硬货 | 一文了解深度学习在NLP中的最佳实践经验和技巧

2017 年 9 月 16 日 AI100 记得关注


编译 | AI科技大本营(rgznai100)

参与 | JeyZhang,鸽子


在NLP社区中曾流行着这样一个玩笑,说是一个带注意力机制的LSTM模型在任何的NLP任务上的表现都是最好的。虽然这在过去的两年中确实如此,但这个模型已经成为了现在标准的baseline,随着NLP社区的逐步发展,大家开始转向使用其他更加有趣的模型。


不过,本文作者不想独自花费2年的时间去发掘下一个带注意力机制的LSTM模型,也不想去推翻现有效果好的一些技巧或方法。虽然许多现有的深度学习库已经考虑了神经网络实践方面的最佳实践经验,例如模型的初始化方面,但仍有许多其他细节,特别是面向具体领域的任务时,使用者还是需要考虑很多特定因素。


这篇文章并没有谈及目前最先进的技术,而是汇集了各种与特定任务相关的最佳实践经验和方法。换句话说,这篇文章不会去描述具体的模型架构,而是去谈在实际中应用这些模型的小技巧和方法。这些实践方法和经验对于提升模型的性能往往非常有效,甚至能够使模型的效果达到最佳,通过与baseline对比能够从直观上更好地理解它们有效的原因。


假设你已经熟悉了如何将神经网络技术应用于NLP领域 ,并对通用的或特定领域的NLP任务感兴趣,想要快速掌握有关的最佳实践经验,从而尽快地产出有意义的成果,那么这篇文章很适合你。


在文章中,作者首先会列举适用于大多数NLP任务的最佳实践经验和方法。然后,作者将列举与一些最常见NLP任务相关的最佳实践经验和方法,特别是分类,序列标签,自然语言生成和神经机器翻译等任务。


希望对你有帮助,以下,enjoy!



词向量技术


词向量技术在最近的NLP领域中被广泛应用。文献表明,使用预训练好的词向量有助于提升模型的结果 。词向量维数的最佳大小取决于任务本身:对于语法相关的任务,如命名实体识别 或词性标注,词向量的维数小一点更好;而对于涉及到语义相关的任务,如情感分析,词向量的维数可以设置得大一些。



模型深度


NLP中用到的神经网络模型已变得越来越深,尽管目前还不及计算机视觉领域中用到的那么深。目前最好的方法经常使用到深层次的双向LSTM模型,通常由3-4层组成,如用于词性标注和语义角色标注 任务上。用于特定任务上的模型层数甚至可以更深,可参考Google的NMT模型,具有8层的编码器和解码器 。然而,在大多数情况下,模型层数超过2层之后继续加深模型所带来的性能提升是很小的 。


以上这些结论适用于大多数的序列标记和结构预测问题。对于分类任务,深层次的模型仅在输入为字符级时表现较好,目前使用浅层次的模型仍然是最好的方法。



网络层之间的连接


对于深层次神经网络的训练,有一些技巧非常重要,可以避免梯度弥散的问题。目前已经提出了各种各样的网络层和连接方法。在这里,我们将讨论其中的三种方法:


  • 高速公路层 (highway layers)

  • 残差连接 (residual connection)

  • 密集连接 (dense connection)


高速公路层    


高速公路层的灵感来源于LSTM的门函数。首先让我们假设有一个单层的MLP (多层感知机,也就是全连接神经网络),它将对输入x作一个非线性g函数的变换,如下:



高速公路层则是这样的函数变换:



其中⊙表示对应元素相乘,



称为变换门,



称为移位门。我们可以看到,高速公路层其实类似于LSTM的门函数,因为它能将输入的一些信息自适应地直接传送至输出端。


高速公路层已经被用于语言模型之中,并取得了目前的最好结果,也被用于其他任务上,如语音识别 。Sristava的主页里有关于高速公路层更多资料和代码。


残差连接    


残差连接的提出最初是用于计算机视觉领域,它是在2016年的ImageNet大赛上夺冠的主要原因。残留连接的方式比高速公路层更为直接,使用如下的函数:



从上述公式来看,它简单地将当前层的输入添加至输出。这个简单的修改改善了梯度弥散的问题,这是因为即使某一层的作用不大,它也还是可以获取到原始输入的信息(不至于传递不下去)。


密集连接    


相比于之前只是简单地将每一层的输出直接添加至下一层的输入,密集连接 (Huang et al., 2017) (2017年CVPR会议的最佳论文奖) 增加了从每个层到后续所有层的直接连接。我们用h表示输出结果,x表示输入,l表示当前层。密集连接将当前层之前的所有网络层的输出作为输入提供给当前层:



其中[⋅;⋅]表示级联。密集连接已成功应用于计算机视觉领域之中。他们还发现这种连接方法对于不同NLP任务的多任务学习也是有用的,而对于基于神经网络的机器翻译任务而言,使用残差变量之和的方法已被证明要优于仅使用残差连接。



Dropout


虽然被广泛用于计算机视觉领域中的批量归一化 (batch normalization) 方法淘汰了其他的正则化方法,但是dropout 仍然被广泛用于NLP领域的深层神经网络用作正则化项。在大多数情况下,dropout都是有效的。近年来,一些dropout的变种如自适应的dropout 和可进化的dropout 等被陆续提出,但这些方法还没有被广泛地应用。Dropout在NLP领域中存在的一个问题是,它不能被用在循环连接层上,因为dropout mask的叠加会导致最终词向量的输入失效。


循环dropout 


循环dropout通过在下一层使用相同的dropout mask来解决这一问题,这不仅避免了dropout误差的扩大,同时也有效地对序列模型进行了正则化。例如,循环dropout方法已被用于语义角色标注 和语言建模任务上,并取得了迄今为止最好的结果。



多任务学习


如果有足够多的额外数据,通常可以利用多任务学习 (MTL) 来提高目标任务的性能。可以看看这篇博文来了解有关MTL的更多信息。


辅助目标    


我们通常可以找到一些对任务有用的辅助目标 。例如可以通过预测文本中的周边单词可以得到预训练的词向量,同时也可以将词向量结果作为训练中的辅助目标。 (Ramachandranet al., 2016)[36]中针对seq2seq模型也用到了类似的辅助目标。


面向特定任务的网络层    


尽管NLP领域中多任务学习的常用方法都是参数共享的,但这样作对于面向不同任务的模型层的学习是有益的。这可以通过将一个任务的输出层放置在较低的层次 来完成。而另一种方法是利用独自的共享空间来实现。



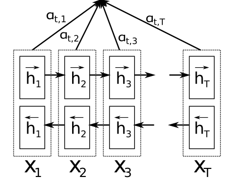
注意力机制


注意力机制最常用于seq2seq模型的编码过程,也可用于任何序列模型中以回溯过去的状态。使用注意力机制,可以基于隐藏层状态



来得到一个上下文向量ci,再结合当前层的隐状态hi来做出预测。上下文向量ci是之前隐藏层状态的加权平均,权重系数为ai:,如下面的公式:



注意力函数



利用当前隐层状态hi和之前隐层状态sj计算出一个相应分值(未归一化)。接下来,我们将探讨4种注意力机制的变种:


  • 加法式的注意力机制

  • 乘法式的注意力机制

  • 基于自身的注意力机制 (self-attention)

  • 以及iv)key-value形式的注意力机制。


加法式的注意力机制    


原始的注意力机制 使用了一个单层的隐藏层前馈网络来计算注意力的对齐关系,如下公式:



其中Va和Wa是学习到的注意力参数。相应地,我们也可以使用矩阵W1和W2分别对hi和sj作相应的变换,然后求和:



乘法式的注意力机制    


乘法式的注意力机制简化了原始的注意力函数的计算,如下:



加法式和乘法式的注意力机制在时间复杂度上是差不多的,但乘法式在实践中的计算更快,也更节省内存,因为它可以利用高效率的矩阵乘法算法。当解码器向量dh的维数较小时,这两种的性能差不多;而维数较大时,会出现加法式的注意力机制表现更好的情况,此时通过将



缩小至



倍可以减少这种情况的发生。


注意力机制不仅可以影响编码器的状态以及利用之前的隐层状态,还可以获得输入信息的分布情况(也是一种特征形式),例如用于阅读理解任务中的文本对应的词向量分析。但是,注意力机制并不适用于一些不需要额外信息的分类任务,如情感分类。对于这类任务用到的模型,通常是使用LSTM的最终隐藏层状态或者使用类似于最大池化或平均池化的聚合函数来获得句子表示。


基于自身的注意力机制    


在没有任何额外信息的情况下,我们仍然可以通过关注句子本身 (即self-attention) 来从句子中提取出相关的信息。 基于自身的注意力机制 (也称为基于内部的注意力机制) 已经被成功地应用于各种任务上,包括阅读理解,文本蕴涵和生成式摘要等。


我们可以简化加法式的注意力模型,即计算每个隐藏状态hi的非归一化的对齐分数:



转换为矩阵运算形式,对于隐藏层状态



我们可以计算出注意力向量a和最终的句子向量表示c如下:



相比于只提取出一个向量,我们利用矩阵Va来取代va从而得到几个关注点,然后抽取出矩阵注意力矩阵A:



在实践中,我们会使用如下的正交约束项来防止冗余,并采用Frobenius规范项的平方来保证注意力向量的多样性:


一种类似的multi-head注意力机制被Vaswani等人采用过。


Key-value形式的注意力机制        


最后,Key-value形式的注意力机制是最近提出的一种注意力机制的变种,与之前使用注意力函数不同的是,它通过维护一个独立的向量来进行注意力的计算。这种方法被有效地应用到多种文档建模任务中。 具体而言,Key-value形式的注意力机制将每个隐藏层向量hi分解成一个key为ki和一个value为vi:即



这些key会被用于计算注意力的分布ai,通过一个加法式的注意力函数:



其中L是注意力窗口的长度,l是一个向量。然后通过这些来得到上下文表示向量ci:



上下文表示向量ci和当前值vi会结合在一起来用于预测。



最优化


最优化算法和优化模式通常也是属于模型的一部分,并被当做一个黑盒子。有时候,对最优化算法进行轻微的改动,例如对于Adam降低β2值会对优化结果产生非常大的影响。


最优化算法       

 

Adam 是最受欢迎和被广泛使用的优化算法之一,通常都会作为NLP领域研究人员的选择。通常认为,Adam要明显优于传统的随机梯度下降(SGD)算法。然而,虽然训练过程中A dam比SGD收敛快得多,但是SGD的在学习率上的退火速率要略胜于Adam。最近的研究工作进一步表明,对SGD进行适当的动量调整将优于Adam算法。


优化模式    


虽然Adam内部会调整每个参数的学习率,我们仍然在Adam中使用SGD式的退火。具体而言,我们可以通过重启来进行学习率退火:设定一个学习率并训练模型直到收敛。然后,我们将学习率减半,并通过加载之前最佳的学习模型来重启算法。对于Adam而言,这会使优化器忘记其之前的参数学习率并重启。(Denkowski, M., & Neubig, G. (2017). Stronger Baselines for Trustable Results in Neural Machine Translation)表明,Adam两次重启后的学习率退火更快,表现要优于SGD。



模型集成


通过集成多个模型来提升最终的性能是一种基于经验主义的有效策略。尽管使用集成式的模型在测试阶段会比较费时,但最新研究进展表明对集成式模型进行压缩也是可行的。


随着模型多样性增加,对这些模型进行集成是确保最终结果可靠的重要方法 。 虽然对同一模型的不同种结果的集成被证明是有效的,但是这牺牲了模型的多样性作为代价。周期性的学习率有助于减轻这种影响。然而,在有充足的计算资源的情况下,我们更倾向于集成多个单独训练的模型来最大程度上增加模型的多样性。



超参数的优化


相比于单纯使用预先定义好的或现成的模型超参数,简单地对它们作一点调整就可以提升模型的结果。贝叶斯优化的最新研究进展使其成为神经网络中超参数优化的理想工具,远远优于被广泛使用的网格搜索。对一个简单的LSTM模型的超参数作自动调整取得了目前语言模型的最好结果,这甚至超过了一些更复杂的模型。



LSTM模型调优的小技巧


初始状态的学习    我们通常用0向量来初始化LSTM模型的初始状态。相较于固定模型的初始状态,我们可以把初始状态的参数也当做需要学习的参数,这可以提高性能,也是Hinton所推荐的做法(https://www.cs.toronto.edu/~hinton/csc2535/notes/lec10new.pdf)。参考这篇博客文章(https://r2rt.com/non-zero-initial-states-for-recurrent-neural-networks.html),了解Tensorflow的实现。


共享输入和输出的词向量    


输入和输出的词向量参数是LSTM模型中数量最多的参数。如果将LSTM作为一个语言模型来进行词的预测,那么输入和输出的参数是可以共享的。这种做法对于小型数据集特别适用,因为数据规模限制了参数的学习量。


梯度的规范化削减   


降低“梯度爆炸”风险的一种方法是削减梯度的最大值。 然而,这对模型的效果并没有改善。相比于简单地削减梯度的最大值,对梯度的全局范数进行削减取得的效果更为显著(在此有Tensorflow的实现)。


向下投影    


为了进一步减少输出的参数量,可以将LSTM的隐藏层状态投影至更小的空间。这对于输出量较大的任务 (如语言建模) 尤其有用。



面向具体任务的最佳实践经验


接下来,我们将讨论一些具体任务上的最佳实践经验。其中的大多数在一个具体的任务上的效果都是最佳的,其中的一些可能还适用于其他的任务,但这还需要进行验证。我们将讨论以下几种应用:分类,序列标注,自然语言生成(NLG),以及 NLG的一个特例——基于神经网络的机器翻译。



分类


CNN模型被广泛应用在NLP中的分类任务中。近期发现,由于CNN模型具有高效的卷积运算,它也同样适用于序列类型的任务。下面是一些与CNN模型相关的最佳实践,以及超参数上的最佳选择。


卷积核    


可以组合多种尺寸的卷积核来取得最优的效果,例如卷积核尺寸为(3,4,5)的组合的效果最佳 。卷积核的最佳数量范围为50-600。


池化函数    


输出为1的最大池化的效果要好于平均池化和输出为k的最大池化方法。 



序列标注


序列标注是NLP领域的常见任务。现有的实践经验很多都是与模型结构的中特定部分相关,下面将提供模型输出和预测阶段方面的实践经验。


序列标注的模式    


对于某些文本标注任务而言,所使用的标注框架是不同的。其中有:BIO模式,它将文本片段中出现的第一个令牌 (token) 标记成B标签,剩余的令牌都标记成I标签,不属于令牌的标记为O标签; IOB模式,类似于BIO,但只在前一个令牌是同一个类但不属于分段的一部分时标记为B标签; 还有IOBES模式,它额外区分了单令牌实体 (S标签) 和分段中的最后一个令牌 (E标签)。使用IOBES和BIO模式所取得的效果是差不多的


CRF输出层    

如果输出之间存在相互依赖的关系,例如对于命名实体识别,最终的softmax层可以用线性的条件随机场 (CRF) 替代。实验结果表明,这对模型需要进行约束的任务有一定的改进。


受约束的解码过程    

相较于使用一个CRF输出层,对解码进行约束是一种防止生成错误序列的方法,即不会产生有效的BIO转换。对解码进行约束的好处在于可以执行任意的约束条件,这适用于一些特定的任务,如需要执行句法约束的任务。



自然语言生成


目前大多数的实践经验也适用于自然语言生成 (NLG)。事实上,迄今为止有很多实践上的技巧都来源于语言建模,这个最原始的NLP任务。


模型结果的覆盖度

    

输出重复问题是许多NLG任务面临的一大问题,这是因为目前的模型没有一个好的方法来记住模型产生了的输出结果。在模型中使用模型输出结果的覆盖度是解决这个问题的好方法。如果提前有一个清单,包括了有哪些实体应该在输出结果中提及,如 (Kiddon, C., Zettlemoyer, L., & Choi, Y. (2016). Globally Coherent Text Generation with Neural Checklist Models. Proceedings of the 2016 Conference on Empirical Methods in Natural Language Processing (EMNLP2016), 329–339) 所用到的。如果使用注意力机制,我们可以记录覆盖度向量ci,这是之前时间步长的注意力分布at的总和 :



这个向量捕获了我们对输入中所有单词的关注程度。我们可以通过控制这个表征覆盖度的向量,以避免模型在输出时使用重复的单词:



此外,我们还可以增加一个辅助的损失函数,来捕获对于特定任务我们想得到的注意力分布:对于NMT,我们希望大致上能一对一地对齐;因此,如果覆盖向量的指标发生了偏差,我们则对模型做出相应的惩罚处理 。总之,当模型重复使用输入中的相同部分时,需要对模型的训练作相应惩罚 。



基于神经网络的机器翻译


尽管基于神经网络的机器翻译 (NMT) 只是NLG的一个实例,但NMT受到了非常多的关注,许多模型和方法都是专门为此而开发的。相应地,许多最佳的实践经验或超参数最佳选择都仅适用于NMT这个任务本身。


词向量的维数  

  

词向量的维数设置为2048时的模型性能达到最佳,但这带来的提升幅度很小。其实即使词向量维数为128维时模型的性能也很不错,而收敛速度也将几乎快上两倍。


编码器和解码器的层数    


编码器的层数设置最好不要超过2-4层。尽管深层次的模型要优于浅层模型,但对于解码器而言,其层数最好不要超过44层。


编码方向    


双向的编码器的性能要优于单向的编码器。Sutskever等人(2014)[67]提出了对源序列的输入方向反转有助于减轻对长时记忆的依赖。在单向编码器中反转源序列的结果要优于没有反转的结果。


集束搜索 (Beam Search) 策略    


集束搜索设置的大小为10左右,同时对长度作正则化时,能够取得最佳的模型性能。


单字翻译    


Senrich等人(2016)[66]提出了一种基于字节对编码 (BPE) 的方式将单词划分为字序列。BPE迭代式地合并频繁的符号对,最终将频繁出现的ngram合并成单个符号,从而有效地清除了不在词典中的词。尽管这个方法最初是为了处理罕见的单词,但是处理字单元的模型整体的表现要优于全词系统,对于以字为单位的词汇表大小设置为32,000比较合适。



总结


希望这篇文章有助于您开始着手新的NLP任务。即使你已经熟悉了这当中的大多数,我仍然希望你从中学习到了新的东西,或者加深了你之前的了解。


原文地址

http://ruder.io/deep-learning-nlp-best-practices/index.html#attention

(注意:本文参考文献比较多,这里不一一罗列出,查看原文可参考完整的参考文献)


— End —



关注福利

关注AI科技大本营,进入公众号,点击菜单栏—分类专题,查看分类精选文章。


回复:备忘”,下载最全面的机器学习小抄

回复:CCAI下载 CCAI 2017重磅嘉宾演讲干货(PPT) 

回复:路径,下载深度学习Paper阅读路径(128篇论文,21大领域)

回复:法则,下载《机器学习的四十三条经验法则》(中英文对照),帮你踩坑

回复:美团,下载美团干货分享《深度学习在美团外卖的应用》、《NLP在美团点评的应用》

回复:沙龙,下载CSDN学院7月15日线下沙龙PPT(蒋涛、孟岩、智亮)

回复:对抗,台大李宏毅老师教你学生成式对抗学习(视频教程+PPT)

回复:AI报告,下载麦肯锡、波士顿、埃森哲等知名咨询公司重磅AI报告

回复:银行,下载银行和证券公司的AI报告

回复:人才,下载 2017 领英《全球AI领域人才报告》,让专业的人告诉你AI人才的价值

回复:发展,下载2017 全球人工智能发展报告四大篇(框架篇、投资与融资篇、细分领域篇和产业篇)_乌镇指数

回复:设计,下载《人工智能与设计的未来》,学习AI时代产品的方向与转型

回复:1986,下载李开复1986年论文《评价函数学习的一种模式分类方法》和1990年论文《The Development of a World Class Othello Program》

回复:中美,下载《中美两国人工智能产业发展全面解读》(腾讯研究院)

回复:精选,下载Medium博客AI/机器学习/深度学习热门文章精选(100+)

回复:德勤,下载德勤、普华永道AI报告

 点击阅读原文,查看AI科技大本营招募计

登录查看更多
7

相关内容

还在修改博士论文?这份《博士论文写作技巧》为你指南
专知会员服务
201+阅读 · 2020年3月6日
Transformer文本分类代码
专知会员服务
118+阅读 · 2020年2月3日
【书籍】深度学习框架:PyTorch入门与实践(附代码)
专知会员服务
167+阅读 · 2019年10月28日
注意力机制模型最新综述
专知会员服务
271+阅读 · 2019年10月20日
深度学习自然语言处理综述,266篇参考文献
专知会员服务
231+阅读 · 2019年10月12日
计算机视觉最佳实践、代码示例和相关文档
专知会员服务
20+阅读 · 2019年10月9日
介绍高维超参数调整 - 优化ML模型的最佳实践
AI研习社
7+阅读 · 2019年4月17日
了解情感分析中的NLP技术么?
七月在线实验室
9+阅读 · 2019年4月12日
7个实用的深度学习技巧
机器学习算法与Python学习
16+阅读 · 2019年3月6日
一文了解自然语言处理神经史
云栖社区
11+阅读 · 2018年12月2日
八大深度学习最佳实践
AI100
4+阅读 · 2018年1月31日
实践入门NLP:基于深度学习的自然语言处理
AI研习社
10+阅读 · 2018年1月22日
2017深度学习NLP进展与趋势
全球人工智能
5+阅读 · 2017年12月19日
盘点 2017 年深度学习 NLP 重磅技术
人工智能头条
5+阅读 · 2017年12月15日
Tutorial on NLP-Inspired Network Embedding
Arxiv
7+阅读 · 2019年10月16日
Arxiv
12+阅读 · 2019年3月14日
Arxiv
22+阅读 · 2018年8月30日
Arxiv
7+阅读 · 2018年3月21日
Arxiv
8+阅读 · 2018年1月19日
Arxiv
10+阅读 · 2017年12月29日
Arxiv
27+阅读 · 2017年12月6日
Arxiv
4+阅读 · 2017年7月25日
VIP会员
相关VIP内容
还在修改博士论文?这份《博士论文写作技巧》为你指南
专知会员服务
201+阅读 · 2020年3月6日
Transformer文本分类代码
专知会员服务
118+阅读 · 2020年2月3日
【书籍】深度学习框架:PyTorch入门与实践(附代码)
专知会员服务
167+阅读 · 2019年10月28日
注意力机制模型最新综述
专知会员服务
271+阅读 · 2019年10月20日
深度学习自然语言处理综述,266篇参考文献
专知会员服务
231+阅读 · 2019年10月12日
计算机视觉最佳实践、代码示例和相关文档
专知会员服务
20+阅读 · 2019年10月9日
相关资讯
介绍高维超参数调整 - 优化ML模型的最佳实践
AI研习社
7+阅读 · 2019年4月17日
了解情感分析中的NLP技术么?
七月在线实验室
9+阅读 · 2019年4月12日
7个实用的深度学习技巧
机器学习算法与Python学习
16+阅读 · 2019年3月6日
一文了解自然语言处理神经史
云栖社区
11+阅读 · 2018年12月2日
八大深度学习最佳实践
AI100
4+阅读 · 2018年1月31日
实践入门NLP:基于深度学习的自然语言处理
AI研习社
10+阅读 · 2018年1月22日
2017深度学习NLP进展与趋势
全球人工智能
5+阅读 · 2017年12月19日
盘点 2017 年深度学习 NLP 重磅技术
人工智能头条
5+阅读 · 2017年12月15日
相关论文
Tutorial on NLP-Inspired Network Embedding
Arxiv
7+阅读 · 2019年10月16日
Arxiv
12+阅读 · 2019年3月14日
Arxiv
22+阅读 · 2018年8月30日
Arxiv
7+阅读 · 2018年3月21日
Arxiv
8+阅读 · 2018年1月19日
Arxiv
10+阅读 · 2017年12月29日
Arxiv
27+阅读 · 2017年12月6日
Arxiv
4+阅读 · 2017年7月25日
Top
微信扫码咨询专知VIP会员