机器之心最干的文章:机器学习中的矩阵、向量求导

2018 年 2 月 7 日 深度学习世界

作者:七月


本文的目标读者是想快速掌握矩阵、向量求导法则的学习者,主要面向矩阵、向量求导在机器学习中的应用。因此,本教程而非一份严格的数学教材,而是希望帮助读者尽快熟悉相关的求导方法并在实践中应用。另外,本教程假定读者熟悉一元函数的求导。


本文公式太多,微信上展示会有一些问题。所以本文适合读者了解矩阵、向量求导,而详细地学习与分析请下载本文的PDF版。


PDF 下载地址:https://pan.baidu.com/s/1pKY9qht


所谓矩阵求导,本质上只不过是多元函数求导,仅仅是把把函数的自变量以及求导的结果排列成了矩阵的形式,方便表达与计算 而已。复合函数的求导法则本质上也是多元函数求导的链式法则,只是将结果整理成了矩阵的形式。只是对矩阵的每个分量逐元素 地求导太繁琐而且容易出错,因此推导并记住一些常用的结论在实践中是非常有用的。


矩阵求导本身有很多争议,例如:


  • 对于求导结果是否需要转置?


不同教材对此处理的结果不一样,这属于不同的 Layout Convention。本文以不转置为主,即求导结果与原矩阵/向量同型,术语叫 Mixed Layout。


  •  矩阵对向量、向量对矩阵、矩阵对矩阵求导的结果是什么?


最自然的结果当然是把结果定义成三维乃至四维张量,但是这并不好算。也有一些绕弯的解决办法 (例如把矩阵抻成一个 向量等),但是这些方案都不完美 (例如复合函数求导的链式法则无法用矩阵乘法简洁地表达等)。在本教程中,我们认为,这三种情形下导数没有定义。凡是遇到这种情况,都通过其他手段来绕过,后面会有具体的示例。


因此,本教程的符号体系有可能与其他书籍或讲义不一致,求导结果也可能不一致 (例如相差一次矩阵转置,或者是结果矩阵是否平铺成向量等),使用者需自行注意。另外,本教程中有很多笔者自己的评论,例如关于变形的技巧、如何记忆公式、如何理解其他的教程中给出的和本教程中形式不同的结果等。


文中如有错漏,欢迎联系 ruanchong_ruby@163.com,我会尽快订正。


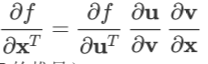
符号表示


  • 标量用普通小写字母或希腊字母表示,如  等。

  • 向量用粗体小写字母或粗体希腊字母表示,如  x 等,其元素记作 (注意这里 没有加粗。加粗的小写字母加下标,例如 等,表示这是两个不同的常数向量)。向量默认为列向量,行向量需要用列向量的转置表示,例如 等。

  • 矩阵用大写字母表示,如A 等,其元素记作 (注意这里 a 用的是小写字母。大写字母加下标,例如等,表示不同 的常数矩阵)。

  • 用字母表中靠前的字母 (如 a,b,c等) 表示常量,用 f,g,h 或字母表中靠后的字母 (如u,v等)等表示变量或函数。

  • 有特殊说明的除外。


 综上所述,本文进行如下约定:


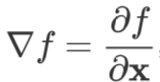
  • 矩阵/向量值函数对实数的导数:


  • 要点:求导结果与函数值同型,且每个元素就是函数值的相应分量对自变量 求导 

  • 若函数 ,则  也是一个 m×n 维矩阵,且,也可用劈形算子将导数记作,或记作

  • 由于向量是矩阵的特殊情形,根据上面的定义也可以得到自变量为向量时的定义:若函数 ,则  是一个 m 维向量,且 。若函数值是行向量则结果为行向量,可记作 若函数值 f 是列向量则求导结果为列向量,可记作

  • 注:本文开头即说明过,变量为向量时仅仅是将其看作多个实数,无所谓行向量与列向量之分。这里用行向量或列向量的 说法仅仅为了把公式用矩阵相乘的方式表示出来方便,因为在数学公式总要指定向量是行向量或者列向量中的某一个,才能与公式里的其他部分做矩阵运算时维度相容。下同。


  • 实值函数对矩阵/向量的导数:


  • 要点:求导结果与自变量同型,且每个元素就是f对自变量的相应分量求导

  • 若函数 ,则 也是一个 m×n 维矩阵,且  也可使用劈形算子将导数记作 

  • 由于向量是矩阵的特殊情形,根据上面的定义也可以得到自变量为向量时的定义:若函数 ,则  也是一个 m 维向量,且 。若函数值  是行向量则结果为行向量,可记作 若函数值 f 是列向量则求导结果为列向量,可记作


  • 向量值函数对向量的导数(雅克比矩阵 ):


  • 若函数 ,则 是一个 m×n 维矩阵,且。用劈形算子表示时可记作 

  • 注:如前所述,本教程仅仅是把变量都看成多个实数,无所谓行与列之分,因此在表述从向量 到 的雅克比矩阵时,不区分 x 或者 f 到底是行向量还是列向量,统一用 表示,维度也都是m-by-n。有些教程可能会区分 行对列、列对列、行对行、列对行几种不同情形的求导,认为有些结果相差一个转置,有些组合不能求导等等。本教程则认为只有一种求导结果,就是雅克比矩阵。

  • 有一点需要注意的是,若f退化成标量,则 x 到 f 的雅克比矩阵是一个行向量,是梯度 (列向量) 的转置,即。注意这里使用的记号:左边 f 加粗,是把它看做一个长度为 1 的向量,表示求向量 x 到向量 f 的雅克比矩阵;右边 为普通字体,表示实函数 对向量 x 的导数。


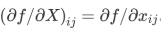
  • 劈形算子:


  • 在求导的变量比较明确时,可以省略劈形算子的下标写成 

  • 劈形算子和偏导数两种记号大体上可以认为是相同的,只不过在涉及到变量分量的推导过程 (例如用链式法则推神经网络 的 BP 算法) 中,偏导数那一套符号更加常用;而劈形算子的优势是书写简单,在对传统的机器学习模型的目标函数求导 时,劈形算子有时更常用。

  • 对于一个实函数 ,其梯度记为 ,也可记作gradf,是一个m 维向量。Hessian 矩阵记为 其中 是一个m×m的矩阵。根据上述定义可以发现,Hessian 矩阵其实是 X 到  的雅克比矩阵,因此 不光是一个形式记号,而是可以用  来计算


  • 注:某些教材区分对行向量和列向量求导,认为 Hessian 矩阵是先对行向量求导,再对列向量X求导(或者反过来),因此写作 (或者)。


  • 对于一个实函数 ,其梯度规定为 m×n 维矩阵,Hessian 矩阵不作定义。


对上述约定的理解


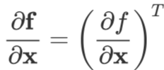
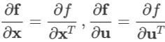
  • 对于实值函数 f,上面的定义满足转置关系(f 对某个变量和其转置的导数互为转置):即:(其中 x 代表任意维度的向量或矩阵)。

  • 函数增量的线性主部与自变量增量的关系:

  •      实值函数对矩阵/向量的导数:,此式用到的技巧非常重要:两个同型矩阵对应元素相乘再求和时常用上面第二个等式转化为迹,从而简化表达和运算。从另一个角度讲,这是矩阵导数的另一种定义。即:对于函数 ,若存在矩阵 A,使得  时(||*|| 为任意范数),成立  ,则定义 。矩阵乘积的迹是一个线性算子。事实上,如果有两个同型矩阵 A、B,他们的内积即定义为 <A, B> = tr(A^T * B)。容易验证,向量内积也符合这个定义,因此此式可以看成是向量内积的推广。

  •      实值函数对矩阵/向量的导数:,此式右边是向量内积,可看做前一个式子的退化情形。

  •      向量值函数对向量的导数:,此式即为重积分换元时用于坐标变换的Jacobian矩阵。


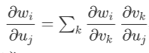
变量多次出现的求导法则


规则:若在函数表达式中,某个变量出现了多次,可以单独计算函数对自变量的每一次出现的导数,再把结果加起来。


这条规则很重要,尤其是在推导某些共享变量的模型的导数时很有用,例如 antoencoder with tied weights(编码和解码部分的权重矩阵互为转置的自动编码器)和卷积神经网络(同一个 feature map 中卷积核的权重在整张图上共享)等。


举例(该规则对向量和矩阵也是成立的,这里先用标量举一个简单的例子):假设函数表达式是 ,可以先把三个 x 看成三个不同的变量,即把 f 的表达式看成 ,然后分别计算 , ,最后总的导数就是这三项加起来:,此时再把 x 的下标抹掉并化简,就得到 6x+1。熟悉这个过程之后,可以省掉添加下标再移除的过程。


如果用计算图(computation graph,描述变量间依赖关系的示意图,后面会举例)的语言来描述本条法则,就是:若变量 x 有多条影响函数 f 的值的路径,则计算  时需要对每条路经求导最后再加和。 如果想更多地了解计算图和反向传播,推荐阅读 [Colah 君的文章](http://colah.github.io/posts/2015-08-Backprop/)。其中详细讲述了计算图如何工作,不仅讲反向传播还讲了前向传播(前向传播对于目前的机器学习算法来说似乎没有太大的用处,但是对于加深计算图的理解很有帮助。RNN 有一种学习算法叫 RTRL 就是基于前向传播的,不过近年来不流行了)。


有了上面的基础,我们就可以推导 Batch normalization(以下简称 BN)的求导公式了。 BN 的计算过程为:



其中 m 是批的大小,x_1 到 x_m 分别是 m 个不同样本对于某个神经元的输入,l 是这个批的总的损失函数,所有变量都是标量。求导的第一步是画出变量依赖图,如下所示(根据左边的变量可以计算出右边的变量,如果为了强调,也可以在边上添加从左向右的箭头):



左侧,右上,右下分别是三种不同的画法(读者也可以尝试其他的画法):左边的图是把所有变量 x_i 都画了出来,比较清楚,如果想不清楚变量之间是如何相互依赖的,这样画可以帮助梳理思路;右上是我自创的一种方法,借鉴了概率图模型中的盘记号(plate notation),把带下标的变量用一个框框起来,在框的右下角指明重复次数;右下我只画了一个局部,只是为了说明在有些资料中,相同的变量(如本例中的 )只出现一次,而非像左图那样出现多次,从而图中会出现环。不过要不要复制同一个变量的多个拷贝没有本质的区别。在右下这种表示法中,如果要求 partial σ^2 除以 partial x_i,需要对  和  这两条路径求导的结果做加和。(事实上,这种带下标的画法有点儿丑,因为我们现在的计算图里的变量都是标量……如果用 X 表示  组成的向量,计算图会更简洁,看起来更舒服。不过这种丑陋的表示对于我们现在的目的已经够用了。 )


BN 原论文中也给出了反向传播的公式,不过我们不妨试着自己手算一遍:


  • x_i hat 影响损失函数只有唯一的路径 ,根据链式法则,得到: 

  • λ 影响损失函数有 m 条路径:对任意一个 i,  都是一条路径,需要对这些路径分别求导再加和:

  • partial l 除以 partial β 的计算与上面类似:

  •  影响损失函数的路径也有 m 条:(此处忽略中间变量 y_i,直接把 l 看成的 x_i hat 函数。)所以 。注意求导的时候把  当成一个整体,想象这就是一个字母,而不要把它想成标准差的平方。

  •  影响损失函数共有 2m 条路径:(分别对应于右上图中较短和较长的路径)。故有:。其中最后一步的理由是根据  的定义,后一项为零。

  •  影响损失函数有 3 条路径:,所以

常用公式


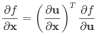
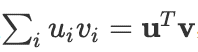
向量求导的链式法则


易发现雅克比矩阵的传递性:若多个向量的依赖关系为,则:



证明:只需逐元素求导即可。,即元等于矩阵的 i 行 和 矩阵的第 j 列的内积,这正是矩阵乘法的定义。


注:将两项乘积的和转化成向量内积或矩阵相乘来处理,是很常用的技巧。


雅克比矩阵的传递性可以很容易地推广到多层中间变量的情形,采用数学归纳法证明即可。


若中间变量都是向量,但最后的结果变量是一个实数,例如变量依赖关系形如,则:


由雅克比矩阵的传递性知:



再根据 f 退化时雅克比矩阵和函数导数的关系,有:



以上三式相结合,可以得到如下链式法则:



上面的结果显然也可以推广到任意多层复合的情形(可用于 RNN 的 BPTT 的推导)。


上面的公式是把导数视为行向量(即以 和的形式)给出的。如果需要把导数视为列向量,只需将公式两边同时转置即可。由于实践中复合一次的情形较常用,这里只给出将变量视为列向量时复合一次的公式:


,则:



或写作


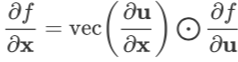
这里再给出一个特例:若变量依赖关系为,u 和x 维度相同且仅由

计算出而与 x 的其他分量无关,则易知是对角阵,所以上面的公式可以化简为:



其中表示取对角矩阵 D 的对角线上的元素组成列向量,表示两个向量逐元素相乘。


由于最终的结果是两个向量逐元素相乘,所以也可以交换一下相乘的顺序,写成:



本条规则在神经网络中也很常用,常见的情形包括但不限于:逐元素地应用激活函数

,以及现代 RNN 单元中的门限操作(以 LSTM 为例:

        *   因为依赖关系简单,本公式也可以直接根据导数逐分量的定义直接推出来:



此即前述公式的分量形式。


  • 记忆:只需记住结果是一堆雅克比矩阵的乘积,相乘的顺序根据维度相容原则调整即可(假设每个中间变量的维度都不一样,看怎么摆能把雅克比矩阵的维度摆成矩阵乘法规则允许的形式。只要把矩阵维度倒腾顺了,公式也就对了。)

  • 注:网络上各种资料质量参差不齐,在其他教程中时常会见到向量对矩阵求导的表达式。例如介绍 RNN 的梯度消失问题的文章中,经常会见到这种式子。如果文中出现这个式子是定性的,只是为了说明链式法则中出现了很多连乘项导致了梯度消失,那么读者也只需定性地理解即可。如果文中出现这个式子是定量的,是为了推导反向传播的公式,那么笔者建议读者用如下两种方式之一理解:

  • 其一是把 理解成一种简写形式:先把 W 抻成一个向量,然后公式中的每一个雅克比矩阵就都可以计算了,最后再把结果向量重新整理成 W 的同型矩阵。但是这种方法非常复杂,因为把 W 抻成向量以后目标函数关于 W 的表达式就变了,很难推导 这个雅克比矩阵。一个具体的算例见《Optimizing RNN performance》(https://svail.github.io/rnn_perf/)一文中最后的推导。(如果你不打算熟练掌握这种方法,只浏览一下看看大意即可。相信我,如果你学了本文中的方法,你不会再想用这种把矩阵抻开的方法求导的。)

  • 其二是把最后一项分母中的 W 理解成矩阵 W 中的任一个元素 w_ij,从而上述表达式中的四项分别是向量(此处看作行向量)、矩阵、矩阵、向量(列向量),从而该表达式可以顺利计算。但是这也很麻烦,因为得到的结果不是直接关于 W 的表达式,而是关于其分量的,最后还要合并起来。

  • 其他理解方式,恕我直言,基本上都是作者自己就没弄懂瞎糊弄读者的。


实值函数对向量求导


  • 未作特殊说明即为对变量 x 求导。

  • 几个基本的雅克比矩阵:,特别地,

  • 向量内积的求导法则:

  • 内积是一个实数,因此本节相当于实数对向量求导,结果是与自变量同型的向量。 

  •  这是最基本的公式,正确性是显然的,因为 

  • 正确性是显然的,因为。另外,也可以用变量多次出现的求导法则结合上一条公式证明。

  •  利用变量多次出现的求导法则以及前面的公式容易证明。另外,若 A 是对称矩阵,上式右边可以化简为 2A_x。

  • 向量内积的求导法则:        

  • 利用变量多次出现的求导法则(x 同时在 u、v 中出现)+ 复合函数求导法则(列向量形式)易证。


向量数乘求导公式


  • 推导:,两边逐分量对比一下便知等式成立。

  • 记忆:按两个标量函数相乘的求导法则记,再注意一下维度相容原理即可。向量数乘的结果还是一个向量,所以此处相当于向量对向量求导,结果是一个雅克比矩阵,形状为 f 的维度乘 x 的维度。


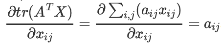
矩阵迹求导


  • 未作特殊说明即为对 X 求导。迹是一个实数,所以相当于实数对矩阵求导,结果是一个和 X 同型的矩阵。

  • 先回顾一下迹的基本性质:


  • 线性性质:

  • 转置不变性:

  • 轮换不变性:

  • 特别地,。注意,轮换不变性不等于交换性。例如:,但是一般情况下

  • 基本公式:


  • 推导:逐元素求导验证:(事实上这个公式就是矩阵导数的另一种定义,前面也有叙述。)

  • 根据此式容易得到另一个式子:


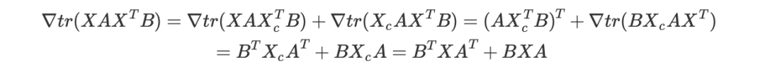
  • 迹方法的核心公式(非常重要):


  • 推导:利用变量多次出现的求导法则:



(X_c 表示将 X 的此次出现视作常数)


  • 这个公式非常重要,在推导最小二乘解等问题上都会遇到。公式的名字是我瞎起的,我不知道它叫什么名字。


  • 其他与矩阵迹有关的公式


  • 大部分都是上述核心公式的简单推论,不必强记


  • 推导:

  • 注:将实数看作是 1*1 矩阵的迹是很常用的技巧。



  • 推导:使用迹方法的核心公式。过程略。



  • 推导:将左式的括号相乘展开,然后用上面的关于矩阵迹的公式。



  • 推导同上,只需注意到即可。特别地,(此式也可逐元素求导直接验证)


  • 行列式的求导公式:


  • 实数对矩阵求导,结果是和 X 同型的矩阵。此条证明较繁琐,大致过程是用逐元素求导+伴随矩阵的性质推导,过程可参考 math overflow。最好能直接记住。


矩阵求导的链式法则


  • ,则:


  • ,或简写为

  • 关于维度的说明:X 是矩阵,中间变量 U 也是矩阵(未必与 X 同型),最终结果 y 是实数。因此求导结果是和 X 同型的矩阵。

  • 注:此式似乎用的不多,毕竟这仅仅是对 x_ij 这一个分量求导的结果,很难直接得到对 X 求导的结果。而且这个式子只是最基础的多元函数复合的链式法则而已,没有得到什么特别有趣或者重要的结论。


  • ,则:(等式右边是实数和矩阵的数乘)


  • 关于维度的说明: X,u,y 分别是矩阵、实数、实数,因此相当于实数对矩阵求导,结果是 X 同型的矩阵。

  • 证明是显然的,逐元素求导验证即可:


  • 线性变换的导数(非常重要。由于线性变换很常用,记住此式可以简化很多公式的推导过程):


  • 设有及线性映射(因此),则:


  • 推导:,而是 Kronecker delta 符号:若l=j 值为 1,否则为 0),将后式代入前式,得:,即矩阵 A^T的第 i 行 和 矩阵的第 j 列的内积。


  • 向量的线性变换是上式的退化情形,即:

  • 向量的线性变换还可以求二阶导:


  • 推导:记,则

  • 记忆:同上,记住大概的形状(对线性变换来说,求一次导就是乘一个矩阵),然后根据维度相容原则摆顺了就行。


  • 由于线性变换很常用,这里不妨把给 X 右乘一个矩阵时的公式一并给出,以便查阅:设有及线性映射(因此),则:


  • 证明:若令,则变量依赖关系变为:,且,根据线性变换的求导法则,知:,所以

  • 记忆:先做线性变换再求导就等于先求导再做线性变换。剩下的细节(如左乘还是右乘等)根据维度相容原则倒腾即可。

  • 注:此式很有用,在神经网络中,经常有形如的依赖关系。其中 x 是神经网络某一层的输入数据(不是训练神经网络时要求导的变量!不过在构造对抗样本时可能需要对 x 求导), W,b 是该层的参数(这才是训练神经网络时要求导的变量),z 是经过变换后预备输入给下一层的值,l 是最终的损失函数。根据上述线性变换的求导公式,立即可以得到 BP 算法的核心步骤:。(另注:标准的 BP 算法通常将定义为变量δ。)


其他公式


  • 这一部分在机器学习中遇到的不多(毕竟常见的情况是求一个标量损失函数对其他变量的导数),不是特别重要,不过偶尔在凸优化里会碰到一些。这里收集整理这几个式子主要是为了资料完整、查阅方便。以下假定 F 是可逆方阵:


  • 自变量和函数值都是实数,求导结果也是实数。推导过程较困难,主要用到了矩阵的雅克比公式(不是雅克比矩阵)。建议记住,或者用时查表。



  • 自变量和函数值都是实数,求导结果也是实数。

  • 推导:根据最基本的一元函数复合的求导法则即可。令,则:



  • 矩阵对实数求导,结果是和 F^-1 同型的矩阵(也即和 F 同型的矩阵)。

  • 推导:对恒等式两边同时求导,再结合 |F| 的导数易得。


常见技巧及注意事项


  • 实数在与一堆矩阵、向量作数乘时可以随意移动位置。且实数乘行向量时,向量数乘与矩阵乘法(1x1 矩阵和 1xm 矩阵相乘)的规则是一致的。

  • 遇到相同下标求和就联想到矩阵乘法的定义,即。特别地,一维下标求和联想到向量内积,二维下标求和联想到迹(A,B 应为同型矩阵)。

  • 如果在一个求和式中,待求和项不是实数而是矩阵的乘积,不要想着展开求和式,而要按照上面的思路,看成分块矩阵的相乘!

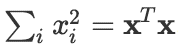
  • 向量的模长平方(或实数的平方和)转化为内积运算:。矩阵的 F 范数的平方转化为迹运算:

  • 多个矩阵相乘时,多用矩阵迹的求导公式转化、循环移动各项。实数也可看成 1X1 矩阵的迹!

  • 需要用到向量(或矩阵)对矩阵求导的情形,要么把矩阵按列拆开转化成向量对向量求导(最终很有可能通过分块矩阵乘法再合并起来。本文后面的算例 PRML(3.33) 说明了这种方法怎么用),要么套用线性变换的求导公式(常见于神经网络的反向传播过程)。


算例


最小二乘法


  • 方法一:展开括号,再使用几个常用公式化简即可:



  • 方法二:使用线性变换的求导公式:



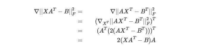
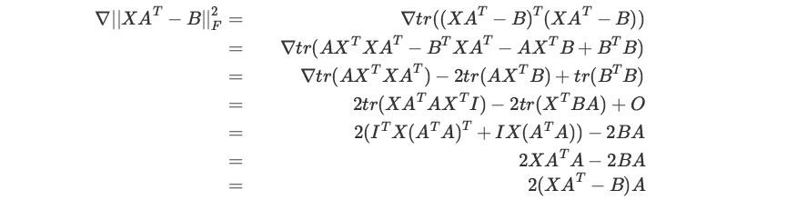
F 范数的求导公式推导


  • 方法一:先转化为迹,再裂项,最后通过恰当的轮换,用迹方法的核心公式处理。



  • 方法二:用线性变换的求导公式证。(注意矩阵转置不改变其 F 范数,并且实值函数对 X 和 X_T 的导数互为转置)



  • 方法三:根据定义逐元素地算,然后合并成向量、再合并成矩阵。(太原始,易出错,不推荐)


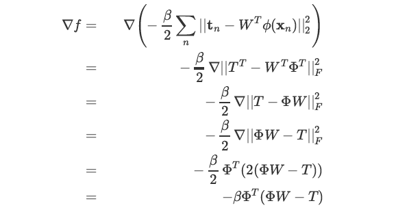
PRML (3.33) 求导


  • 题目:


关于 W 的导数。


说明:上面的 的结果应当是一个向量,但是希腊字母打不出加粗的效果。


  • 方法一:用矩阵的 F 范数推导:


上述几步的依据分别是:


  • 将若干个列向量拼成一个矩阵,因此它们的二范数平方和就等于大矩阵的 F 范数的平方。

  • 矩阵转置不改变其 F 范数。

  • 矩阵数乘 (-1) 不改变其 F 范数。

  • 线性变换的求导公式 + F 范数的求导公式。

  • 实数在和矩阵作数乘时位置可以任意移动。

  • 有了导数,再另导数等于零,即得 W 的最大似然解:


  • 方法二: 将向量二范数用内积代替,然后逐项展开,最后利用分块矩阵相乘消掉求和号:



最后一步的化简的思考过程是把对 n 求和视为两个分块矩阵的乘积:


第一个矩阵是分块行向量,共 1xN 个块,且第 n 个分量是。因此第一个矩阵是


第二个矩阵是分块列向量,共 Nx1 个块,且第 n 个分量是。因此,第二个矩阵是:



,注意第二个等号的推导过程中,前一项能够拆开是因为它被看做两个分块矩阵的乘积,两个分块矩阵分别由 Nx1和 1x1 个块组成。


这种方法虽然比较繁琐,但是更具有一般性。


RNN 的梯度消失爆炸问题


  • 通常 RNN 的状态方程的更新定义为(f 表示一个逐元素的激活函数,例如等。),而这里我们采用 Pascanu 等人的论文 On the difficulty of training Recurrent Neural Networks 中的定义,即认为(这两种方程其实是等价的,只是前一种表述把隐层状态定义成激活后的值,后一种表述把隐层状态定义成激活前的值,前述论文中的脚注里也有说明。这里采用后一种方式,是因为它稍微好算一点)。展开后的网络结构示意图参见 中的 Slide 15。以下内容建议对照这份讲义的 15-19 页一起观看(另注:建议用 Stanford 的讲义梳理大致的思路,但是按照本讲稿下述步骤进行具体的求导运算。个人认为本讲稿中的过程更加清楚)。


  • 现在我们来计算损失函数 l 对循环连接的权重矩阵 W 的导数:假设每一时间步都有一个误差 l_t(例如建立一个语言模型,每一步都要预测下一个词的概率分布,与语料库里的真实值计算交叉熵),总的误差等于每一步的误差加起来:,因此(对一元函数来说,和的导数等于导数的和。根据多元函数偏导数的定义,很容易推广到多元函数上,进而推广到矩阵求导上)。


  • 考虑到矩阵 W 出现了多次,计算需要计算 l_t 对 W 的每一次出现的导数,然后再求和。若用 W^(k) 表示 h_k-1 与 h_k之间的转移矩阵 W,则。其中第二个等号用到的是线性变换的求导公式(类似标准 BP 算法的核心步骤)


  • 然后根据雅克比矩阵的运算规则计算损失函数对隐层的导数(表示将括号里的向量变成一个对角矩阵,跟前文的互为逆运算。):,再将该式带入上一步中的式子,就得到

    ,这就是 vanilla RNN 的 BPTT 的公式。(中间很多个隐层之间的雅克比相乘那一部分可以用求积符号来书写,这里的写法更直观一些)


  • 注:实践中具体计算梯度的时候,一般还是先定义一组类似于 BP 神经网络 δ_t 的变量,使用循环逐层进行求导,而不是强行直接展开。这里展开是为了理论分析方便。


  • 另注:Stanford 的讲义和前述论文中,均认为,这一点应该是错的,矩阵 W 不应该被转置,根据雅克比矩阵的定义写一个梯度检查的程序即可快速验证这一点。


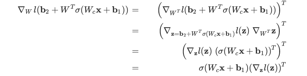
Autoencoder with Tied-weight


  • 求函数 对 W 的导数,其中是逐元素求 Sigmoid。

  • 根据变量多次出现的求导法则计算即可:,其中 W_c 的含义是将 W 此次出现看做常数。

  • 上式右边第一项计算如下:



  • 第二项计算如下:



,其中第三个等号里定义


  • 最终结果就是将以上两项合并起来,并去掉所有 W_c 中的下标,从略。



本文最先由七月发表于知乎专栏:https://zhuanlan.zhihu.com/p/25063314



点击下方“阅读原文”了解【人工智能实验平台】
↓↓↓
登录查看更多
12

相关内容

最新《自动微分手册》77页pdf
专知会员服务
103+阅读 · 2020年6月6日
最新《机器学习理论初探》概述
专知会员服务
48+阅读 · 2020年5月19日
机器学习速查手册,135页pdf
专知会员服务
345+阅读 · 2020年3月15日
【经典书】精通机器学习特征工程,中文版,178页pdf
专知会员服务
360+阅读 · 2020年2月15日
KGCN:使用TensorFlow进行知识图谱的机器学习
专知会员服务
83+阅读 · 2020年1月13日
谷歌机器学习速成课程中文版pdf
专知会员服务
147+阅读 · 2019年12月4日
【书籍】深度学习框架:PyTorch入门与实践(附代码)
专知会员服务
167+阅读 · 2019年10月28日
面试时让你手推公式不在害怕 | 梯度下降
计算机视觉life
14+阅读 · 2019年3月27日
学界 | 终结吧!机器学习的数学焦虑
大数据文摘
9+阅读 · 2018年9月14日
入门 | 一文介绍机器学习中基本的数学符号
机器之心
28+阅读 · 2018年4月9日
入门 | 这是一份文科生都能看懂的线性代数简介
机器之心
14+阅读 · 2018年3月31日
【干货】理解深度学习中的矩阵运算
机器学习研究会
18+阅读 · 2018年2月12日
【直观详解】支持向量机SVM
机器学习研究会
18+阅读 · 2017年11月8日
机器学习实践指南
Linux中国
8+阅读 · 2017年9月28日
机器学习(15)之支持向量机原理(一)线性支持向量机
机器学习算法与Python学习
6+阅读 · 2017年9月1日
PCA的基本数学原理
算法与数学之美
11+阅读 · 2017年8月8日
Bivariate Beta LSTM
Arxiv
6+阅读 · 2019年10月7日
Neural Approaches to Conversational AI
Arxiv
8+阅读 · 2018年12月13日
Arxiv
5+阅读 · 2018年5月28日
Arxiv
3+阅读 · 2018年3月28日
Arxiv
20+阅读 · 2018年1月17日
VIP会员
相关VIP内容
最新《自动微分手册》77页pdf
专知会员服务
103+阅读 · 2020年6月6日
最新《机器学习理论初探》概述
专知会员服务
48+阅读 · 2020年5月19日
机器学习速查手册,135页pdf
专知会员服务
345+阅读 · 2020年3月15日
【经典书】精通机器学习特征工程,中文版,178页pdf
专知会员服务
360+阅读 · 2020年2月15日
KGCN:使用TensorFlow进行知识图谱的机器学习
专知会员服务
83+阅读 · 2020年1月13日
谷歌机器学习速成课程中文版pdf
专知会员服务
147+阅读 · 2019年12月4日
【书籍】深度学习框架:PyTorch入门与实践(附代码)
专知会员服务
167+阅读 · 2019年10月28日
相关资讯
面试时让你手推公式不在害怕 | 梯度下降
计算机视觉life
14+阅读 · 2019年3月27日
学界 | 终结吧!机器学习的数学焦虑
大数据文摘
9+阅读 · 2018年9月14日
入门 | 一文介绍机器学习中基本的数学符号
机器之心
28+阅读 · 2018年4月9日
入门 | 这是一份文科生都能看懂的线性代数简介
机器之心
14+阅读 · 2018年3月31日
【干货】理解深度学习中的矩阵运算
机器学习研究会
18+阅读 · 2018年2月12日
【直观详解】支持向量机SVM
机器学习研究会
18+阅读 · 2017年11月8日
机器学习实践指南
Linux中国
8+阅读 · 2017年9月28日
机器学习(15)之支持向量机原理(一)线性支持向量机
机器学习算法与Python学习
6+阅读 · 2017年9月1日
PCA的基本数学原理
算法与数学之美
11+阅读 · 2017年8月8日
相关论文
Top
微信扫码咨询专知VIP会员