务
360+阅读 · 2020年2月15日
MIT线性代数(Linear Algebra)中文笔记
专知
53+阅读 · 2019年11月4日
机器学习入门 | 刷新你三观的高数和线代教程
大数据技术
21+阅读 · 2019年3月22日
博客 | MIT—线性代数(下)
AI研习社
6+阅读 · 2018年12月20日
博客 | MIT—线性代数(上)
AI研习社
9+阅读 · 2018年12月18日
合集 | 更好的解释(数学篇) 1~12
遇见数学
31+阅读 · 2018年10月11日
入门 | 这是一份文科生都能看懂的线性代数简介
机器之心
14+阅读 · 2018年3月31日
【机器学习数学基础】动图解释泰勒级数(一)
机器学习研究会
6+阅读 · 2018年2月25日
图解高等数学|线性代数
遇见数学
39+阅读 · 2017年10月18日
GAN的数学原理
算法与数学之美
16+阅读 · 2017年9月2日
Pluralistic Image Completion
Arxiv
8+阅读 · 2019年3月11日
Implicit Maximum Likelihood Estimation
Arxiv
7+阅读 · 2018年9月24日
Arxiv
4+阅读 · 2018年4月26日
Arxiv
5+阅读 · 2018年3月16日
Arxiv
7+阅读 · 2018年1月21日
Arxiv
3+阅读 · 2017年7月6日
VIP会员
相关VIP内容
【经典书】概率统计导论第五版,730页pdf
专知会员服务
249+阅读 · 2020年7月28日
专知会员服务
168+阅读 · 2020年7月27日
【干货书】图形学基础,427页pdf
专知会员服务
151+阅读 · 2020年7月12日
干货书《数据科学数学系基础》2020最新版,266页pdf
专知会员服务
323+阅读 · 2020年3月23日
【经典书】Python计算机视觉编程,中文版,363页pdf
专知会员服务
143+阅读 · 2020年2月16日
【经典书】精通机器学习特征工程,中文版,178页pdf
专知会员服务
360+阅读 · 2020年2月15日
相关资讯
MIT线性代数(Linear Algebra)中文笔记
专知
53+阅读 · 2019年11月4日
机器学习入门 | 刷新你三观的高数和线代教程
大数据技术
21+阅读 · 2019年3月22日
博客 | MIT—线性代数(下)
AI研习社
6+阅读 · 2018年12月20日
博客 | MIT—线性代数(上)
AI研习社
9+阅读 · 2018年12月18日
合集 | 更好的解释(数学篇) 1~12
遇见数学
31+阅读 · 2018年10月11日
入门 | 这是一份文科生都能看懂的线性代数简介
机器之心
14+阅读 · 2018年3月31日
【机器学习数学基础】动图解释泰勒级数(一)
机器学习研究会
6+阅读 · 2018年2月25日
图解高等数学|线性代数
遇见数学
39+阅读 · 2017年10月18日
GAN的数学原理
算法与数学之美
16+阅读 · 2017年9月2日
相关论文
Pluralistic Image Completion
Arxiv
8+阅读 · 2019年3月11日
Implicit Maximum Likelihood Estimation
Arxiv
7+阅读 · 2018年9月24日
Arxiv
4+阅读 · 2018年4月26日
Arxiv
5+阅读 · 2018年3月16日
Arxiv
7+阅读 · 2018年1月21日
Arxiv
3+阅读 · 2017年7月6日
Top
微信扫码咨询专知VIP会员