解析|支付宝风控的无人驾驶方案,实现风控策略精准推荐

2018 年 6 月 15 日 蚂蚁程序猿

小蚂蚁说:


近年来自动驾驶技术大红大紫,从Google无人驾驶汽车到Tesla Model-S量产,无人驾驶技术慢慢从概念走向了现实。 如今,“自动驾驶”的概念则被支付宝创新性地应用到了风控领域,通过AI技术颠覆传统风控的运营模式,实现风控领域的“无人驾驶”技术。


作为移动支付领航者的支付宝,借助大数据和AI技术,并历经十多年的发展,更是构建了世界级领先的风控技术能力。今天来给大家分享AlphaRisk四大核心模块之一的AutoPilot整体方案。

背景

 

随着人工智能的热潮推进,支付宝风控引擎也从CTU时代直接进入AlphaRisk时代,开启了人工智能驱动的支付风控的新纪元。其中,最大的改变就是AI算法的全面应用,以及引擎功能模块的升级。AutoPilot作为AlphaRisk四大核心模块之一,目标是实现用户核身方式的精准推送。

 

有别于经典的基于专家经验的风控策略,以及单一模式的核身推荐,AutoPilot通过半监督算法和进化算法实现了用户个性化的风险控制策略,不同用户的核身认证方式因场景、时间和地点的不同而不同,同时大大提升了风险控制的精确性、实现风控运营自动化能力。


不仅如此,在2017年天猫双十一,AutoPilot首次面对大促交易峰值的考验,实现了完全无人风控策略调整,风控引擎自动根据交易流量和风险变化动态调整风险控制强度。

 

下面,我们从技术的角度出发,给大家揭秘AutoPilot的方案思想。


 AutoPilot的核心思想


1) 用户分群

用户分群是通过决策树算法+德尔斐法相结合而得,综合考虑了分群的稳定性、业务含义和风险概率,既从大数据角度出发科学分群,又包含了特定的业务含义。


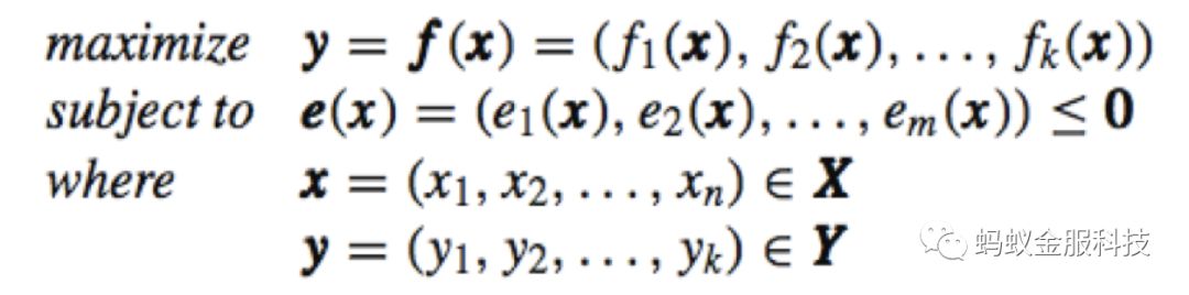
2) 多目标优化

风险决策策略推荐需要解决的问题是求满足多业务目标(打扰率、覆盖率、失败率和限权率)的最优解。这是一个典型多目标优化问题。

         

                 

而现实世界的多目标优化问题存在两个困难:相互制衡或冲突的目标和复杂的解空间。因此多目标问题不存在单一最优解,而是存在一组帕累托最优前沿(Pareto-optimal),在缺乏主观偏好函数下无法进行解之间的权衡,使得解空间可能非常复杂和庞大,所以高效率而精确的求解极为困难。


所以朴素的思想是:先推导出一组帕累托最优前沿,然后选择一个最优解,可以有下面三种具体实现方法:

i.   先决策后搜索,根据人为偏好,将多目标融合转化为单目标,此方法需要对业务有深入的理解;

ii.  先搜索后决策,先搜索出一组最优解,再根据偏好选择其中一个解,此方法需要较长的计算时间;

iii. 同时搜索和决策,每一步的搜索结果输出给人工进行交互;

自然而然,进化算法成为最好的选择之一。


进化算法的概念如下:

·      维持一组候选解集合(population)

·      评价种群中个体的适应度(fitness)

·      进行选择操作(selection),高质量的个体保留进入操作池

·      进行杂交和变异(crossover/mutation)操作,产生下一代种群


进化算法的目标尽可能的靠近帕累托前沿,而且解的分布尽可能的广泛,使种群有较好的差异性。



最终的算法我们采用了基于RWGA的改进: Random Weight Based + niche method。具体算法步骤如下:

step1: 生成初始随机种群E;
step2: 对种群中每个个体赋予一个适应度:对每个个体,基于随机权重w,汇总多目标函数为一个原始的适应度值;同时根据个体周围的生态拥挤程度,对适应度进行惩罚调整;
step3: 基于适应度计算选择概率;
step4: 基于选择概率选择杂交父母,杂交后进行变异操作,得到集合Q;
step5: 合并E和Q,选择适应度靠前的子集进入下一代;
step6: 若不满足停止条件,则step2;

 

 AutoPilot的应用结果


AutoPilot实现了风险覆盖和用户打扰的最佳平衡,在保障风险资损低水位的基础上,实现了管控方案从千人一面向千人千面的转换。当交易被识别存在风险时,AutoPilot可自动推荐最适合这个会员,且最安全的管控方案,实现用户核身体验的最优化。以O2O线下支付场景为例,该场景最常见的风险为的用户手机丢失(即用户手机丢失后,被非本人使用),AutoPilot通过AI算法匹配,优先推荐人脸等生物核身手段,而非传统或静态核身方式,以有效保障账户资金安全。

 

同时,AutoPilot实现了风险防控策略的自助运营,极大减少人工干预。2017年天猫双十一大促,AutoPilot首次落地应用,根据交易流量和风险变化动态自动调整模型和策略的管控力度,实现了无人调配策略的可能,并经受住了大促时期黑产的攻击。


总结


总而言之, AlphaRisk的核心内容是人类直觉AI(Analyst Intuition)和机器智能AI(Artificial Intelligence)相结合,打造具有机器智能的风控系统。而AutoPilot作为AlphaRisk的核心功能,最大用的意义在于“科学决策”和“无人驾驶”


2017年初,支付宝开始建设AlphaRisk风控大脑,愿景是探索风控领域的无人驾驶技术。 AlphaRisk项目1期上线后,支付宝的资损率从原先十万分之1下降至百万分之0.5以内 ,让欺诈损失率低于任何银行卡服务。目前,支付宝的资损率仅为国外先进第三方支付公司资损率的1/200,处于行业的绝对领先水平。而这一切,都是为了支付宝的用户能够用户更极致的安全和更完美的体验。


— END —


蚂蚁金服科技,只为分享干货

您的转发是对我们最大的支持

欢迎在文章下方留言与我们进行交流哦~



登录查看更多
5

相关内容

【CVPR2020-北京大学】自适应间隔损失的提升小样本学习
专知会员服务
85+阅读 · 2020年6月9日
华为发布《自动驾驶网络解决方案白皮书》
专知会员服务
130+阅读 · 2020年5月22日
人机对抗智能技术
专知会员服务
214+阅读 · 2020年5月3日
《人工智能2020:落地挑战与应对 》56页pdf
专知会员服务
197+阅读 · 2020年3月8日
【综述】自动驾驶领域中的强化学习,附18页论文下载
专知会员服务
176+阅读 · 2020年2月8日
阿里巴巴达摩院发布「2020十大科技趋势」
专知会员服务
108+阅读 · 2020年1月2日
【阿里技术干货】知识结构化在阿里小蜜中的应用
专知会员服务
98+阅读 · 2019年12月14日
自动驾驶技术解读——自动驾驶汽车决策控制系统
智能交通技术
30+阅读 · 2019年7月7日
自动驾驶汽车技术路线简介
智能交通技术
15+阅读 · 2019年4月25日
已删除
将门创投
3+阅读 · 2019年4月25日
NLP实践:对话系统技术原理和应用
AI100
34+阅读 · 2019年3月20日
金融风控背后的技术综述
七月在线实验室
45+阅读 · 2019年2月28日
一天造出10亿个淘宝首页,阿里工程师如何实现?
机器学习研究会
5+阅读 · 2017年12月20日
【智能驾驶】史上最全自动驾驶系统解析
产业智能官
25+阅读 · 2017年8月21日
Arxiv
5+阅读 · 2019年4月8日
One-Shot Federated Learning
Arxiv
9+阅读 · 2019年3月5日
Arxiv
8+阅读 · 2018年5月17日
Arxiv
5+阅读 · 2016年12月29日
VIP会员
相关VIP内容
【CVPR2020-北京大学】自适应间隔损失的提升小样本学习
专知会员服务
85+阅读 · 2020年6月9日
华为发布《自动驾驶网络解决方案白皮书》
专知会员服务
130+阅读 · 2020年5月22日
人机对抗智能技术
专知会员服务
214+阅读 · 2020年5月3日
《人工智能2020:落地挑战与应对 》56页pdf
专知会员服务
197+阅读 · 2020年3月8日
【综述】自动驾驶领域中的强化学习,附18页论文下载
专知会员服务
176+阅读 · 2020年2月8日
阿里巴巴达摩院发布「2020十大科技趋势」
专知会员服务
108+阅读 · 2020年1月2日
【阿里技术干货】知识结构化在阿里小蜜中的应用
专知会员服务
98+阅读 · 2019年12月14日
相关资讯
自动驾驶技术解读——自动驾驶汽车决策控制系统
智能交通技术
30+阅读 · 2019年7月7日
自动驾驶汽车技术路线简介
智能交通技术
15+阅读 · 2019年4月25日
已删除
将门创投
3+阅读 · 2019年4月25日
NLP实践:对话系统技术原理和应用
AI100
34+阅读 · 2019年3月20日
金融风控背后的技术综述
七月在线实验室
45+阅读 · 2019年2月28日
一天造出10亿个淘宝首页,阿里工程师如何实现?
机器学习研究会
5+阅读 · 2017年12月20日
【智能驾驶】史上最全自动驾驶系统解析
产业智能官
25+阅读 · 2017年8月21日
Top
微信扫码咨询专知VIP会员