【泡泡机器人原创专栏】IMU预积分总结与公式推导(一)

2018 年 7 月 22 日 泡泡机器人SLAM

由于文中公式上下标较多,建议采用宽屏阅读。

本文为IMU预积分总结与公式推导系列技术报告的第一篇。

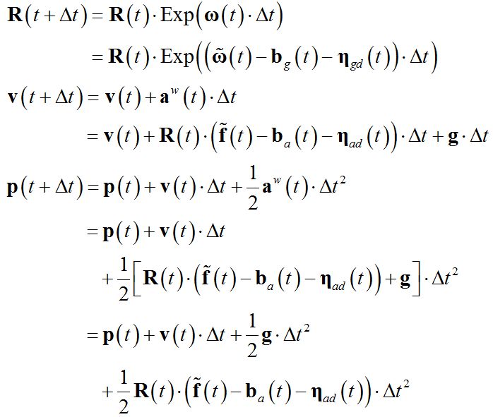
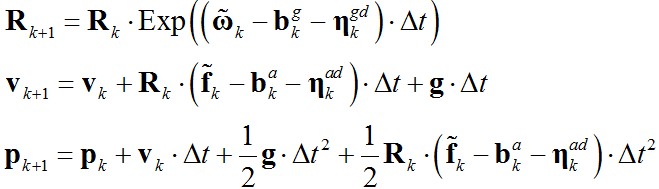
IMU预积分技术最早由T Lupton于12年提出[1],C Forster于15年[2][3][4]将其进一步拓展到李代数上,形成了一套优雅的理论体系。Forster将IMU预积分在开源因子图优化库GTSAM中进行了实现,并完成了和其另一大作SVO的组合。这套理论目前已经被广泛的应用在基于Bundle Adjustment优化框架的Visual Inertial Odometry中。其中包括VI-ORBSLAM,港科大VINS,浙大ICE-BA等。

本报告对Foster的paper[3][4]中的公式进行了详尽的推导,试图将这套优雅的理论详细地展现在读者面前,使读者对IMU预积分理论有更加完备的认识。

为了更好的理解本系列报告,推荐另外三本参考书幕[5][6][7]。

本系列报告中公式较为繁多,因此篇幅较长,将分为四篇进行推送。这是本系列的第一篇。公式中各种上下标较多,笔者已尽量做到没有错误,但难免仍有疏漏,如有任何疑问、建议或需进行探讨,请联系笔者,邮箱地址附于文末。


本期首先介绍了一些李代数知识,然后介绍了IMU预积分理论采用的IMU测量模型。这些知识将在后面的推导中被频繁的运用。

参考文献:

[1] Visual-Inertial-Aided Navigation for High-Dynamic Motion in Built Environments Without Initial Conditions

[2] On-Manifold Preintegration Theory for Fast and Accurate Visual-Inertial Navigation

[3] IMU Preintegration on Manifold for Efficient Visual-Inertial Maximum-a-Posteriori Estimation

[4] Supplementary material to: IMU preintegration on manifold for efficient visual-inertial maximum-a-posteriori estimation

[5] 《视觉SLAM十四讲》 高翔

[6] 《惯性导航》 秦永元

[7] 《State Estimation for Robotics》

本文由北航自动化学院在读博士邱笑晨投稿并编辑

如对内容有疑问和建议请联系ares43490@126.com


登录查看更多
21

相关内容

【开放书】SLAM 中的几何与学习方法,62页pdf
专知会员服务
111+阅读 · 2020年6月5日
【圣经书】《强化学习导论(2nd)》电子书与代码,548页pdf
专知会员服务
208+阅读 · 2020年5月22日
专知会员服务
42+阅读 · 2020年2月20日
人工智能学习笔记,247页pdf
专知会员服务
187+阅读 · 2019年12月14日
专知会员服务
87+阅读 · 2019年12月13日
【开源书】PyTorch深度学习起步,零基础入门(附pdf下载)
专知会员服务
114+阅读 · 2019年10月26日
【泡泡读者来稿】DSO代码解读
泡泡机器人SLAM
13+阅读 · 2019年10月21日
ICRA 2019 论文速览 | 基于Deep Learning 的SLAM
计算机视觉life
41+阅读 · 2019年7月22日
【泡泡读者来稿】VINS代码推导及论文解析(五)
泡泡机器人SLAM
29+阅读 · 2019年3月19日
【泡泡读者来稿】VINS 论文推导及代码解析(一)
泡泡机器人SLAM
115+阅读 · 2019年3月3日
【泡泡前沿追踪】跟踪SLAM前沿动态系列之IROS2018
泡泡机器人SLAM
29+阅读 · 2018年10月28日
【泡泡机器人原创专栏】语义SLAM论文阅读精华提炼
泡泡机器人SLAM
6+阅读 · 2018年10月8日
【泡泡机器人原创专栏】IMU预积分总结与公式推导(三)
泡泡机器人SLAM
10+阅读 · 2018年7月26日
【泡泡机器人】一文带你入门语义SLAM
泡泡机器人SLAM
30+阅读 · 2017年11月29日
Local Relation Networks for Image Recognition
Arxiv
4+阅读 · 2019年4月25日
Implicit Maximum Likelihood Estimation
Arxiv
7+阅读 · 2018年9月24日
Viewpoint Estimation-Insights & Model
Arxiv
3+阅读 · 2018年7月3日
Arxiv
8+阅读 · 2018年5月1日
VIP会员
相关VIP内容
【开放书】SLAM 中的几何与学习方法,62页pdf
专知会员服务
111+阅读 · 2020年6月5日
【圣经书】《强化学习导论(2nd)》电子书与代码,548页pdf
专知会员服务
208+阅读 · 2020年5月22日
专知会员服务
42+阅读 · 2020年2月20日
人工智能学习笔记,247页pdf
专知会员服务
187+阅读 · 2019年12月14日
专知会员服务
87+阅读 · 2019年12月13日
【开源书】PyTorch深度学习起步,零基础入门(附pdf下载)
专知会员服务
114+阅读 · 2019年10月26日
相关资讯
【泡泡读者来稿】DSO代码解读
泡泡机器人SLAM
13+阅读 · 2019年10月21日
ICRA 2019 论文速览 | 基于Deep Learning 的SLAM
计算机视觉life
41+阅读 · 2019年7月22日
【泡泡读者来稿】VINS代码推导及论文解析(五)
泡泡机器人SLAM
29+阅读 · 2019年3月19日
【泡泡读者来稿】VINS 论文推导及代码解析(一)
泡泡机器人SLAM
115+阅读 · 2019年3月3日
【泡泡前沿追踪】跟踪SLAM前沿动态系列之IROS2018
泡泡机器人SLAM
29+阅读 · 2018年10月28日
【泡泡机器人原创专栏】语义SLAM论文阅读精华提炼
泡泡机器人SLAM
6+阅读 · 2018年10月8日
【泡泡机器人原创专栏】IMU预积分总结与公式推导(三)
泡泡机器人SLAM
10+阅读 · 2018年7月26日
【泡泡机器人】一文带你入门语义SLAM
泡泡机器人SLAM
30+阅读 · 2017年11月29日
Top
微信扫码咨询专知VIP会员