TDM: 基于树的深度学习模型在阿里推荐系统中的应用

2020 年 11 月 4 日 AINLP

广告推荐算法系列文章:

Overall

推荐系统一般分为两个部分,即matching和ranking,matching层负责从大规模的商品中找出最相关的数百个,而ranking层则对这几百个商品进行更准确的排序。

前面我们也介绍过几篇阿里推荐相关的论文。其中,DIN: 阿里点击率预估之深度兴趣网络DIEN: 阿里点击率预估之深度兴趣进化网络是在ranking层的工作,而阿里巴巴电商推荐之十亿级商品embedding则是在matching层的工作,本文所介绍的工作也是在matching层,是和十亿级商品embedding是并行的工作,同样都是在KDD 2018上发表的论文。

本文提出了一种基于树的深度推荐模型,为的是将在ranking层工作的很好的神经网络算法下沉到matching层,同时又不要带来计算瓶颈问题。

系统架构

淘宝的广告推荐系统如下图,在收到用户的请求后,系统会将用户特征,商品特征,上下文特征结合起来去生成一个小的候选集合,TDM就是在这个过程中起作用。在得到候选集合后,real-time prediction部分就会使用比较复杂的模型对CTR和转化率进行预测。然后再经过排序策略,候选集合就被展示给用户了。

作为最初始的步骤,matching层非常重要,它直接决定了系统CTR的上限。且这一层因为要处理大规模数据,所以效果和性能都是需要解决的问题。

推荐系统中的树结构

首先需要对推荐系统中的树结构进行定义,整棵树包含N个节点,每个节点代表叶子节点或者非叶子节点。其中具体的某个商品必须对应的是叶子节点。

为了通用性,我们定义n1为整棵树的根节点。下图给出了一个例子,每个节点都有一个索引编号,例子中的这棵树有四层八个叶子节点。注意,虽然例子是一个完全二叉树,但是并没有这个要求。

树模型的形式化

更具体的,这棵树有什么性质呢?

将这棵树定义为最大堆类似的结构,不过每个节点上的值是概率。公式如下,公式中j代表树的层数索引,αj是第j层的归一化系数,可以保证第j层所有节点的概率值加起来是1。

这个公式的含义如下:对于第j层的一个节点,其概率值是其所有子节点的最大值除以归一化系数。

根据这个性质,如果我们想找top-K结果,可以在树的每一层找top-k节点,然后将这k个节点的所有子节点都找出来排序取top-k,以此类推,最后得到的叶子节点就是top-K结果。

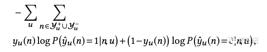
损失函数

根据我们刚才所讲的过程,在每层中,我们需要知道的是节点的顺序,具体的概率值则并不那么重要。而对顺序进行估计,使用二分类模型和负例采样就可以了。

还是如上图的那个二叉树,其中,我们需要找到的节点是13,那么13以及它的祖先都是正例,即上面绿色背景的节点。然后再随机采样出负例,即上面红色的节点。

因此,损失函数如下,就是标准的二分类损失。

用这种方法构建了模型以后,在inference的时候,只需要对每一层的候选做二分类概率估计,用得到的概率去排序即可。

假如使用的树是二叉树,需要得到的结果是k个,那么整个搜索过程中,需要遍历的节点数则是 2 x k x log|C|,C是样本数目。

搜索算法

有了上面的树结构和损失函数,整个搜索过程如下,正如我们刚才所言,需要在每层找到top-K结果,直到叶子节点。

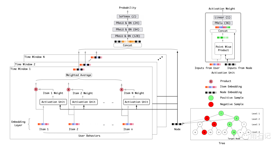
模型结构

整个模型结构如下图,受DIN的启发,在这里我们为每一个节点学习一个embedding。同时使用类似attention的机制来获得更好的用户表达。

用户的特征就是用户之前的行为数据,在这里,使用时间窗口对用户行为进行划分,得到N个窗口。然后进行如下操作:

  1. 对于每个窗口,用Node的embedding和用户行为中商品的embedding进行attention权重的计算,得到加权的平均值。
  2. 将不同窗口的结果和Node的embedding一起拼接起来
  3. 将拼接后的embedding输入给DNN,得到分类估计。
  4. 用上述的Loss进行反向传播。

在这个图中,只显示了用户特征,其他特征也可以很方便的引入到模型中来。可以这样说,在树结构的前提下,几乎任何在ranking层使用的深度模型都可以集成到matching层来。

树的构建和学习

前面讲了那么多,那么这个树是如何构建的呢?

首先,使用商品原来的分类结构进行树的初始化,将所有种类随机排序,然后对于所有的商品,将其划到其对应的分类中去,如果一个商品属于多个分类,那么就随机选一个。这样就得到的按照类别分好的商品集合,对于每个类别中的商品,一路随机二等分,构建一个完全二叉树。这样就得到了一个树结构,其中第一层是多叉(有多个类别),再之下的每一层都是二叉树。

这里以二叉树为例,但可以轻松扩展到k叉树上。

得到初始的树结构之后,就可以进行embedding的学习。

得到embedding之后,再用K-means来进行聚类,这样相近的embedding就聚合在一起。聚类的时候,每一次都聚成两类,这样,就得到一个新的二叉树。然后再重新学习embedding。

实验效果

与其他算法的对比,以及与自身算法的变种的对比结果如下,可以看到,本文提出的模型表现最为优异。

其中,TDM算法的变种有三个:

  • TDM product-DNN:将模型中的attention模块去掉,同时node embedding也从输入中去掉,将用户行为embedding输入给DNN后得到的embedding和node embedding做内积的结果经过sigmoid作为输出
  • TDM DNN: 只移除attention模块,这个可以验证attention的影响
  • TDM attention-DNN-HS: HS是Hierarchical softmax的缩写,在这个版本中,使用正例相邻的样本作为负例而不是随机选择的样本。

线上效果如下,提升CTR 2.1%,提升千次展示收益 RPM达到6.4%。

总结与思考

本文的核心依然是通过提高召回效果来提升最后的结果,为了将ranking层的复杂模型结构高效的应用到matching层,论文巧妙的提出了基于树的模型,并提出了一套模型结构和训练方法,可以很好的训练节点的embedding。

勤提问,多思考是Engineer的良好品德。

  1. TDM和层次Softmax的区别是什么?

参考文献

  • [1]. Zhu, Han, et al. "Learning tree-based deep model for recommender systems." Proceedings of the 24th ACM SIGKDD International Conference on Knowledge Discovery & Data Mining. 2018.

由于微信平台算法改版,公号内容将不再以时间排序展示,如果大家想第一时间看到我们的推送,强烈建议星标我们和给我们多点点【在看】。星标具体步骤为:

(1)点击页面最上方"AINLP",进入公众号主页。

(2)点击右上角的小点点,在弹出页面点击“设为星标”,就可以啦。

感谢支持,比心

欢迎加入推荐系统交流群
进群请添加AINLP小助手微信 AINLPer(id: ainlper),备注推荐系统

推荐阅读

这个NLP工具,玩得根本停不下来

征稿启示| 200元稿费+5000DBC(价值20个小时GPU算力)

完结撒花!李宏毅老师深度学习与人类语言处理课程视频及课件(附下载)

从数据到模型,你可能需要1篇详实的pytorch踩坑指南

如何让Bert在finetune小数据集时更“稳”一点

模型压缩实践系列之——bert-of-theseus,一个非常亲民的bert压缩方法

文本自动摘要任务的“不完全”心得总结番外篇——submodular函数优化

Node2Vec 论文+代码笔记

模型压缩实践收尾篇——模型蒸馏以及其他一些技巧实践小结

中文命名实体识别工具(NER)哪家强?

学自然语言处理,其实更应该学好英语

斯坦福大学NLP组Python深度学习自然语言处理工具Stanza试用

关于AINLP

AINLP 是一个有趣有AI的自然语言处理社区,专注于 AI、NLP、机器学习、深度学习、推荐算法等相关技术的分享,主题包括文本摘要、智能问答、聊天机器人、机器翻译、自动生成、知识图谱、预训练模型、推荐系统、计算广告、招聘信息、求职经验分享等,欢迎关注!加技术交流群请添加AINLPer(id:ainlper),备注工作/研究方向+加群目的。


阅读至此了,分享、点赞、在看三选一吧🙏

登录查看更多
2

相关内容

【WWW2021】基于双侧深度上下文调制的社会化推荐系统
专知会员服务
28+阅读 · 2021年1月28日
专知会员服务
38+阅读 · 2020年11月24日
近期必读的六篇 ICLR 2021【推荐系统】相关投稿论文
专知会员服务
47+阅读 · 2020年10月13日
专知会员服务
23+阅读 · 2020年9月8日
【CIKM2020-阿里】在线序列广告的用户隐藏状态推断
专知会员服务
25+阅读 · 2020年9月5日
基于知识图谱的推荐系统研究综述
专知会员服务
332+阅读 · 2020年8月10日
【SIGIR 2020】 基于协同注意力机制的知识增强推荐模型
专知会员服务
91+阅读 · 2020年7月23日
专知会员服务
88+阅读 · 2020年1月20日
【推荐系统/计算广告/机器学习/CTR预估资料汇总】
专知会员服务
88+阅读 · 2019年10月21日
推荐召回算法之深度召回模型串讲
AINLP
22+阅读 · 2019年6月14日
基于深度交叉特征的推荐系统
微信AI
9+阅读 · 2019年2月1日
推荐系统中的矩阵分解技术
AINLP
9+阅读 · 2018年12月24日
爆料 | 解析阿里妈妈如何将深度学习应用在广告、推荐及搜索业务
机器学习算法与Python学习
5+阅读 · 2018年5月14日
深度学习在CTR预估中的应用 | CTR深度模型大盘点
PaperWeekly
15+阅读 · 2018年4月11日
推荐系统之用户行为分析
架构文摘
7+阅读 · 2017年12月17日
自然语言处理技术(NLP)在推荐系统中的应用
人工智能头条
7+阅读 · 2017年6月29日
Arxiv
0+阅读 · 2021年1月25日
Arxiv
3+阅读 · 2020年2月12日
Arxiv
14+阅读 · 2018年4月18日
Arxiv
12+阅读 · 2018年1月28日
VIP会员
相关VIP内容
【WWW2021】基于双侧深度上下文调制的社会化推荐系统
专知会员服务
28+阅读 · 2021年1月28日
专知会员服务
38+阅读 · 2020年11月24日
近期必读的六篇 ICLR 2021【推荐系统】相关投稿论文
专知会员服务
47+阅读 · 2020年10月13日
专知会员服务
23+阅读 · 2020年9月8日
【CIKM2020-阿里】在线序列广告的用户隐藏状态推断
专知会员服务
25+阅读 · 2020年9月5日
基于知识图谱的推荐系统研究综述
专知会员服务
332+阅读 · 2020年8月10日
【SIGIR 2020】 基于协同注意力机制的知识增强推荐模型
专知会员服务
91+阅读 · 2020年7月23日
专知会员服务
88+阅读 · 2020年1月20日
【推荐系统/计算广告/机器学习/CTR预估资料汇总】
专知会员服务
88+阅读 · 2019年10月21日
相关资讯
推荐召回算法之深度召回模型串讲
AINLP
22+阅读 · 2019年6月14日
基于深度交叉特征的推荐系统
微信AI
9+阅读 · 2019年2月1日
推荐系统中的矩阵分解技术
AINLP
9+阅读 · 2018年12月24日
爆料 | 解析阿里妈妈如何将深度学习应用在广告、推荐及搜索业务
机器学习算法与Python学习
5+阅读 · 2018年5月14日
深度学习在CTR预估中的应用 | CTR深度模型大盘点
PaperWeekly
15+阅读 · 2018年4月11日
推荐系统之用户行为分析
架构文摘
7+阅读 · 2017年12月17日
自然语言处理技术(NLP)在推荐系统中的应用
人工智能头条
7+阅读 · 2017年6月29日
Top
微信扫码咨询专知VIP会员